• Publication Date:
  • Publication Type:
    Final Rule
  • Fed Register #:
    76:24575-24711
  • Standard Number:
  • Title:
    General Working Conditions in Shipyard Employment; Final Rule
[Federal Register: May 2, 2011 (Volume 76, Number 84)]
[Rules and Regulations]
[Page 24575-24711]
From the Federal Register Online via GPO Access [wais.access.gpo.gov]
[DOCID:fr02my11-20]


Vol. 76    No. 84

Monday, May 2, 2011

Part II

Department of Labor



-----------------------------------------------------------------------


Occupational Safety and Health Administration


-----------------------------------------------------------------------


29 CFR Parts 1910 and 1915


General Working Conditions in Shipyard Employment; Final Rule


-----------------------------------------------------------------------

DEPARTMENT OF LABOR

Occupational Safety and Health Administration

29 CFR Parts 1910 and 1915

[Docket No. OSHA-S049-2006-0675 (formerly Docket No. S-049)]
RIN 1218-AB50


General Working Conditions in Shipyard Employment

AGENCY: Occupational Safety and Health Administration (OSHA), Labor.

ACTION: Final rule.

-----------------------------------------------------------------------

SUMMARY: The Occupational Safety and Health Administration (OSHA) is
revising its standards on general working conditions in shipyard
employment. These revisions update existing requirements to reflect
advances in industry practices and technology, consolidate some general
safety and health requirements into a single subpart, and provide
protection from hazards not addressed by existing standards, including
the control of hazardous energy.

DATES: Effective date: This final rule becomes effective and
enforceable on August 1, 2011, except for the provisions in Sec.
1915.89, which become effective and enforceable on October 31, 2011.
    Information Collections: The collection of information requirements
are contained in paragraphs Sec.  1915.83, Sec.  1915.87, Sec.
1915.88, and Sec.  1915.89 (See section VIII Office of Management and
Budget Review Under the Paperwork Reduction Act of 1995).
Notwithstanding the general date of applicability that applies to all
other requirements contained in the final rule, affected parties do not
have to comply with the collection of information requirements until
the Department of Labor publishes a separate notice in the Federal
Register announcing the Office of Management and Budget has approved
them under the Paperwork Reduction Act of 1995.
    Incorporation by reference: The incorporation by reference of
certain publications listed in the rule is approved by the Director of
the Federal Register as of August 1, 2011.

ADDRESSES: In accordance with 28 U.S.C. 2112(a)(2), OSHA designates
Joseph M. Woodward, Associate Solicitor of Labor for Occupational
Safety and Health, Office of the Solicitor, U.S. Department of Labor,
Room S-4004, 200 Constitution Avenue, NW., Washington, DC 20210, to
receive petitions for review of the final rule.

FOR FURTHER INFORMATION CONTACT: Press inquiries: Camilla F. McArthur,
Office of Communications, OSHA, U.S. Department of Labor, Room N-3647,
200 Constitution Avenue, NW., Washington, DC 20210; telephone: (202)
693-1999.
    General information and technical inquiries: Joseph V. Daddura,
Director, Office of Maritime, Directorate of Standards and Guidance,
OSHA, U.S. Department of Labor, Room N-3621, 200 Constitution Avenue,
NW., Washington, DC 20210; telephone: (202) 693-2222.
    Additional copies of this Federal Register notice: OSHA, Office of
Publications, U.S. Department of Labor, Room N-3101, 200 Constitution
Avenue, NW., Washington, DC 20210; telephone (202) 693-1888. Electronic
copies of this Federal Register notice are also available at
http://www.regulations.gov, the Federal eRulemaking Portal. This notice, as
well as news releases and other relevant documents, also is available
at OSHA's Web site at http://www.osha.gov.

SUPPLEMENTARY INFORMATION:

Table of Contents

    The following table of contents identifies the major sections of
the preamble to the final rule on General Working Conditions in
Shipyard Employment:

I. Background
    A. References and Exhibits
    B. Introduction
    C. Events Leading to the Final Rule
    D. Hazards
II. Pertinent Legal Authority
III. Summary and Explanation of the Final Rule
IV. Final Economic Analysis and Regulatory Flexibility Analysis
    A. Introduction
    B. Industrial Profile
    C. Technological Feasibility
    D. Benefits
    E. Cost of Compliance
    F. Economic Impact, Feasibility, and Regulatory Flexibility
Screening Analysis
V. Environmental Impact
VI. Federalism
VII. Unfunded Mandates Reform Act
VIII. Office of Management and Budget Review Under the Paperwork
Reduction Act of 1995
IX. State Plan Requirements
X. Effective Date
XI. List of Subjects
XII. Authority and Signature
XIII. Amendments to Standards

I. Background

    A. References and Exhibits. In this Federal Register notice, OSHA
references documents in Docket No. OSHA-S049-2006-0675, which was
formerly OSHA Docket No. S-049. In addition, OSHA references documents
in the following dockets, which the Agency incorporates by reference
into this rulemaking:
     The proceedings of the Shipyard Employment Standards
Advisory Committee (SESAC)--Docket Nos. SESAC-1988 through SESAC-1993;
     The proceedings of the Maritime Advisory Committee for
Occupational Safety and Health--Docket Nos. MACOSH-1995 through MACOSH-
2008;
     The General Industry Lockout/Tagout rulemaking record--
OSHA Docket Nos. S-012, S-012A, and S-012B;
     The Shipyard Employment Standards rulemaking record--OSHA
Docket No. S-024; and
     The Field Sanitation rulemaking record--OSHA Docket No. H-
308.
    References to documents in Docket No. OSHA-S-049-2006-0675.
References to documents in Docket No. OSHA-S049-2006-0675 are given as
"Ex." followed by the last sequence of numbers in the Document ID
Number and, in the case of the hearing transcripts, the page number.
Thus, Ex. 88 is Document Number OSHA-S049-2006-0675-0088, and will
appear in this document as (Ex. 88).
    The exhibits in this docket (Docket No. OSHA-S049-2006-0675),
including public comments, supporting materials, hearing transcripts,
and other documents, can be found at http://www.regulations.gov, the
Federal eRulemaking Portal, by searching the docket number. All
exhibits are listed, but some exhibits (for example, copyrighted
material) are not available to read or download from that Web page. All
exhibits are available for inspection and, if permissible, copying at
the OSHA Docket Office, Docket No. OSHA-S049-2006-0675, Room N-2625,
U.S. Department of Labor, 200 Constitution Avenue, NW., Washington, DC
20210; telephone (202) 693-2350.
    References to other dockets incorporated by reference. In this
notice, references to documents in other dockets incorporated by
reference are given as the docket number followed by the exhibit number
for the document in that docket. For example, a reference to "OSHA
Docket H-308 Ex. 1" means Exhibit 1 in the Field Sanitation rulemaking
docket. Referenced documents in those dockets are available for
inspection and, if permissible, copying at the OSHA Docket Office.

B. Introduction

    OSHA is revising and updating standards in subpart F of 29 CFR part
1915 that address hazards in general working conditions in shipyard
employment. These revisions update existing requirements to reflect
advances in industry practices and technology, consolidate certain
safety and health requirements into a single subpart, and provide
protection from hazards not previously addressed, including the control
of hazardous energy.
    This final rule covers diverse working conditions in shipyard
employment, including sanitation, medical services and first aid, motor
vehicle and pedestrian safety, lighting, housekeeping, and hazardous
energy.
    OSHA has determined that the rulemaking record supports the need
for the revisions and additions to subpart F to protect the safety and
health of workers performing shipyard employment operations.
    The OSH Act requires OSHA to make certain findings with respect to
standards. One of these findings, specified by section 3(8) of the OSH
Act, requires an OSHA standard to address a significant risk and to
reduce this risk significantly (See Industrial Union Dep't v. American
Petroleum Institute, 448 U.S. 607 (1980)). As discussed in other
sections of the preamble, OSHA has determined that the hazards
addressed by this rule represent a significant risk, and estimates that
the final standard will prevent 1.2 fatalities and 348.4 injuries
annually. In accordance with the requirements of Section 6(b) of the
OSH Act, OSHA has determined that this standard is both technologically
and economically feasible.
    The Regulatory Flexibility Act (5 U.S.C. 601, as amended) requires
that OSHA determine whether a standard will have a significant economic
impact on a substantial number of small firms. As discussed in Section
IV of the preamble, OSHA examined the effects of this standard on small
firms and certifies that the standard will not have a significant
impact on a substantial number of small firms.
    In accordance with Executive Orders 13563 and 12866, OSHA has
estimated the benefits, costs, and net benefits of this standard. As
shown in the table below, the annual benefits of this standard are
significantly in excess of the standard's annualized compliance costs.
It should be noted that these monetized estimates of net benefits are
for informational purposes only. In accordance with the OSH Act, OSHA
does not use the magnitude of net benefits as the decision-making
criterion in determining what standards to promulgate.

Table for Net Benefits and Cost Effectiveness of the Final General Working Conditions in Shipyards Standard

C. Events Leading to the Final Rule

    OSHA adopted the existing standards in subpart F in 1972 (37 FR
22458, Oct. 19, 1972) pursuant to section 6(a) of the Occupational
Safety and Health Act of 1970 (OSH Act) (29 U.S.C. 651, 655). Section
6(a) permitted OSHA, during the first two years following passage of
the OSH Act, to adopt as occupational safety and health standards any
established Federal standards and national consensus standards. OSHA
adopted the existing provisions in subpart F from Federal regulations
promulgated under section 41 of the Longshore and Harbor Workers'
Compensation Act (LHWCA) (33 U.S.C. 941), as well as national consensus
standards (for example, ANSI sanitation standards).
    In 1982, the Shipbuilders Council of America and the American
Waterways Shipyard Conference requested that OSHA: (1) Revise and
update the existing shipyard standards, including subpart F; and (2)
consolidate into a single set of shipyard standards those general
industry standards that apply to shipyards, particularly landside
operations.
    In response to these recommendations, OSHA established the Shipyard
Employment Standards Advisory Committee (SESAC) in November 1988. The
purpose of SESAC, which included representatives from industry, labor,
and professionals in the maritime community, was to provide guidance
and technical expertise to OSHA about revising the shipyard employment
standards. SESAC met from 1988 until 1993 to develop recommendations
and provide technical expertise in developing draft regulatory language
for revising the shipyard safety standards. On April 29, 1993, SESAC
unanimously approved and submitted to OSHA final draft recommendations
for revising subpart F (Docket SESAC 1993-2, Ex. 102X, p. 257; detailed
discussion on SESAC comments and specific recommendations are presented
in Section III, the Summary and Explanation section below).
    In 1995, OSHA established the Maritime Advisory Committee for
Occupational Safety and Health (MACOSH) under section 7 of the OSH Act
(29 U.S.C. 656) to advise the Agency on issues relating to occupational
safety and health standards in the shipyard and marine cargo-handling
(longshoring) industries. On September 8, 1995, MACOSH discussed and
approved the recommendations and draft regulatory language that SESAC
developed and made additional recommendations, including that OSHA do a
separate rulemaking on the control of hazardous energy (Docket MACOSH
1995-1, Exs. 2; 102X, pp. 25, 26).
    OSHA published the proposed rule on December 20, 2007 (72 FR
72452). The Agency requested public comment by March 19, 2008, on the
proposed rule, the preliminary economic analysis, and the issues the
Agency raised in the proposal. The Agency received comments on the
proposed rule from employees, employers, trade associations,
consultants, and government agencies (Exs. 88 through 132.1). In
addition, a number of stakeholders requested an informal public hearing
and an extension of the 60-day comment period (Exs. 93 through 99).
OSHA granted the requests to hold a hearing in two locations (73 FR
54340, Sept. 19, 2008; 73 FR 36823, June 30, 2008), and denied the
request to extend the comment period.
    After publishing notice of an informal public hearing (73 FR 36823,
June 30, 2008; 73 FR 54340, Sept. 19, 2008), OSHA convened the hearing
on September 9, 2008, in Washington, DC, with Administrative Law Judge
Stephen Purcell presiding (Ex. 168). The hearing continued October 21
and 22, 2008, in Seattle, WA, where Administrative Law Judge Jennifer
Gee presided (Exs. 198; 199). Thirty-five stakeholders presented oral
testimony at the public hearing.
    Pursuant to OSHA's recommendation, on September 9, 2008, Judge
Purcell ordered that after the close of the hearing on October 22,
2008, the hearing record would remain open for an additional 60 days,
until December 22, 2008, for the submission of new factual information
and data relevant to the hearings (Ex. 169). Judge Purcell also ordered
that the record would remain open until February 20, 2009, for the
submission of final written comments, arguments, summations, and briefs
(Exs. 197 and 200 through 206.1). OSHA's recommendation for a 120-day
post-hearing comment period was in response to comments from some
stakeholders who said the 60-day pre-hearing comment period had not
provided stakeholders with sufficient time to submit comments (for
example, Ex. 119.1).
    On August 25, 2009, Judge Purcell issued an order closing the
record of the public hearing on the Proposed Rule to Update OSHA's
Standards on General Working Conditions in Shipyard Employment and
certifying the record to the Assistant Secretary of Labor for
Occupational Safety and Health.
    As required by the OSH Act, this final rule is based on careful
analysis and consideration of the rulemaking record as a whole,
including materials discussed or relied upon in the proposed rule,
written comments and exhibits received, and the record of the public
hearing.

D. Hazards

    Shipyard employment is a risky occupation that exposes workers to a
number of different hazards. Shipyard-employment workers are at risk
due to the nature of their work, which includes a variety of industrial
operations such as steel fabrication, welding, abrasive blasting,
electrical work, pipefitting, rigging, stripping, and coating
applications. Shipyard-employment workers also operate and service
complex machinery and equipment such as powered industrial trucks,
cranes, and vessel systems. Several stakeholders said that vessel
systems, in particular, present "unique complexity" (Ex. 132.2).
    The hazards associated with these operations and equipment are
heightened because they are often performed outdoors in all kinds of
weather. Gerry Merrigan, of Prowler LLC and Ocean Prowler LLC,
commented on the risks of working outdoors and on vessels: "The
predictability of shoreside operations is not often found at sea (for
example, ice accumulation on vessels)," and that "Almost everyday so
far this fishing season in the Bering Sea had freezing spray warning"
(Ex. 100). A number of other stakeholders also said that working in
rain, ice, and snow is common in shipyard employment (Exs. 101.1;
105.1; 121.1; 124; 128).
    Yaniv Zagagi, of Atlantic Marine Florida, also addressed the range
of environmental conditions that shipyard workers face:

    With outdoor work a common practice on vessels under
construction and repair, maintaining dry work surfaces at all times
in all area[s], since work areas cannot be delineated, is not
possible. In this region, rainfall averages 6 inches per month, with
an inch or more common for a single rain event (Ex. 115.1).

    The nature of work spaces in shipyard employment also poses risks
for employees. Shipyard employment activities are performed aboard
vessels, in confined or enclosed spaces below deck, on scaffolds, and
on busy, crowded docks. James Thornton, of Northrop Grumman--Newport
News, commented: "Shipbuilding and repair, by nature, requires
employees to access numerous small, awkward spaces, such as catapult
wing voids on aircraft carriers and vertical launch silos on
submarines; therefore, working space is inherently limited" (Ex.
116.2).
    The safe coordination of shipyard employment activities also is
complicated by the fact that most shipyards are multi-employer
worksites where shipyard workers, ship's crew, contractors, and
subcontractors work side-by-side and often on the same vessel system at
the same time.
    The combination of these hazards puts workers at risk of injury,
regardless of whether they are working on vessels or at landside
operations.
    The proposed rule examined in detail the fatalities and injuries
associated with the hazards this rule addresses (72 FR 72453-55, Dec.
20, 2007). Since OSHA did not receive any objections on its fatality
and injury analysis, the Agency does not see a need to repeat the
analysis here. In addition, section IV of this preamble discusses the
fatalities and injuries the final rule is estimated to prevent.

II. Pertinent Legal Authority

    The purpose of the OSH Act is to "assure so far as possible every
working man and woman in the nation safe and healthful working
conditions and to preserve our human resources." 29 U.S.C. 651(b). To
achieve this goal, Congress authorized the Secretary of Labor to issue
and to enforce occupational safety and health standards. See 29 U.S.C.
655(a) (authorizing summary adoption of existing consensus and Federal
standards within two years of the OSH Act's effective date); 655(b)
(authorizing promulgation of standards pursuant to notice and comment);
and 654(a)(2) (requiring employers to comply with OSHA standards).
    A safety or health standard is a standard "which requires
conditions, or the adoption or use of one or more practices, means,
methods, operations, or processes, reasonably necessary or appropriate
to provide safe or healthful employment or places of employment" 29
U.S.C. 652(8).
    A standard is reasonably necessary or appropriate within the
meaning of section 3(8) of the OSH Act if it materially reduces a
significant risk to workers; is economically feasible; is
technologically feasible; is cost effective; is consistent with prior
Agency action or is a justified departure; adequately responds to any
contrary evidence and argument in the rulemaking record; and
effectuates the Act's purposes at least as well as any national
consensus standard it supersedes. See 29 U.S.C. 652; 58 FR 16612,
16616, Mar. 30, 1993.
    A standard is technologically feasible if the protective measures
it requires already exist, can be brought into existence with available
technology, or can be created with technology that can reasonably be
expected to be developed. See Pub. Citizen Health Research Group v.
U.S. Dep't of Labor, 557 F.3d 165, 170-71 (3rd Cir. 2009); Am. Iron and
Steel Inst. v. OSHA, 939 F.2d 975, 980 (D.C. Cir. 1991) ("AISI");
United Steelworkers of Am., AFL-CIO-CLC v. Marshall, 647 F.2d 1189,
1272 (D.C. Cir. 1980).
    A standard is economically feasible if industry can absorb or pass
on the cost of compliance without threatening its long-term
profitability or competitive structure. See Am. Textile Mfrs. Inst. v.
Donovan, 452 U.S. 490, 530 n.55 (1981) ("ATMI"); AISI, 939 F.2d at
980. A standard is cost effective if the protective measures it
requires are the least costly of the available alternatives that
achieve the same level of protection. Int'l Union, United Auto.,
Aerospace & Agric. Implement Workers of Am., UAW v. OSHA, 37 F.3d 665,
668 (D.C. Cir 1994) ("LOTO III"). See also ATMI, 452 U.S. at 514 n.32
(suggesting that the "reasonably necessary or appropriate" language
of Section 3(8) of the Act (29 U.S.C. 652(8)) might require OSHA to
select the less expensive of two equally effective measures).
    Section 6(b)(7) of the OSH Act authorizes OSHA to include among a
standard's requirements labeling, monitoring, medical testing, and
other information-gathering and transmittal provisions. 29 U.S.C.
655(b)(7).
    All safety standards must be highly protective. See 58 FR 16614-
16615, Mar. 30, 1993; LOTO III, 37 F.3d at 668. Finally, whenever
practicable, standards shall "be expressed in terms of objective
criteria and of the performance desired." 29 U.S.C. 655(b)(5).

III. Summary and Explanation of the Final Rule

    This section of the preamble discusses the requirements of the
final standard and explains the purpose of the requirements and the
reasons supporting them. This section also discusses and resolves
issues raised during the comment period, significant comments received
as part of the rulemaking record, and any substantive changes from the
proposed rule.
    As mentioned, OSHA adopted many of the provisions in subpart F in
1972 from existing Federal occupational safety and health standards and
national consensus standards (for example, sanitation, medical services
and first aid, housekeeping). Since then, those national consensus
standards have been updated and revised. OSHA carefully reviewed the
updated standards and, when they encompassed new technology and
requirements to provide greater workplace safety and health, has
incorporated those changes in the final rule.
    SESAC recommended many of the provisions in the final rule as
representing industry best practices. To the extent that such practices
and technology have changed since SESAC made its recommendations, OSHA
has updated those recommendations accordingly.
    In the final rule, OSHA has consolidated a number of provisions to
more clearly indicate that they apply to shipyard employment. For
example, both existing general industry (part 1910) and shipyard
employment (part 1915) standards address housekeeping, sanitation, and
medical services and first aid. General industry standards apply to
shipyard employment when part 1915 standards do not address a
particular hazard or working condition. To make the applicable
requirements easier to understand and follow, the final rule
consolidated the sets of standards into one section. To illustrate,
Sec.  1910.141 and Sec.  1915.97 contain requirements on sanitation
that are applicable to shipyard employment. The final rule has combined
all of the sanitation requirements in both standards that are
applicable to shipyard employment in Sec.  1915.88.
    The consolidation of some standards, and the addition of new
sections, has resulted in a renumbering of the sections in subpart F.
Table 1 lists the section numbers of the final rule and the existing
section(s), if any, from which they were derived.

   Table 1--Proposed Provisions and Corresponding Existing Provisions
------------------------------------------------------------------------
                                                        Existing rule
     Title of provision            Final rule           applicable to
                                                     shipyard employment
------------------------------------------------------------------------
Scope, application, and       Sec.   1915.80......  Each section of
 definitions.                                        subpart F has a
                                                     scope and
                                                     application
                                                     provision. No
                                                     existing section
                                                     for definitions.
Housekeeping................  Sec.   1915.81......  Sec.   1915.91 and
                                                     Sec.   1910.141.
Lighting....................  Sec.   1915.82......  Sec.   1915.92.
Utilities...................  Sec.   1915.83......  Sec.   1915.93.
Working alone...............  Sec.   1915.84......  Sec.   1915.94.
Vessel radar and              Sec.   1915.85......  Sec.   1915.95.
 communication systems.
Lifeboats...................  Sec.   1915.86......  Sec.   1915.96.
Medical services and first    Sec.   1915.87......  Sec.   1915.98 and
 aid.                                                Sec.   1910.151.
Sanitation..................  Sec.   1915.88......  Sec.   1915.97 and
                                                     Sec.   1910.141.
Control of hazardous energy   Sec.   1915.89......  No existing rule.
 (lockout/tagout).
Safety color code for         Sec.   1915.90......  Sec.   1910.144.
 marking physical hazards.
Accident prevention signs     Sec.   1915.91......  Sec.   1910.145.
 and tags.
Retention of DOT markings,    Sec.   1915.92......  Sec.   1915.100.
 placards and labels.
Motor vehicle safety          Sec.   1915.93......  No existing rule.
 equipment, maintenance, and
 operation.
Servicing multi-piece and     Sec.   1915.94......  No existing rule.
 single-piece rim wheels.
------------------------------------------------------------------------

    To the extent possible, OSHA has expressed the final rule in
performance language; that is, the requirements are "expressed in
terms of objective criteria and of the performance desired." 29 U.S.C.
655(b)(5). Some stakeholders, particularly larger establishments,
supported this approach and urged OSHA to adopt a flexible approach in
the final rule (Exs. 116.1; 120.1). Other stakeholders, particularly
smaller businesses, urged OSHA to provide more specific language in the
final rule (Exs. 104.1; 107; 121.1; 125; 198, p. 56). For example,
Philip Dovinh, of Sound Testing, Inc., said that vague or "open-
ended" language "leaves ample room for erroneous misinterpretations"
(Ex. 121.1).
    OSHA believes that the performance-based approach in the final rule
provides employers with maximum flexibility in determining the most
effective strategies for controlling hazards and protecting their
workers. At the same time, OSHA believes that the objective criteria
the final rule incorporates will assist employers, particularly small
businesses, with complying with the final rule. In addition, as
stakeholders requested, OSHA has defined a number of additional terms
used in the final rule (Exs. 121.1; 129.1). OSHA believes this approach
also will help employers understand and comply with the final rule
while providing flexibility for the range of employers the final rule
covers.

Section 1915.80--Scope, Application, and Definitions

Paragraph (a)--Scope and Application
    Paragraph (a) specifies that the provisions in subpart F apply to
general working conditions:
     In shipyard employment;
     At landside operations and on vessels and vessel sections;
and
     Regardless of geographic location.
    Final paragraph (a) consolidates the individual scope provisions
contained in each section of existing subpart F into one section.
Paragraph (a) also applies subpart F to all operations constituting
shipyard employment. Some of the existing scope provisions, which were
part of the LHWCA standards that OSHA adopted in 1972, applied only to
certain sectors of shipyard employment. However, OSHA's intention
always has been that part 1915 standards apply to all of shipyard
employment, which Sec.  1915.4(i) defines as "ship repairing,
shipbuilding, shipbreaking and related employments." As OSHA stated in
the proposed rule, this consolidation eliminates duplication. Finally,
the consolidation also makes the scope and application section
consistent with other subparts of 29 CFR part 1915 that OSHA has
revised (for example, subpart B--Confined and Enclosed Spaces and Other
Dangerous Atmospheres in Shipyard Employment (59 FR 37816, Jul. 25,
1994); subpart I--Personal Protective Equipment in Shipyard Employment
(61 FR 26322, May 24, 1966); and subpart P--Fire Protection in Shipyard
Employment (69 FR 55702, Oct. 15, 2004). OSHA did not receive any
comments on the proposed consolidation.
    Paragraph (a) of the final rule adopts the proposed language that
subpart F applies to shipyard-employment work on vessels and vessel
sections and at landside operations. With regard to vessels, this means
that the requirements of subpart F apply to the extent that OSHA has
authority over the vessel. OSHA's instruction titled, "OSHA Authority
over Vessels and Facilities on or Adjacent to U.S. Navigable Waters and
the Outer Continental Shelf (OCS)," provides current Agency policy,
information, and guidance on OSHA's authority to regulate working
conditions on certain vessels (inspected vessels, commercial
uninspected fishing vessels, and other uninspected vessels) (CPL-02-01-
047, Feb. 22, 2010). The instruction is available to read and download
on OSHA's Web site at http://www.osha.gov.
    Paragraph (a) also adopts language from the proposed rule
clarifying OSHA's longstanding position that subpart F applies to
shipyard employment "regardless of geographic location" of the
shipyard activity. OSHA included the phrase "regardless of geographic
location" in the scope so that protection is afforded to employees
whenever they engage in shipyard employment: On vessels, on vessel
sections, at landside facilities, or at any other location where they
perform shipyard employment. This has been the Agency's longstanding
policy on shipyard employment, and is included in the scope of subpart
B--Confined and Enclosed Spaces and Other Dangerous Atmospheres,
subpart I--Personal Protective Equipment, and subpart P--Fire
Protection.
    Shipyard employment also occurs on vessels and vessel sections
within the navigable waters of the United States, and includes work on
a vessel or part of a vessel that is being constructed, or repaired,
whether it is in the shipyard or dockside, at anchor, or underway for
testing. The requirements in this subpart will apply to all vessels
within OSHA's jurisdictional boundaries.
    Several commenters requested that OSHA define "navigable waters"
in the final rule (Exs. 101.1; 124; 126; 128; 132.2). Since the final
rule does not use the term "navigable waters," OSHA does not believe
there is a need to include a definition in the rule. In any event, the
U.S. Coast Guard, not OSHA, is the Federal agency responsible for
making determinations about whether a body of water is considered
"U.S. navigable waters." The Coast Guard definition of navigable
waters and other associated terms are contained at 33 CFR part 2, which
is available at http://www.gpoaccess.gov/cfr/index.html.
    One stakeholder urged OSHA to exempt from the rule vessels under
200 gross weight tons or vessels that do not process seafood (Ex.
197.1). Karen Conrad of the North Pacific Fishing Vessel Owners'
Association commented:

    [T]hese regulations would apply to all uninspected vessels and
that would include "tens of thousands" of vessels of all kinds.
OSHA needs to consider that these vessels do ongoing maintenance
work, not just at the dock, but while they move to other locations.
We suggest that OSHA communicate with the Coast Guard and industry
to identify which vessels need this regulation and best to scale
down this regulation to cover the sector of vessels that should be
covered (Ex. 197.1).

    OSHA does not agree with the stakeholder's position and has not
exempted small vessels from the final rule. OSHA regulates hazardous
working conditions where they are found. To the extent that the
hazardous working conditions addressed in subpart F are present, OSHA
believes employees are at risk of injury and death and need protection.
Of course, OSHA has authority only to the extent that the hazard,
employer, and vessel are within the Agency's geographical authority.
Paragraph (b)--Definitions
    Paragraph (b) of the final rule sets forth definitions that are
applicable to subpart F. As mentioned, OSHA believes that defining key
terms makes the final rule easier to understand and, therefore, will
increase compliance.
    OSHA has moved the definitions to the beginning of subpart F from
the final section of the proposed rule (Sec.  1915.95). Two
stakeholders urged OSHA to move the definitions forward (Exs. 119.1;
121.1). Philip Dovinh of Sound Testing, Inc. commented:

    Definitions are an extremely important part of any successful
regulation. OSHA may have misled the reader that their set of
definitions is just an incomplete afterthought as represented in the
current Proposed Rule. Section 1915.95 Definitions, is awkwardly
buried in the last section of Subpart F-General Working Conditions.
Why not be consistent and place it immediately following Sec.
1915.80 Scope and application--as in the rest of the other OSHA
regulations? By having the definitions located immediately at the
front of the Proposed Rule, they will grab the attention of the
reader and become much more beneficial (Ex. 121.1).

    OSHA agrees with the commenter that prominently placing the
definitions for this subpart immediately after the Scope and
Application section will assist the employer and employees in
understanding the provisions in subpart F.
    Many of the proposed definitions have been carried forward
unchanged, or with editorial changes, to better clarify the term. Some
of the clarification, additions, and modifications have been made in
response to stakeholder comments, which provided helpful and useful
language to improve the clarity of terms used in the final rule. OSHA
also has added new definitions to the final rule, many of which help to
explain and clarify OSHA's revised approach to the control of hazardous
energy. Definitions that have been added to the final rule, or
substantially clarified or modified from the proposal, are described
below.
    Additional safety measure. A definition for "additional safety
measure" was added to the final rule to more fully explain and clarify
the tags-plus system described in Sec.  1915.89, Control of hazardous
energy. "Additional safety measure" is defined as a component of the
tags-plus system that provides an impediment (in addition to the
energy-isolating device) to the release of hazardous energy or the
energization or startup of the machinery, equipment, or system being
serviced. Examples include, but are not limited, to removing an
isolating circuit element; blocking a control switch; blocking,
blanking, or bleeding lines; removing a valve handle or wiring it in
place; or opening an extra disconnecting device.
    Authorized employee. Paragraph (b)(3) of Sec.  1915.80 specifies
that an "authorized employee" is an employee who performs one or more
of the following lockout/tagout responsibilities:
     Executes the lockout/tagout procedures;
     Installs a lock or tagout system on any machinery,
equipment, or system that is to be serviced; or
     Services any machinery, equipment, or system that is under
a lockout/tagout application.

The final definition specifies clearly and more directly than the
proposed definition the role of authorized employees in lockout/tagout
situations. In addition, the final definition retains the sentence
clarifying that affected employees become authorized employees if their
duties include servicing machinery, equipment, or systems under a
lockout/tagout application.
    Contract employer. OSHA has added a new definition for "contract
employer." OSHA determined that this definition was needed to clarify
the requirements in Sec.  1915.89(l), Multi-employer worksites. The
definition is currently included in subpart P, Fire Protection for
Shipyard Employment, and has been carried over into subpart F in this
final rule. A "contract employer" is an employer who performs
shipyard employment-related services or work under contract to the host
employer or to another employer who is under contract to the host
employer when the work or services takes place at the host employer's
worksite. Services a contract employer may provide include painting,
joinery, carpentry, or scaffolding. The definition excludes any
employer who provides services that are not directly related to
shipyard employment, such as mail delivery, office-supply, or food
vending services.
    Dummy load. In Sec.  1915.85, Vessel radar and communication
systems, paragraph (b)(2) was revised at the suggestion of Northrop
Grumman Shipbuilding--Newport News (Ex. 116.2) to require protection
for employees working on a system with a dummy load. OSHA defines
"dummy load" as a device used in place of an antenna to aid in the
testing of a radio transmitter that converts transmitted energy into
heat to minimize energy radiating outward or reflecting back to its
source during testing.
    Hazardous energy. "Hazardous energy" was defined to ensure that
employers understand that Sec.  1915.89, Control of hazardous energy,
applies to any source or type of energy, including mechanical (for
example, power transmission apparatus, counterbalances, springs,
pressure, and gravity), pneumatic, hydraulic, electrical, chemical, and
thermal (for example, high or low temperature), that could cause injury
to employees. These energy sources may be active, residual, or stored.
Because this definition encompasses the various types of energy, it was
not necessary to define separately the phrase "energy source," so
OSHA deleted the phrase as its own defined term.
    Hazardous substances. In the proposal, OSHA defined "hazardous and
toxic substances" broadly as used in Sec.  1915.87, Medical services
and first aid. Several commenters stated that this definition was not
appropriate, was economically infeasible, or was too broad (Exs. 104.1;
107.1; 105.2; 106.1; 112.1). OSHA has replaced "hazardous and toxic
substances" with "hazardous substances" in the final standard, which
are defined as substances that may cause injury, illness, or disease,
or otherwise harm an employee by reason of being explosive, flammable,
poisonous, corrosive, oxidizing, irritating, or otherwise harmful. OSHA
has concluded that this definition adequately sets forth the hazards
that have the potential to occur in shipyard employment. This
definition will assist employers to address the hazards in their
particular workplaces by providing, for example, quick-drench
facilities and other first aid or emergency medical equipment.
    Host employer. OSHA added a new definition for "host employer" in
the final rule. OSHA determined that this definition was needed to
clarify the requirements in Sec.  1915.89(l), Procedures for multi-
employer worksites. The definition is currently included in subpart P,
Fire Protection for Shipyard Employment, and has been carried over into
subpart F in this final rule. "Host employer" is an employer who is
in charge of coordinating the shipyard-employment work of other
employers, or who hires other employers to perform shipyard-employment
work or to provide shipyard employment-related services at a multi-
employer worksite.
    Isolated location. For purposes of Sec.  1915.84, Working alone,
OSHA has added a new definition for "isolated location," as requested
by many commenters (Exs. 101.1; 104.1; 105.1; 114.1; 115.1; 118.1; 124;
125; 126; 128; 130.1; 198, p. 73). "Isolated location" is defined as
an area where employees are working alone or with little assistance
from others due to the type, time, or location of their work. Isolated
locations include remote locations or other work areas where employees
are not in close proximity to each other. Examples of isolated
locations include an employee working alone on a job task at the far
end of a vessel, vessel section, or shipyard; an employee working alone
in a hold, sonar space, or tank; or an employee working in a confined
space. OSHA intends to include situations where co-workers may be near
an employee working alone but are not participating in the work of the
lone worker. For example, an isolated location exists when two
employees are working on either side of a metal partition, or when one
employee performs hot work and a firewatch is on the other side of the
bulkhead.
    Lock. OSHA has shortened the phrase "lockout device" from
proposed Sec.  1915.89, Control of hazardous energy, by removing the
word "device," since "device" is not needed to explain what a lock
is. A lock is self explanatory, although OSHA retained the definition
of the term in this final rule. Throughout the standard, when the
proposal required the employer to affix a "lockout device," OSHA has
simplified the term to "lock." The term is defined as a device that
utilizes a positive means, either a key or combination lock, to hold
an energy-isolating device in a "safe" position that prevents the
release of energy and the startup or energization of the machinery,
equipment, or system to be serviced.
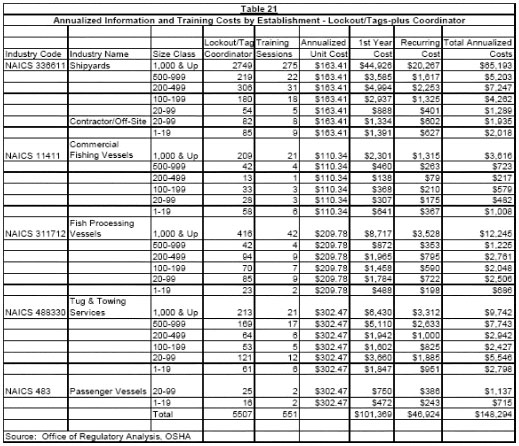
    Lockout/tags-plus coordinator. OSHA has added a new requirement in
Sec.  1915.89, Control of hazardous energy, to designate a lockout/
tagout coordinator in certain situations to verify each lockout/tagout
system. Thus, OSHA has added the term "lockout/tags-plus coordinator"
to the definition section. The lockout/tags-plus coordinator is an
employee designated by the employer to coordinate all lockout and tags-
plus applications on vessels or vessel sections and at landside
facilities when employees are performing multiple servicing operations
on the same equipment at the same time, or on vessels and vessel
sections when employees are servicing multiple machines, equipment, or
systems at the same time. As explained in the summary and explanation
of Sec.  1915.89, the employer may have more than one lockout/tags-plus
coordinator, depending on the size of the shipyard and the scope of
work being performed at any given time. The coordinator will also be
responsible for maintaining a lockout/tagout log for each worksite.
    Lockout/tags-plus materials and hardware. A new definition for
"lockout/tags-plus materials and hardware" was added to clarify the
requirements for controlling hazardous energy in Sec.  1915.89. This
hardware includes locks, chains, wedges, blanks, key blocks, adapter
pins, self-locking fasteners, or other hardware used to isolate, block,
or secure machinery, equipment, or systems to prevent the release of
energy or the startup or energization of the machinery, equipment, or
system.
    Navy ship's force. A new term for "Navy ship's force" was added
to clarify situations when naval vessels are in shipyards and the
ship's force will maintain control of the lockout/tagout applications
under Sec.  1915.89. "Navy ship's force" is the crew of a vessel,
owned and operated by the U.S. Navy, other than a time- or voyage-
chartered vessel, that is under the control of a Commanding Officer or
Master.
    Normal production operations. The term "normal production
operations" was modified from proposed Sec.  1915.89 to include
several examples of machinery or equipment that OSHA intends this
phrase to encompass. These machines or types of equipment may include,
but are not limited to, punch presses, bending presses, shears, lathes,
keel press rollers, or automated burning machines.
    Readily accessible/available. In Sec.  1915.82, Lighting, Sec.
1915.83, Utilities, Sec.  1915.87, Medical services and first aid, and
Sec.  1915.88, Sanitation, OSHA uses the term "readily accessible."
Several commenters requested that OSHA clarify the term "readily
accessible" for this final rule (Exs. 105.1; 121.1). OSHA agrees, and
has defined "readily accessible/available" to mean capable of being
reached quickly enough by an employee to ensure, for example, that
medical services and first aid can be rendered effectively, or that
employees can reach sanitation facilities in time to meet their health
and personal needs.
    Servicing. The proposed term "servicing and/or maintenance" in
Sec.  1915.89, Control of hazardous energy, has been shortened in the
final rule to "servicing" because "maintenance" has been
incorporated into the definition as one of the workplace activities
that the term "servicing" encompasses. The definition now clarifies
that servicing covers workplace activities that involve constructing,
installing, adjusting, inspecting, modifying, testing, and repairing
machinery, equipment or systems. Servicing also includes maintaining
machines, equipment, or systems when performing these services would
expose the employee to harm from the start-up or energization of the
system being serviced or the release of hazardous energy. Servicing
would not include the inspection of a space since that is not an
inspection of a machine, piece of equipment or a system.
    Shield. As used in Sec.  1915.83, Utilities, "shield" means to
install a covering, protective layer, or other effective measure on or
around a steam hose or temporary steam-piping system, including metal
fittings and couplings, to protect employees from coming into contact
with hot surfaces or elements. This action would protect the employee,
as well as the piping or hose. OSHA received comments requesting that
this definition be added to the final rule (Exs. 106.1; 117.1).
    Short bight. In Sec.  1915.83 of the final rule, Utilities, OSHA
added the new term "short bight." NIOSH commented: "[I]t would be
useful to define the term 'short bights"' (Ex. 129.1). OSHA agrees
with this comment. "Short bight" is the loop that is created in a
line or rope that is used to tie back or fasten hoses, wiring, or
fittings. A short bight is not the rope, or the act of fastening the
hose, but the loop in the rope that is being used.
    Tag. OSHA has shortened the phrase "tagout device" from proposed
Sec.  1915.89, Control of hazardous energy, by removing the word
"device," since "device" is not needed to explain what a tag is.
The term "tag" is self explanatory, although OSHA retained the
definition of this term in this final rule. Throughout the standard,
when the proposal required the employer to affix a "tagout device,"
OSHA has simplified the term to "tag" for the final rule. The term is
defined as a prominent warning device that includes a means of
attachment that can be securely fastened to an energy-isolating device
in accordance with an established procedure to indicate that the
energy-isolating device and the equipment being controlled must not be
operated until the tag is removed by an authorized employee.
    Tags-plus system. A definition for "tags-plus system" was added
to clarify the requirements of Sec.  1915.89, Control of hazardous
energy. Although similar to the proposed "tagout" definition, it
needed to be revised to be consistent with requirements in the final
standard. Tags-plus is a system for controlling hazardous energy that
is comprised of: An energy-isolating device with a tag affixed to it
and an additional safety measure. It is imperative that employers and
employees understand that the system is made up of two parts; without
both components, employers will not meet the tags-plus requirements,
and employees will not be fully protected.
    Verification of isolation. In Sec.  1915.89 of the final rule, a
new term, "verification of isolation," was added for clarification.
The term refers to the means necessary to detect the presence of
hazardous energy, which may involve the use of a test instrument, such
as a voltmeter, a visual inspection, or a deliberate attempt to start-
up the machinery, equipment, or system. For electric shock protection,
employers may not use a visual inspection or a deliberate attempt to
start-up the machinery, equipment or system.
    Walkway. In Sec.  1915.81, Housekeeping OSHA included a single
definition for "walking and working surfaces" in the proposal. Based
on comments, that section was amended for clarity. As explained in the
summary and explanation of Sec.  1915.81, OSHA split the requirements
for walkways and working surfaces into separate provisions and added
definitions for both of these terms in this final rule. A "walkway"
is any surface where employees walk or pass through to perform their
job tasks. This may be a vertical, slanted, or horizontal surface, and
may include access ways, designated walkways, aisles, exits, gangways,
ladders, ramps, stairs, and passageways. In addition, if an employer has
instructed employees to use an area such as a scaffold to gain access to
other locations, the scaffold will also be considered a walkway.
    Work area. OSHA has defined two new terms--"work area" and
"worksite"--that are used throughout this subpart. These terms were
added in response to the number of commenters asking for such
definitions (Exs. 101.1; 104.1; 107.1; 124; 126; 128; 130). Richard
Webster from Marine Industries Northwest testified: "Work area is also
an awkward definition. You've got work location and work area, but you
really don't define what it is. * * * So it would be helpful to have
work area * * * much better defined than it is right now" (Ex. 198, p.
195). The Agency agrees that defining terms will assist employers to
better understand the intent of the provisions where the terms occur.
Thus, a "work area" is defined as a specific area, such as a
fabrication area, machine shop, tank, space, or hold, where one or more
employees are working.
    Working surface. A "working surface," as used in Sec.  1915.81,
Housekeeping, encompasses any surface where work is occurring or any
area where tools, materials, and equipment are being staged for
performing work. This definition does not include storage areas where
tools, materials, and equipment have been stored out of walkways, but
it may include a walkway that is now being used to stage tools,
materials, and equipment for a job in progress.
    Worksite. As discussed previously, this term was added in response
to the number of commenters asking for a definition (Exs. 101.1; 104.1;
107.1; 124; 126; 128; 130). A "worksite" is a general work location
where employees are performing work, such as a shipyard, pier, vessel,
vessel section, or barge.
Terms Not Defined and Definitions Deleted by OSHA
    The Agency has decided not to define "adequate" or "adequate
number," as used primarily in Sec.  1915.87, Medical services and
first aid. Richard Webster of Marine Industries Northwest stated, "You
use the terminology over and over again, adequate, adequate. Adequate
number of first aid kits, adequate number of--adequate supplies. * * *
The term is just begging for [a] definition" (Ex. 198, p. 194). Other
commenters stressed the need to define "adequate" (Exs. 101.1; 124;
126; 128; 130.1). OSHA believes that the employer, by considering the
factors required in Sec.  1915.87(c)(3), will be able to determine the
number of first aid providers they will need at their facility. These
factors include the size and location of each shipyard worksite, the
number of employees at each worksite, and the nature of the hazards
present at each worksite. To determine first aid and CPR needs,
employers must also consider the distance of each worksite from on-site
infirmaries or clinics, or off-site hospitals. For sanitation
facilities, employers must take into account the distance of each
worksite from the sanitation facilities.
    OSHA has also deleted the following proposed definitions from the
final rule: "Energized," "energy source," "hot tap," and "ship's
systems." While no comments were received on these definitions,
Electric Boat Corp. noted that proposed Sec.  1915.89(a)(2)(iii)(B)
referred to "hot-tapping" even though 29 CFR 1915.14 "requires a
Marine Chemist certificate for hot work on pipelines that contain or
have contained flammable or combustible liquids" (Ex. 108.1).
Furthermore, Electric Boat Corp. noted:

    NFPA Standard 306 (Control of Gas Hazards on Marine Vessels)
does not permit the Marine Chemist to authorize hot tapping except
in emergency situations where the vessel is in peril. If this work
cannot be authorized in the marine environment why include it in the
proposed standard. The practice of hot tapping in a shipyard should
be removed to eliminate any confusion (Ex. 108.2).

OSHA agrees with the commenter and understands that hot tapping is an
uncommon practice in shipyard employment. Therefore, the definition and
related provisions have been removed from this final rule.
    The terms "energized," "energy source," and "ship's systems"
are no longer used in the regulatory text of Sec.  1915.89 of this
final rule and, therefore, need not be defined.
Definitions Included Without Change or With Minor Editorial Changes
    OSHA did not receive comments on the remaining definitions, and
believes that all of the terms used in this subpart are "terms of
art" in the industry and are universally recognized by shipyard
employees and employers. In addition, some terms were carried forward
into the final standard with only minor editorial changes. These terms
include "affected employee," "capable of being locked out,"
"energy-isolating device," "healthcare provider," "lockout,"
"motor vehicle," "portable toilet," "potable water," "sanitation
facility," "serviceable condition," "sewered toilet," "tagout,"
"vehicle safety equipment," and "vermin."

Section 1915.81--Housekeeping

    This section of the final rule covers housekeeping issues that are
found throughout shipyard employment that, unless adequately addressed,
can add to an already hazardous environment. The final rule, like the
proposed rule, consolidates, revises, and reorganizes the housekeeping
requirements applicable to shipyards (Sec.  1910.141(a)(3) and Sec.
1915.91). However, in the final rule OSHA has changed the approach to,
and the organization of, the housekeeping requirements.
    In the proposed rule, OSHA applied the housekeeping requirements
uniformly to all "walking and working surfaces" rather than treating
walking surfaces and working surfaces as two distinct areas having
unique characteristics and warranting separate safety considerations
and requirements. As mentioned in the discussion of Sec.  1915.80(b),
the proposed rule defined walking and working surfaces as "any surface
on or through which employees gain access to or perform their job
duties or upon or through which employees are required or allowed to
walk or work in their workplace." The proposed definition also
specified that the term included work areas, accessways, aisles, exits,
gangways, ladders, ramps, stairs, steps, and walkways. OSHA applied
this umbrella term to all of the housekeeping requirements in an
attempt to make this section easier to understand.
    However, many commenters expressed concern that combining walking
and working surfaces created a term that was too broad (Exs. 106.1;
108.2; 117.1). For example, Electric Boat stated: "Every location in a
shipyard and on a vessel has the potential to be a working surface"
(Ex. 108.2). Bath Iron Works added that the term walking and working
surfaces is so broad that it "will include every square foot of a
shipyard" (Ex. 106.1).
    Stakeholders also said combining walking and working surfaces as
one term could result in confusion since walking surfaces sometimes
became working surfaces and vice versa (Exs. 121.1; 199, p. 102).
Manitowoc Marine Group commented: "During the construction and repair
of a vessel, many operations take place simultaneously, and it could be
easily very difficult to discriminate what is and what is not
considered, quote, a 'work area' " (Ex. 168, p. 68). Commenters from
the American Shipbuilding Association and the North Pacific Fishing
Vessel Owners' Association requested that OSHA establish separate
definitions for walkways and working surfaces to eliminate potential
confusion (Exs. 117.1; 197).

    Northrop Grumman--Newport News pointed to the uniqueness of working
surfaces in shipyard employment to support dividing walking and working
surfaces into separate terms:

    Shipbuilding and repair, by nature, requires employees to access
numerous small, awkward spaces, such as the catapult wing voids on
aircraft carriers and vertical launch silos on submarines;
therefore, working space is inherently limited even under the very
best housekeeping practices (Exs. 116.2; 120.1).

    Based on the comments received and testimony heard, OSHA has
decided to separate "walking and working surfaces" into two terms:
"walkways" and "working surfaces." Section 1915.80(b)(35) of the
final rule defines a "walkway" as any surface on which employees
walk, including areas that employees pass through, to perform their job
tasks. Walkways include, but are not limited to, accessways, designated
walkways, aisles, exits, gangways, ladders, ramps, stairs, steps,
passageways, and scaffolding. If an area is used or is intended to be
used, to gain access to other locations, it is a walkway within the
meaning of the final rule.
    The final rule defines "working surface" as any surface where
work is occurring or any area where tools, material, and equipment are
being staged for performing work (Sec.  1915.80(b)(37)).
    To make the distinction between walkways and working surfaces, OSHA
has reorganized Sec.  1915.81 of the final standard into three
paragraphs. Paragraph (a) covers general requirements that apply to
both walkways and working surfaces; paragraph (b) includes specific
requirements for walkways; and paragraph (c) includes specific
requirements for working surfaces.
Paragraph (a)--General Requirements
    Paragraph (a)(1) requires the employer to establish and maintain
good housekeeping practices to eliminate hazards to employees to the
extent practicable. Proposed Sec.  1915.81(a) required that the
employer maintain good housekeeping conditions "at all times" to
ensure that walking and working surfaces "do not create a hazard for
employees." American Seafoods Company commented that this requirement
was "vague and impractical in that maintenance and cleaning operations
at times necessitate that the walking and working surfaces be lifted
from their frames" (Ex. 105.1). In addition, the U.S. Navy stated that
the term " '[g]ood housekeeping' adds an ambiguity without apparent
benefit" (Ex. 132.2). Other stakeholders said that in shipyard
employment it is not always possible to maintain good housekeeping
conditions at all times (Exs. 99; 104.1; 107). For example, Steven
Labreque of Electric Boat Corp. said: "Maintaining a clean and dry
condition in all these locations is simply not feasible" (Ex. 108.2).
    After considering stakeholder comments and other information in the
record, OSHA has modified the language in Sec.  1915.81(a) of the final
rule in two ways. First, the final rule requires that employers
establish good housekeeping practices. OSHA's intention in including a
general housekeeping requirement has always been to ensure that
shipyard employers develop and implement procedures for regular and
systematic housekeeping to minimize hazards and protect employees from
harm. In particular, OSHA believes that requiring employers to
establish regular housekeeping practices will be effective in helping
to reduce the large number of slip, trip, and fall injuries that occur
in shipyard employment. As stated in the preamble to the proposed rule
(72 FR 72458, December 20, 2007), according to the BLS data for 2002,
slips, trips, and falls accounted for 19 percent of all injuries and
illnesses involving days away from work in ship and boat building and
repairing (Ex. 69).
    Second, OSHA has revised the language in paragraph (a)(1) to
require that employer housekeeping practices eliminate hazards to
employees "to the extent practicable." The proposed rule would have
required that employers ensure that they maintain good housekeeping
conditions at all times in their workplaces so no hazard is created for
employees. The revised language recognizes that, due to unique
conditions inherent in shipyard employment, it may not be possible to
maintain good housekeeping conditions in shipyard-employment workplaces
at all times or ensure that workplace conditions never present a
hazard. However, the rule requires employers to implement and maintain
rigorous housekeeping conditions unless it is impracticable.
    Paragraph (a)(2) specifies that employers must eliminate slippery
conditions on walkways and working surfaces "as necessary." This
provision, proposed as paragraph (g), would have required that slippery
conditions, including snow and ice, be eliminated "as they occur."
    Northrop Grumman Shipbuilding--Newport News supported the proposal:
"[E]liminating slippery conditions, including those associated with
snow and ice, are important to minimizing the risk of an employee
slipping and being injured" (Exs. 116.2; 120.1). However, a number of
other commenters were opposed to the proposed requirement. Trident
Seafoods Corporation, the U.S. Navy, Bath Iron Works, the Shipbuilders
Council of America, American Shipbuilding Association, and Sound
Testing, Inc., said it is extremely difficult in shipyard-employment
worksites to ensure that snow and ice are immediately eliminated (Exs.
104.1; 106.1; 107.1; 114.1; 115.1; 117.1; 118.1; 119.1; 121.1; 125;
132.2; 168, p. 68; 199, pp. 55, 80-83). For instance, Atlantic Marine
said: "It is not practical to eliminate snow and ice as they occur"
(Exs. 115.1; 118.1). Roy Martin testified that the proposed requirement
"represents an unrealistic expectation. Removing snow and ice as they
occur is not practical, considering, as I well know [from] firsthand
experience on the Great Lakes, conditions such as this may last several
days, making constant attention a major burden, if not infeasible"
(Ex. 168, p. 57). Dale Myer of Arctic Storm Management Group testified
that requiring employers to clean slippery conditions as they occur
would be impossible because such conditions were "almost impossible to
define. When is a surface slippery? * * * So is one flake going to be
snow occurred? Is one inch going to be snow occurred? Is a trace of
snow going to be as it occurs?" (Ex. 199, p. 82).
    Stakeholders suggested alternative approaches. Atlantic Marine
suggested that OSHA allow "a practical amount of time" to remove snow
and ice (Exs. 115.1; 118.1). Dale Myer recommended:

    I believe that the phrases that you have in subsection D
[proposed paragraph (d)], which talks about the dry conditions, as
it reads it says, maintain so far as practical in dry conditions. I
think that phrase, 'so far as practical,' should actually be
incorporated into G [proposed paragraph (g)] (Ex. 199, p. 83).

    To address stakeholders' concerns, OSHA has revised the language of
the final rule to require that employers eliminate slippery conditions
"as necessary." OSHA intends "as necessary" to mean that conditions
are such that they can pose a hazard to employees. The revised language
gives employers flexibility in determining whether the particular
conditions may pose a hazard to employees or have deteriorated such
that action is necessary. In addition, the performance-based approach
gives employers flexibility in determining what method of eliminating
slippery conditions will work most effectively for them.
    During the hearings, participants described some of the methods and
procedures they use at their shipyard facilities. For instance, Roy
Martin described how Manitowoc Marine Group deals with ice and snow:

    We will have someone come in the moment we do have an event, and
they will start the cleanup process, as much as feasible. They will
clean the main thoroughfares, and they will sand-salt as they are
cleaning as well. We do have areas around the vessels which we train
our employees to help utilize the salt-sand buckets, for lack of [a]
better phrase, at these areas as well. We utilize a lot of employee
assistance in that, because, as you well know, there are instances
where we have days of extensive weather (Ex. 168, p. 93).

    Some stakeholders stated that, in certain severe weather
conditions, it was not always possible to eliminate slippery conditions
(Exs. 115.1; 116.1; 118.1). The final rule recognizes that, in some
circumstances, weather conditions may make it impracticable for
employers to eliminate slippery conditions. In such cases, employers
must take alternative action to ensure that employees are not injured.
Accordingly, the final rule specifies that when it is impracticable for
employers to eliminate slippery conditions, they must either (1)
restrict employees to designated walkways and working surfaces where
the employer has been able to eliminate slippery conditions, or (2)
provide employees with slip-resistant footwear. This footwear must be
provided in accordance with 29 CFR part 1915, subpart I. In particular,
Sec.  1915.152(f) specifies whether the employer must provide personal
protective equipment (PPE) at no cost to employees.
    OSHA does not think that employers will have difficulty in
complying with the alternative methods. For example, Dale Myer stated
that their company already has incorporated slip-resistant footwear in
their housekeeping program:

    Another thing that we do is we have bought our crew slip-on, you
know, we call them toggles. What they are is they're just, they slip
right over the rubber boots and stuff like that. They're like
grippers. And when we have been working on the dock and the dock is
slippery, we provide those to our crew members (Ex. 199, pp. 87-88).

    Paragraph (a)(3) requires that employers store materials in a
manner that does not create a hazard for employees. Proposed Sec.
1915.91(h) would have required that "construction materials" be
stacked in a manner that does not create a hazard to employees.
Information in the record, including site visits to shipyards and on
fishing vessels (Ex. 207), support expanding the final rule to cover
more than construction materials and address additional storage
methods. Shipyard employment activities involve large amounts of
materials, including construction materials, drums filled with
hydraulic fluid, pallets (empty and full), and equipment such as
welding machinery. If any of these materials are not properly stored or
stacked, they could create a hazard for employees. For instance, if
hydraulic drums are not properly stacked, they could topple over and
injure workers. Scaffolding material could cause trips and falls if
they are not stored properly when not in use. Therefore, the final rule
expands the scope of this provision to cover all materials used in
shipyard employment, including materials for constructing or repairing
vessels and vessel sections, as well as any materials used in daily
shipyard operations.
    In addition, the final rule specifies that the employer must
"store" materials safely, which is more comprehensive than the
proposed requirement to "stack" materials safely. OSHA believes that
requiring materials to be stored safely will protect employees from
injury no matter whether the employer chooses to stack them or use
another storage method.
    Paragraph (a)(4) requires that employers maintain easy and open
access to fire alarm boxes, fire call stations, all fire-fighting
equipment, and exits, including ladders, staircases, scaffolds, and
gangways. Proposed Sec.  1915.81(f) contained a similar requirement,
but the provision referred generally to maintaining easy access to
"exits." In shipyard-employment workplaces, there are many types of
exits and methods of egress, including gangways, ladders, staircases,
and scaffolds. OSHA believes that employees must have immediate access
to all means of egress in the event of an emergency. Therefore, the
final rule clarifies additional types of exits in shipyard-employment
workplaces to which the employer must maintain easy and open access.
    Paragraph (a)(5) requires that all flammable and combustible
substances, such as paint thinners, solvents, rags, scrap, and waste,
be disposed of or stored in covered fire-resistant containers. The
final rule combines proposed paragraphs (j) and (k) into one provision.
Proposed Sec.  1915.81(j) would have required that all oils, paint
thinners, solvents, waste, soaked rags, or other flammable substances
be kept in fire-resistant covered containers when not in use.
Similarly, proposed Sec.  1915.81(k) would have required that
combustible scrap be removed from work areas as soon as possible.
    Several commenters, including Bath Iron Works, the Shipbuilders
Council of America, and Atlantic Marine, recommended that OSHA delete
both proposed paragraphs (j) and (k), saying 29 CFR part 1915, subpart
P, Fire Protection in Shipyard Employment, covers these issues (Exs.
106.1; 108.2; 114.1; 115.1; 117.1; 118.1). To the extent that subpart P
covers the hazards of flammable and combustible substances, the
requirements only apply to work areas where hot work is performed.
Section 1915.81(a)(5), on the other hand, addresses flammable and
combustible substances wherever they are used, located, or stored in
shipyard-employment worksites. Therefore, OSHA believes it is necessary
to retain the proposed requirements in the final rule. The Agency
believes that the removal or proper storage of flammable and
combustible substances is important to ensure that employees have safe
working conditions.
    Paragraph (a)(5) also requires that flammable and combustible
substances be disposed of or stored at the completion of a job or end
of a workshift, whichever occurs first. Proposed Sec.  1915.81(j) would
have required that flammable substances be stored "when not in use,"
while proposed Sec.  1915.81(j) would have required that combustible
scrap be removed from work areas "as soon as possible."
    Trident Seafoods Corporation raised concerns about when employers
must store or dispose of substances (Exs. 104.1; 107.1; 199, pp. 136-
137):

    Does 'when not in use' mean that closed paint thinner cans must
be placed in covered fire resistant containers during short breaks?
It would be better if this requirement read along the lines of 'at
the end of the shift, when no longer needed for [on] the particular
portion of the job being performed or end of the work day whichever
comes first' (Exs. 104.1; 107.1).

OSHA agrees with the commenter's recommendation. OSHA did not intend to
require that employers store flammable substances while employees are
at lunch or on break. OSHA used performance-based language in proposed
paragraphs (j) and (k) to give employers flexibility in how to best
comply with the requirements. OSHA believes the commenter's
recommendation provides clearer direction to employers, while ensuring
adequate protection for employees. Accordingly, the final rule requires
that employers dispose of or store flammable and combustible substances
at the end of each workshift or when the job is completed, whichever
occurs first.

Paragraph (b)--Walkways
    Paragraph (b) sets forth requirements to protect employees from
hazards when they are using walkways. OSHA has included in paragraph
(b) those requirements from the proposed rule that were intended to
apply primarily to walkways, as well as requirements that address
issues that are unique to walkways.
    Paragraph (b)(1)(i) requires that all walkways provide adequate
passage. The proposed rule contained a similar requirement (proposed
Sec.  1915.81(b)). This requirement is intended to be read in
conjunction with paragraphs (b)(1)(ii)-(iv), which address keeping
walkways clear of debris, materials, hoses, and cords. Taken together,
these provisions provide employers with directions for ensuring that
walkways provide safe and adequate passage.
    Paragraph (b)(1)(ii) requires that walkways be clear of debris,
including solid and liquid wastes, that may create a hazard for
employees. The proposal included a similar provision (Sec.
1915.81(e)). Sound Testing, Inc., requested that OSHA define "solid
and liquid waste" (Ex. 121.1). OSHA believes that employers understand
that "solid and liquid waste" includes any materials unused and
rejected as unwanted, such as trash, used materials, scraps, studs,
welding rod tips, nuts or bolts, broken equipment, empty containers, or
other items that will be thrown away. OSHA intends that the term have
only the normal definition of "waste"; therefore, the Agency does not
believe it is necessary to add a definition to the regulatory text.
    Paragraph (b)(1)(iii) specifies that employers ensure walkways are
free from tools, materials, equipment, and other objects that may cause
a hazard to employees. Proposed Sec.  1915.81(c) would have required
that only tools, materials, and equipment necessary to perform the job
in progress may be kept on walking and working surfaces, and that all
other tools, materials, and equipment be stored or located in an area
that does not interfere with walking and working surfaces.
    General Dynamics Electric Boat and Sound Testing, Inc., recommended
that the provision be applied only to walkways, not working surfaces
(Exs. 108.2; 121.1). For example, Phil Dovinh, of Sound Testing, Inc.,
stated:

    Walking surfaces should be kept clear of all tools and equipment
at all times--portable welding machines, generators, blowers and
ventilation equipment, gas cylinders and fire extinguishers, welding
leads, cables and hoses, pressure washers, pumps, etc * * * all are
necessary during hot work, repair or maintenance operations, and
could easily block a walkway--hence potentially hindering an
emergency escape. A walking surface can become a working surface
when the repair is required--only then tools and equipment may be
placed on the walking surfaces as needed to successfully complete
the job (Ex. 121.1).

    OSHA believes that walkways must be clear from tools, materials,
and equipment at all times. If materials and equipment are placed in
walkways, employees passing through the area are at risk of injury.
OSHA recognizes that workers need to have the necessary tools,
materials, and equipment at hand to perform their jobs. However, if
employees place materials or equipment in a walkway, that walkway
becomes a working surface and the employer must prevent the area from
being used as a walkway (see discussion of paragraph (b)(2)).
    Paragraph (b)(1)(iv) requires that walkways be clear of hoses and
electrical service cords, and identifies acceptable means to meet that
requirement. The purpose of the proposed and final provisions is to
prevent injury to employees and damage to the hoses and cords.
    The proposed rule (proposed Sec.  1915.81(i)) contained a similar
requirement, but it did not include a general provision allowing
employers to use other suitable means to keep hoses and cords out of
walkways. Stakeholders suggested that OSHA allow employers to use
additional methods to prevent employee contact with hoses and cords.
For example, Trident Seafood Corporation recommended "the option of
ensuring that hoses and electrical cords are kept to the side of a
walkway or working surface provided they are not trip hazards or in
danger of being damaged" (Exs. 104.1; 107.1). General Dynamics NASSCO
recommended that:

    Hoses, cords and leads shall be routed in a manner that prevents
employee exposure to trip hazards and damage to the hoses, cords,
and leads. Walkways shall be kept free of trip hazards by routing
hoses, cords and leads overhead, through crossovers or by other
suitable means (Ex. 119.1).

    OSHA agrees with the commenters' statements that there are
additional safe ways to protect employees from contact with hoses and
cords in walkways. Accordingly, OSHA has modified paragraph (b)(1)(iv)
to provide employers alternatives to comply with this provision.
Employers may either place hoses and cords above walkways, underneath
walkways, or on walkways, provided they are covered by crossovers or
other means. In addition, OSHA has added a performance-based
alternative that allows the employer to protect each hose and cord by
another suitable means, provided that the "suitable means" provides
equivalent protection for employees and prevents damage to the hoses
and cords. OSHA believes that this revision gives employers greater
flexibility in complying with the requirement of paragraph (b)(1)(iv).
    Several commenters raised an issue about applying this provision to
both walking and working surfaces. Northrop Grumman Shipbuilding--
Newport News argued that the provision was not feasible for working
surfaces: "Employees may perform job tasks in tight, confined or
otherwise awkward areas on ships where there is limited overhead to
hang a line or room to cover the line" (Exs. 116.2; 120.1). Based on
these comments, the Agency has changed the final rule so it applies
only to walkways.
    In paragraph (b)(2) of the final rule, OSHA is adding a new
requirement that specifies what action employers must take if they use
a walkway as a working surface. Paragraph (b)(2) requires that
employers cordon off any portion of a walkway they are using as a
working surface to prevent the area from being used as a walkway.
    As mentioned, many stakeholders said using walkways as working
surfaces is a common occurrence in shipyard employment (Exs. 108.2;
121.1; 199, p. 122). Philip Dovinh, from Sound Testing, Inc.,
commented: "A walking surface can become a working surface when repair
is required--only then tools and equipment may be placed on the walking
surfaces as needed to successfully complete the job" (Ex. 121.1).
    The new requirement ensures that this common occurrence in shipyard
employment does not injure or endanger workers. If workers are allowed
to walk through a walkway that is also being used as a working surface,
they could bump into employees working in the area or disturb equipment
or materials that are being used to perform the job in that area. OSHA
believes that this new requirement protects not only workers who
otherwise would use the walkway as a thoroughfare, but also employees
who are working in the cordoned-off section.
    OSHA notes that even if the employer uses a portion of a walkway as
a working surface, the employer is still required to ensure that each
walkway provides adequate passage (Sec.  1915.81(b)(1)(i)). If the
remaining portion of the walkway does not provide adequate passage, the
employer must provide other means of access.

Paragraph (c)--Working Surfaces
    Paragraph (c) specifies the requirements that employers must
follow, in addition to those in paragraph (a), to protect employees on
working surfaces. Paragraph (c)(1) requires that employers ensure that
each working surface is cleared of tools, materials, and equipment that
are not necessary to perform the job in progress. The proposed rule
contained a similar requirement (proposed Sec.  1915.81(c)). OSHA
understands that some jobs may require a large amount of tools,
materials, or equipment, and that workers should be able to access
these items as they are needed. However, excess tools, materials, and
equipment pose a risk of slips, trips, falls, or other injuries. In
addition, excess materials take up precious space in what stakeholders
say are small, tight working areas in shipyard employment (Ex. 116.2;
120.1). OSHA did not receive any comments opposing this requirement as
it applies to working surfaces.
    Paragraph (c)(2) requires employers to ensure that each working
surface is cleared of debris, including solid and liquid waste, at the
end of each workshift or job, whichever occurs first. Proposed Sec.
1915.81(e) would have required that both walking and working surfaces
be kept clear of debris at all times. OSHA has modified that
requirement as it applies to working surfaces in this final rule. In
active work areas, OSHA recognizes that the job may produce debris.
OSHA did not intend to require employers to stop the job to clear the
area every time debris is produced. Rather, OSHA intended that at the
end of each workshift, the employer shall clean up and remove debris
from the work area. If a job is completed before a workshift ends, the
final rule requires that the employer clear debris from the work area
at that time. The Agency believes that the revised language in
paragraph (c)(2) provides greater clarity than the proposal.
    Paragraph (c)(3) specifies that each working surface be maintained,
so far as practicable, in a dry condition. When wet processes are used,
the final rule requires that the employer implement measures so workers
have dry standing places. If that is not practicable, the final rule
requires that the employer provide footgear that protects the employee
from the wet process. Proposed Sec.  1915.81(d) contained a similar
requirement.
    A number of commenters said the language in the proposed rule
implied that employers would be required to provide waterproof footgear
to all workers any time the floor or deck of a work area became wet.
Atlantic Marine stated that:

    The way this paragraph reads, employers would have to provide
waterproof foot gear every time it rains because the surface may not
dry immediately. Atlantic Marine assumes that OSHA did not intend
rain gear to be required PPE since it is specifically excluded in
the recent payment for PPE final rule; however, the way that this
section is worded, it becomes required PPE. Please remove or reword
this section (Exs. 115.1; 118.1).

American Shipbuilding Association added:

    Paragraph (d) is problematic due to the breadth of its scope[;]
however[,] the proposal retains the existing requirement that
employers must provide waterproof boots to workers in every work
area where wet processes take place if keeping the floor or deck of
that work area dry is not practicable. Because every location in a
shipyard and on a vessel is a potential working area and many of
those areas are located outdoors, the proposal should be more
specific in defining work areas and should explicitly exclude
walking areas. Otherwise, it could be interpreted to mean that
employers must provide waterproof boots to all employees in the
event of rain at the facility. Among wet processes, the proposal
explicitly includes painting and cleaning. Those two processes
should be removed as examples because waterproof footgear does not
necessarily provide the best protection when painting and cleaning.
Many waterproof rubbers will dissolve in solvents used in the
painting process. Cleaning a tank containing acid, for example,
requires more than waterproof footgear for adequate protection (Ex.
117.1).

Other commenters raised the same concerns (Exs. 104.1; 106.1; 107.1;
199, pp. 80-81, 106).
    OSHA believes it is important for employers to maintain working
surfaces in dry condition when possible to protect employees from
injury. Keeping working surfaces dry will help to prevent slips, trips,
and falls, which constitute a significant portion of injuries in
shipyard employment (Ex. 69). Therefore, OSHA is retaining this general
provision in the final rule.
    Paragraph (c)(3) also requires that employers take additional
actions if they cannot keep working surfaces in a dry condition.
However, these additional actions only apply in work areas where
employers are using wet processes. Shipyard employment involves various
wet processes, including hydroblasting, gas-freeing, and cleaning.
Employers do not have to implement the additional actions in non-wet
processes or operations or where working surfaces are wet because of
weather conditions. OSHA has revised the language in paragraph (c)(3)
to clarify that the additional actions only apply in work areas where
wet processes are used.
    If employers cannot keep working surfaces in a dry condition when
using wet processes, they will need to maintain drainage and implement
measures, such as false floors, platforms, mats, or other types of dry
standing places, to prevent employees from being exposed to
contaminated water or from standing for prolonged periods of time in
water, both of which may result in adverse health effects.
    When the employer demonstrates that this procedures is not
practicable to implement measures in wet processes that will provide
dry standing places for workers, paragraph (c)(3) requires that
employers provide footgear that protects employees from exposure to
contaminants (for example, standing in water to perform job tasks).
Paragraph (c)(3) also requires employers to provide protective footgear
in accordance with the requirements of subpart I. Among other
requirements in subpart I, Sec.  1915.152(f) establishes requirements
for when employers must provide personal protective equipment at no
cost to the employee.
    In addition, OSHA has revised the language in paragraph (c)(3)
specifying what type of footgear employers must provide when it is not
practicable for the employer to keep the working surface dry. The final
rule requires employers to provide "protective footgear" in such
cases. The proposed rule, on the other hand, would have required that
employers provide "waterproof footgear, such as rubber overboots." As
noted earlier, one stakeholder pointed out a problem with the proposed
requirement to provide waterproof or rubber boots in certain wet
processes:

    Among wet processes, the proposal explicitly includes painting
and cleaning. Those two processes should be removed as examples
because waterproof footgear does not necessarily provide the best
protection when painting and cleaning. Many waterproof rubbers will
dissolve in solvents used in the painting process. Cleaning a tank
containing acid, for example, requires more than waterproof footgear
for adequate protection (Ex. 117.1).

    OSHA believes that the revised language in the final rule addresses
the commenters' issue and ensures that employers provide the type of
footgear that will protect employees in the particular wet process they
are using or working.

Section 1915.82--Lighting

    This section sets forth lighting requirements in shipyard-
employment workplaces. OSHA reorganized this section into four
paragraphs: (1) General requirements; (2) temporary lights;
(3) portable lights; and (4) explosion-proof, self-contained lights.
Paragraph (a)--General Requirements
    Paragraph (a) establishes general lighting requirements that apply
in all areas of shipyard employment, regardless of whether permanent or
temporary lights are used. Adequately lit workplaces are essential in
preventing employees from being injured or killed because they can't
see and avoid hazards that might be present. As discussed in the
preamble to the proposed rule, there have been fatalities in shipyard
employment that may have been prevented if the employer had provided
adequate lighting (72 FR 72452, 72459-60, Dec. 20, 2007). In one case,
an employee was electrocuted while performing repair work in a poorly
lighted area. In another case, an employee was killed when he stepped
into a dark cargo deck and fell through an opening in the floor to the
bottom of the cargo hold. These types of worker fatalities clearly
indicate that employers need to provide lighting that is sufficient for
employees to see where they are, where they are going, and what job
tasks they are performing.
    Paragraph (a)(1) requires that employers adequately illuminate each
work area and walkway whenever a worker is present. This requirement is
the same general requirement as the existing rule and the proposed
rule. OSHA received no comments opposing this requirement and,
therefore, is retaining the requirement in the final rule.
    In paragraph (a)(2), OSHA carries over from the proposal the table
of lighting intensity levels (Table F-1) for landside areas. For
vessels and vessel sections, paragraph (a)(3) allows employers either
to provide lighting that achieves the levels in Table F-1 or to meet
the requirements of ANSI/IESNA RP-7-01, "Recommended Practice for
Lighting Industrial Facilities" (incorporated by reference as set
forth in Sec.  1915.5). The proposed rule would have required employers
to provide lighting on vessels and vessel sections that meets the
levels in Table F-1.
    Table F-1 sets forth the minimum illumination requirements for
designated areas in shipyard employment. For instance, Table F-1
specifies that general landside areas, such as corridors and walkways
that employees pass through, must have an illumination intensity of at
least five lumens (foot candles). Higher illumination levels (for
example, 10 lumens) are required for landside areas such as machine and
carpentry shops where employees use hazardous tools and equipment and
perform precision work. Likewise, higher illumination levels are
required in warehouses, where employees read signs and warning labels
and operate forklift trucks and other heavy equipment where controls or
instructions must be seen and understood. OSHA developed the
illumination levels in Table F-1 from the requirements in its
Construction Illumination (Sec.  1926.56) and Hazardous Waste
Operations (Sec.  1910.120) standards, and from the American National
Standards Institute (ANSI) standard, Recommended Practice for Lighting
Industrial Facilities (ANSI/IESNA RP-7-01) (Ex. 38). The Agency
believes illumination requirements at these levels will help to ensure
that workers have sufficient lighting to safely move about and perform
work tasks.
    Table F-1 of the final rule includes a note indicating that the
required illumination levels in the table do not apply to emergency or
portable lighting. The final rule carries over the note in proposed
Table F-1 with minor revisions. OSHA did not receive any comments on
the note.
    OSHA developed proposed Table F-1, in large part, because SESAC
recommended that OSHA revise the lighting standards to include specific
illumination levels (Docket SESAC-1992-1, Ex. 100X, 1992, p. 113). Some
stakeholders, such as General Dynamics NASSCO, generally agreed with
requiring employers to meet the illumination levels in Table F-1 (Ex.
119.1). However, OSHA also received mixed reaction to the proposed
Table F-1. During the hearing John Killingsworth, representing the
Puget Sound Shipbuilders Association, testified:

    [T]he numbers in this table on lumens for specific work areas
are somewhat reasonable and they're achievable. But in my 43 years
of work experience, I've never had to carry a light meter into any
work area I've been in. In order to comply with this section,
however, I guess I'll have to. Will it reduce risk? I don't think so
(Ex. 198, p. 86).

    OSHA also received several comments opposing the application of
proposed Table F-1 on vessels (Exs. 105.1; 112.1; 131.1; 132.2; 168,
pp. 286-287; 198, pp. 20-22). For instance, Northrop Grumman
Shipbuilding--Newport News stated:

    We agree that adequate lighting is important to ensure employees
can access and perform work safely. However, we have conducted
numerous lighting measurements on ships and do not believe that a
prescriptive table of lighting intensities is practical. Our
findings indicate that it is extremely difficult to obtain uniform
lighting due to interferences associated with ship's components and
materials. Our results indicate that passageways and decks, in
general, are visible at lighting levels below those listed in the
table. We recommend that Table [F-1] be removed and that
performance-oriented language be provided along with a non-mandatory
reference to ANSI/IESNA [RP-7-01-2001]. We recommend the following
or similar language, 'The employer shall ensure that areas where
employees will work or must pass through to access their work are
adequately illuminated.' ANSI/IESNA [RP-7-01-2001] should be used as
a non-mandatory reference to assist in determining the adequacy of
lighting (Exs. 116.2; 120.1).

    The American Shipbuilding Association (ASA) stated:

    Our findings indicate that it is extremely difficult to obtain
uniform lighting [on vessels] due to the variety of shipboard
configurations encountered. Equipment and smaller internal
compartments obstruct lighting and cause shadows even in the best-
lit work environments. Unlike in buildings, where lighting is
usually level with the ceiling or only slightly recessed, on ships,
lighting is often not the lowest fixture in the overhead. It is
therefore often subject to obstruction by other ship's structures
(Ex. 204.1).

    In sum, many commenters found the illumination levels in proposed
Table F-1 problematic for vessels and vessel sections.
    Although OSHA believes that the minimum levels specified in Table
F-1 provide useful and clear assistance for employers, the Agency also
is persuaded by stakeholders who expressed that it may be difficult for
them to maintain uniform lighting levels on vessels and vessel sections
using permanent lighting, particularly when the vessel is old or when
the employer does not own the vessel. Therefore, in final paragraph
(a)(3), OSHA is allowing employers to either follow the illumination
levels set forth in Table F-1 for lighting vessels and vessel sections
or comply with the appropriate values specified in ANSI/IESNA RP-7-01
(2001). For example, an employer could follow Table F-1 or ANSI/IESNA
RP-7-01 (2001) for a fabrication area in a shipyard. By following Table
F-1, the employer would be required to ensure that the area was
illuminated to 10 fc. Figure A2-2, Recommended Illuminance Values for
Industrial Areas/Activities--Outdoor, in ANSI/IESNA RP-7-01 requires 30
fc for the same area. Additionally, for changing rooms (locker rooms)
Table F-1 would require the employer to ensure that the area was
illuminated to 10 fc, while Figure A2-1, Recommended Illuminance Values
for Industrial Areas/Activities--Interior, in ANSI/IESNA RP-7-01
requires 7 fc for the same area.
    OSHA believes that paragraph (a)(3) gives employers greater
flexibility in providing lighting that is adequate for workers to
safely move and work on vessels and vessel sections. OSHA also believes
that allowing employers the option of complying with Table F-1 or the
values specified in the ANSI standard will help alleviate stakeholder
concerns that the proposed rule would require them to obtain costly
personnel and equipment to verify lighting levels (Exs. 116.2; 120.1).
In particular, stakeholders were concerned about the costs associated
with verifying lighting levels, particularly on vessels undergoing
constant change during construction and repair (Ex. 204.1). (See
Section IV, Final Economic Analysis, for further discussion.)
    Based on the record and site visits, OSHA recognizes that permanent
lighting on vessels and vessel sections may be limited. In some
circumstances and areas, it may not be possible for employers to
install permanent lighting that meets the required illumination levels.
This may be particularly true for older vessels. To address this issue,
OSHA added a new requirement (paragraph (a)(4)) specifying that, when
it is impracticable for employers to provide permanent lighting on
vessels or vessel sections that meets the requirements in paragraphs
(a)(2) and (a)(3), employers must supplement the permanent lighting
with temporary lights. OSHA believes this additional requirement is
necessary to ensure that employees have adequate lighting to move about
and work safely, while giving employers additional flexibility in
meeting the lighting requirements.
    In paragraph (a)(5), OSHA carries over from the proposed and
existing rules the provision prohibiting the use of matches and open-
flame devices for lighting, including during emergencies. OSHA believes
that matches and open flames can never be a safe method to light a dark
area. This rule requires that employers provide employees with portable
lights to ensure safe movement when there is no lighting, or when
lights are not working (1915.82(c)(1)).
Paragraph (b)--Temporary Lights
    Paragraph (b) sets forth the requirements for temporary lighting,
including light guards, grounding, insulation, and splicing. For the
most part, the final rule carries forward the requirements in proposed
Sec.  1915.82(b).
    Several commenters suggested that the provisions in paragraph (b)
more properly belong in 29 CFR part 1910 subpart S, Electrical (Exs.
106.1; 108.2; 114.1; 168, p. 75). However, others requested that OSHA
have one standard on temporary lighting dedicated to the maritime
industry (Ex. 105.1). Although some of the requirements in paragraph
(b) address electrical issues, they only address electrical issues to
the extent they are associated with temporary lighting. The electrical
standards in part 1910, on the other hand, are much more comprehensive
and focus primarily on more complex electrical issues. As such, OSHA
believes that including the requirements in Sec.  1915.82(b) ensures
that the provisions receive appropriate focus.
    Paragraph (b)(1) requires that temporary lights be guarded if they
do not have "completely" recessed bulbs to prevent employees from
accidentally coming into contact with the hot bulb. The final rule is
identical to the proposed provision. As noted in the preamble to the
proposed standard, unless a temporary light is completely recessed,
there is a risk that the light could be damaged or broken, thus
creating a hazard for employees (for example, electrical shock,
laceration, burn) (72 FR 72460). The requirement to have guards or
completely recessed lights will prevent employees from accidentally
contacting the hot bulb. These safeguards also will help to prevent
combustible materials from igniting.
    Northrop Grumman Shipbuilding--Newport News supported the proposed
provision (Exs. 116.2; 120.1). One stakeholder suggested that OSHA more
clearly define what is meant by "completely recessed" and recommended
that OSHA replace the term with the following language: "extend beyond
the plane of the lighting fixture opening" (Ex. 132.2). OSHA believes
that the term "completely recessed" is clear and self-explanatory,
and that the recommended language would add unnecessary complexity
without providing significant additional benefit or clarity.
    Paragraph (b)(2), like the proposed rule, requires that employers
equip temporary lights with electric cords "designed with sufficient
capacity to carry the electric load." The final rule updates the
existing standard requiring employers to use "heavy duty" electrical
cords. OSHA believes that the language in the final rule more clearly
and accurately identifies the type of cord employers must provide to
ensure that employees are protected from electrical, fire, and other
hazards. OSHA recognizes that heavy-duty, hard, and extra-hard cords
have accepted meanings in industry standards; however, the use of a
heavy-duty cord does not ensure that it has sufficient capacity to
carry the particular electric load. OSHA believes the final rule
provides clearer direction while giving employers flexibility in
choosing what type of cord to use so long as it can safely carry the
electric load.
    Paragraph (b)(3), like the proposed rule, specifies that
connections and insulation for electric cords for temporary lights must
be "maintained in a safe condition." To ensure that connections and
insulation are "maintained in a safe condition," employers must check
insulation and connections to determine whether they continue to be in
proper working order and replace those that are broken, cracked, or
damaged. If insulation and connections are damaged, workers can be
exposed to electrical, fire, and other hazards. OSHA remains convinced
that this maintenance requirement is necessary for employee safety.
OSHA did not receive comments opposing the requirement.
    Paragraph (b)(4) prohibits temporary lights and light stringers
from being suspended solely by their cords unless the manufacturer has
designed them to be hung that way. Improper suspension of lights by
their electric cords places the cords under tension that they were not
designed to withstand. Such tension could cause the cords to fray,
break, or become damaged and expose employees to electrical and other
hazards. The only change the final rule makes in the existing rule is
to clarify that lights may only be suspended by the cord if the
manufacturer designs the cord to be used that way. OSHA did not receive
any comments opposing the proposed change.
    Paragraph (b)(5) specifies that lighting stringers must not
overload branch circuits, while paragraph (b)(6) requires that branch
circuits be equipped with over-current protection with a capacity that
does not exceed the rated current-carrying capacity of the cord used.
Both provisions were contained in the proposed and existing rules. OSHA
believes that both measures are necessary to provide an adequate
measure of safety from electrical and fire hazards associated with
circuit overloading. Stakeholders did not oppose the proposed
requirements.
    Paragraph (b)(7) specifies that splices must have insulation that
"exceeds" that of the original insulation of the cord. When a splice
is necessary on an electrical cord, the current may create a surplus of
energy or "hot spot" at the splice junction that is greater than the
current for which the cord was designed. Requiring that the rated
capacity of the new insulation exceed the capacity of the cord's
insulation ensures that employees will be protected if they touch or
come into contact with the cord at the splice. The additional
insulation capacity also ensures that hot spots do not start burning or
ignite combustible materials in the area.
    In the proposal, OSHA requested comment on paragraph (b)(7),
including whether the Agency should require a more specific
requirement. In particular, OSHA requested comment on whether OSHA
should require splices to have insulation that is 1\1/2\ times greater
than that of the cord. NIOSH expressed a preference for such language,
saying such a requirement "could be objectively evaluated and may
facilitate compliance and enforcement" (Ex. 129.1). Trident Seafoods
Corporation made two recommendations. First, they recommended that OSHA
provide guidance on determining when splice insulation "exceeds" the
original insulation. They also said that OSHA should reference a
"recognized standard for determining appropriate splices insulation
such as NFPA [National Fire Protection Association] NC70" standard
(Ex. 198, p. 72). On the other hand, the U.S. Navy said that the
existing rule requiring that splices have insulation "equal" to that
of the cord was adequate, and that it complies with the requirements on
splices in the NFPA NC70 national consensus standard (Ex. 132.2).
    OSHA decided to adopt the proposed requirement for two reasons.
First, OSHA believes that requiring splice insulation to exceed the
capacity rating of the insulation on the original cord ensures that
employees are fully protected from electrical and other hazards. OSHA
notes that employers who use splices with insulation that is 1\1/2\
times greater than the original will be in compliance with the final
rule.
    Second, OSHA believes that the performance-based language in the
final rule will give employers greater flexibility. OSHA believes that
providing employers with such flexibility will be beneficial,
especially since different capacities of splice insulation may be
needed depending on the use and location of each temporary light cord.
    Paragraph (b)(8) requires that exposed, non-current-carrying metal
parts of temporary lights be grounded. It also requires that grounding
be provided either through a third wire in the cord that contains the
circuit conductors, or through a separate wire that is grounded at the
source of the current. In addition, it requires that grounding be done
in accordance with the electrical standards in 29 CFR part 1910,
subpart S. The proposed rule would have required that grounding be done
in accordance with the requirements of Sec.  1915.132(b) (subpart H,
Tools and Related Equipment). Since publication of the proposal, OSHA
promulgated 29 CFR 1910, subpart S, which supersedes Sec.  1915.132(b).
Therefore, OSHA updated the reference in the final rule. No comments
were received that opposed paragraph (b)(8).
Paragraph (c)--Portable Lights
    Paragraph (c) sets forth requirements for providing and using
portable lights, including emergency lights. The proposed rule referred
to "handheld" portable lights. A number of stakeholders urged OSHA
either to define the term "handheld portable lights" used in proposed
paragraph (c), or replace it with either "portable light" or the
common term "flashlight" (Exs. 101.1; 121.1; 124; 126; 128; 130.1;
168, pp. 72, 353; 198, pp. 86-87). Several stakeholders pointed out
that there are various types of portable lights available and used in
the industry, not all of which are handheld. For example, some
employers provide portable lights affixed to head protection; one
stakeholder strings emergency lighting through the vessel in case of a
power outage; and another has a generator linked with permanent
lighting systems that transfers power in the event that a power outage
occurs (Ex. 168, p. 242).
    OSHA's intention in the proposed rule was to ensure that workers do
not enter unlighted areas or do not have to move about in dark spaces
if lights stop working. OSHA believes stakeholder recommendations that
employers be permitted to supply employees with other types of portable
lights, as well as handheld ones, will provide greater flexibility
while ensuring that workers are protected. Accordingly, the final rule
allows employers to use handheld lights as well as other types of
portable lights.
    Paragraph (c)(1) requires that employers provide, and ensure that
employees use, portable lights before they enter a dark area if that
area does not have permanent or temporary lights, if the lights do not
work, or if permanent or temporary lights are not readily accessible.
OSHA believes that workers are at great risk of harm when they enter
dark areas, especially on vessels. The IMIS database reports several
fatalities in shipyard employment in which workers fell to their deaths
in dark areas on vessels (72 FR 72452, 72459-60, Dec. 20, 2007).
    For purposes of paragraph (c)(1), the term "not readily
accessible" means that fixtures for turning on permanent or temporary
lights are not located at, or in close proximity to, the entrance to
the dark area. For example, when an employee would have to walk across
a dark work area or climb steps in the dark to turn on the lights, OSHA
would not consider such lights to be readily accessible. In such cases,
the employer would have to provide, and ensure that the employee uses,
a portable light to enter the area.
    OSHA does not believe that employers will have difficulty complying
with this requirement. Some stakeholders said it was "common
practice" to provide flashlights to workers (Ex. 114.1). Other
stakeholders commented that they already require that workers have
portable lights when they go below deck on vessels or enter any area
where they cannot see the walking surface (Exs. 116.2; 120.1).
    Paragraph (c)(2) requires employers to provide portable or
emergency lights for the safe movement of employees on a vessel or
vessel section when the only means of illumination comes from off-
vessel light sources. The proposed rule contained a similar
requirement. Like paragraph (c)(1), this provision is needed because
off-vessel lighting could fail, making it hazardous for employees to
move around or exit a dark area on the vessel or vessel section. If
off-vessel lights stop working when employees are working below deck on
a vessel, the workers could be injured or killed if they try to move
around or exit the space.
    Final paragraph (c)(2) changes the proposed rule in two respects.
First, the final rule allows employers to provide either emergency or
portable lights. The proposed rule would have required employers to
provide portable lights. OSHA is expanding the final rule because some
stakeholders said they use back-up generators that activate if off-
vessel lights go out (Ex. 168, p. 243).
    Second, the final rule deletes the proposed language requiring that
employers ensure that portable lights are available in "the immediate
work area." Some stakeholders questioned what the immediate work area
is when lights go out and asked OSHA to define the term in the final
rule (Ex. 168, p. 297). After reviewing the record, OSHA finds that
what constitutes an immediate work area on a vessel varies based on
factors such as the size of the vessel and its work areas, the number
of employees working on the vessel and in specific work areas, and the
type of portable or emergency lights being provided. OSHA believes
employers need to examine those factors to determine where portable and
emergency lights need to be located to ensure each employee is able to
move safely.
    Also implicit in paragraph (c)(2) is the requirement that employers
provide an adequate number of portable or emergency lights to ensure
that each employee is able to move about and exit the dark areas
safely. The factors employers use to determine where portable lights
need to be located are the same factors for determining the number of
portable or emergency lights necessary to ensure that each worker can
safely move about if the lights go out.
    A number of commenters, including Puget Sound Shipbuilders
Association, American Seafoods Company, Trident Seafoods Corporation,
and Bath Iron Works, also questioned whether OSHA was requiring each
worker to carry a flashlight or portable light at all times (Exs.
104.1; 105.1; 106.1; 107.1; 124). OSHA is not requiring that every
worker have a portable light when working on a vessel. For instance, if
a number of employees work in the same area on a vessel, one portable
light may be sufficient to allow them to move around safely and exit
the vessel. However, when an employee is working alone, especially in
an isolated area or confined space, the employer must ensure that the
worker has a portable or emergency light.
    OSHA does not believe that employers will have difficulty complying
with this provision. A number of stakeholders commented that they
already provide portable or emergency lights to employees working on
vessels so they can move safely if the lights go out (Exs. 99; 104.1;
107.1; 114.1; 116.2; 120.1).
    Some stakeholders said that they have other procedures they follow
when power outages occur on vessels, including having workers stay in
place in the dark area until lights are reenergized or someone comes
with portable or emergency lights (Exs. 119.1; 125; 168, pp. 242-43).
These stakeholders said their "stand fast" policies were safe and
adequate, and they should be allowed to continue those practices
instead of following paragraph (c)(2) (Exs. 119.1; 125). OSHA does not
consider such a practice, by itself, to be sufficient to ensure the
safety of workers. For example, it could take hours for lights to be
restored, making it difficult for workers to stand fast in dark areas.
In addition, if lights have gone off because a situation requires
workers to evacuate the vessel immediately, a stand-fast policy could
endanger not only the workers waiting in dark areas on the vessel, but
also any worker who comes with a light to help them exit the vessel.
    The American Shipbuilding Association requested an exception to
paragraph (c)(2) when natural sunlight provides sufficient illumination
(Ex. 117.1). OSHA's intention was to require that employers provide
portable or emergency lights to help workers exit dark areas if off-
vessel lights go out. If natural sunlight is sufficient to allow a
worker to move safely or exit the vessel, employers do not have to
provide portable or emergency lights. The Agency has included language
in paragraph (c)(2) clarifying this point.
Paragraph (d)--Explosion-Proof, Self-Contained Lights
    Paragraph (d) specifies what type of portable lights employers must
provide for use in areas that are not gas-free. The final rule, like
proposed paragraph (c)(3), requires employers to ensure that only
"explosion-proof, self-contained" portable lights or other electrical
equipment approved by a nationally recognized testing laboratory (NRTL)
are used. Existing provision Sec.  1915.92(e) also sets forth the same
requirements for lights in non-gas-free areas, but does so by
referencing Sec.  1915.13(b)(9). Both the proposal and the final rule
added the pertinent language from Sec.  1915.13(b)(9) to paragraph (d)
thus eliminating the need for employers to reference another standard.
    Several stakeholders requested OSHA to clarify that the provision
applies to areas with the potential for a flammable atmosphere (Exs.
112.1; 116.2; 120.1; 121.1; 198, pp. 87, 162). OSHA agrees that it is
important that employers clearly understand the types of atmospheres in
which explosion-proof, self-contained portable and temporary lights are
needed. Therefore, OSHA added language to paragraph (d) stating that
explosion-proof, self-contained lights are required in any area where
the atmosphere is determined to contain a concentration of flammable
vapors that are at or above 10 percent of the lower explosive limit, as
specified in part 1915, subparts B and C.

Section 1915.83--Utilities

    Section 1915.83 of the final rule addresses requirements to protect
workers from hazards associated with the unchecked release of steam or
electricity, excessive wear and tear of steam hoses that could
compromise their integrity, and burns and fires from unguarded heat
lamps.
Paragraph (a)--Steam Supply System
    Paragraph (a)(1) requires that employers ensure that the vessel's
steam piping system, including hoses, is designed to safely handle the
working pressure prior to supplying steam from an outside source to the
vessel. Paragraph (a)(1) revises the term "responsible vessel's
representative" in the existing provision (Sec.  1915.93(a)(1)) to
"responsible vessel's representative, contractor, or any other person
who is qualified by training, knowledge, or experience," and requires
this individual to determine whether the working pressure is safe.
    The proposed rule would have required employers to ensure that the
steam supply system has a safe working pressure, but did not carry
forward the existing requirement to ascertain that information from a
vessel's representative. Instead, the proposed rule would have given
employers flexibility in determining the most effective way to ensure
that the steam system's working pressure is safe before supplying steam
from an outside source.
    In the preamble to the proposal, OSHA explained that its intention
in proposing to revise the requirement for a vessel's representative
was to give employers greater flexibility in determining who they could
use to ascertain whether the working pressure was safe--for example, a
vessel's representative, contractor, or any other person qualified to
make such a determination (72 FR 72452, 72462, Dec. 20, 2007). Trident
Seafoods Corporation requested that OSHA make this point clear by
adding the preamble language to the final regulatory text (Exs. 104.1;
107.1; 198, p. 73). OSHA agrees with the commenter that including the
preamble language in the regulatory text will provide employers with
clear and useful information about the various qualified persons whom
they can use to comply with the requirement to ensure that the working
pressure of the steam system is safe. OSHA also believes that requiring
employers to ascertain from a qualified person whether the working
pressure is safe will enhance worker safety because it builds regular
safety checks into the process.
    Atlantic Marine expressed concerns that paragraph (a)(1) would
require employers to have written documentation that steam supply
systems have safe working pressure and that other requirements in
paragraph (a) have been met (Exs. 115.1; 118.1). OSHA does not intend
to require employers to document in writing that a qualified person has
determined that the working pressure of the steam supply system is safe.
Hence, the Agency has revised the language in paragraphs (a)(1) and (c)(3)
to clarify that employers do not have to maintain written documentation.
    Paragraph (a)(2) sets forth several requirements regarding relief
valves and pressure gauges for a steam supply connected to the vessel's
steam system. Several commenters asked OSHA to clarify in paragraph
(a)(2) whether "each steam supply system" is limited to those systems
connected to a vessel's steam piping system (Exs. 106.1; 115.1; 117.1;
118.1). OSHA intended that the requirements in paragraph (a)(2) apply
only to outside steam supply systems connected to the vessel's steam
piping system, and has added language to the final rule to clarify that
intention.
    Paragraph (a)(2) carries over a number of the requirements from the
existing rule. Paragraph (a)(2)(i) requires that both the pressure
gauge and relief valve be installed at the point where the steam pipe
or hose from an outside steam source joins a vessel's steam piping
system. Paragraph (a)(2)(ii) requires that the relief valves of outside
steam systems be set to relieve excess steam, and be capable of
relieving steam, at a pressure that does not exceed the safe working
pressure of the vessel's steam piping system in its present condition.
Paragraph (a)(2)(iii) requires that there be no means of inadvertently
disconnecting the relief valve from the system that it protects. OSHA
did not receive any comments on these provisions.
    Paragraph (a)(2)(iv) specifies that pressure gauges and relief
valves of steam supply systems be legible and located so that they are
visible and readily accessible. This additional language will address
SESAC's concerns that workers cannot read gauges and valves because
they are too dirty or the print is too small (Docket SESAC 1992-2, Ex.
102X, pp. 94-96). OSHA believes that illegible pressure gauges can be
hazardous. Employees working in or walking through the area need to be
able to readily identify whether pressure is increasing to a hazardous
level or continues to be at a safe level. Therefore, OSHA has retained
the proposed requirement that pressure gauges be visible, accessible,
and legible to allow employers and employees to determine accurately
whether the working pressure of the steam supply system is safe.
    Paragraph (a)(2)(v) requires that relief valves be positioned so
they will not be likely to cause injury if steam is released. The
proposed rule (paragraph (a)(5)) would have required that relief valves
be "located or positioned" where workers would not be injured if
steam were released.
    One commenter suggested that the provision in proposed paragraph
(a)(5) (paragraph (a)(2)(i) of the final rule), requiring pressure
gauges and relief valves to be installed at the connection point
between the outside steam hose and the vessel's steam piping system,
would not work. Sound Testing, Inc., stated:

    The requirement of having a relief valve installed right next to
the pressure gauge might endanger the worker each time he or she
approaches to check the pressure. If the pressure were too high, and
the pressure relief valve ruptured just as the worker was reading
the gauge, the superheated steam would burn his or her face
instantly. The pressure gauge and the relief valve should be located
at least 15 to 20 feet apart (Ex. 121.1).

    OSHA believes it is the positioning of the relief valve that
protects workers against injury if steam is released. For example, the
relief valve should not be positioned so that, if an employee is
walking by and the steam is released, the employee would be injured.
Therefore, in the final rule OSHA requires the employer to position the
relief valve so that it is not likely to cause injury if steam is
released, regardless of where the valve is located.
Paragraph (b)--Steam Hoses
    Paragraph (b)(1) requires that employers ensure that steam hoses
and their fittings are used in accordance with manufacturers'
specifications. The proposed rule (proposed paragraph (b)(1)), similar
to the existing standard (Sec.  1915.93(a)(2)), would have required
that the employer ensure that all steam hoses and fittings have a
safety factor of at least five.
    Northrop Grumman Shipbuilding--Newport News and Alaska Ship and
Drydock opposed the proposed requirement and recommended that OSHA
specify that steam hoses and their fittings be used in accordance with
manufacturers' specifications (Exs. 116.1; 120.1). They pointed out
that manufacturers use a safety factor of 4, not the 5 as OSHA
proposed. Northrop Grumman added that there are issues in addition to
safety factors that are important in ensuring that steam hoses and
fittings are safe. For example, manufacturers also specify the
temperatures, in addition to pressure ratings, that must not be
exceeded (Exs. 116.1; 120.1).
    Kim Hodne, of Alaska Ship and Drydock, testified that his company
contacted vendors and found that steam hoses for feed lines with a
safety factor of 5 do not exist, and that all of the hoses his facility
uses are rated at 250 psi (Ex. 198, pp. 111-112).
    In light of these comments, OSHA has modified final paragraph
(b)(1) to require that steam hoses and their fittings be used in
accordance with manufacturers' specifications. The change gives
employers flexibility, and ensures that steam hoses meet all critical
specifications necessary to protect employees from injury.
    Paragraph (b)(2) requires that employers hang steam hoses tightly
with short bights to prevent chafing and to reduce tension on the hose
and its fittings. The proposed rule contained an identical requirement.
    Commenters requested that OSHA define the term "short bight"
(Exs. 129.1; 132.2). For example, the U.S. Navy recommended defining
the term to mean "when a steam hose is hung in a bight or bights, the
weight shall be received by appropriate lines that are spaced not to
exceed eight feet maximum along the entire run" (Ex. 132.2). In
response, OSHA defined "short bight" in the final rule (Sec.
1915.80(b)) as a loop made in a line or rope that is used to tie back
or fasten hoses, piping, wiring, or fittings. OSHA did not adopt the
Navy's recommendation that bights not be spaced further than eight feet
apart along the entire run (Ex. 132.2). In this regard, OSHA believes
that the performance-based requirement in paragraph (b) adequately
ensures that bights will be placed so they "prevent chafing and reduce
tension," while giving employers flexibility in determining how best
to space the bights so they prevent damage to hoses. Moreover, the Navy
did not provide any information or explanation demonstrating that a
maximum distance of eight feet between bights was appropriate and would
adequately protect hoses on vessels.
    Paragraph (b)(3) requires that steam hoses be protected from
damage. The proposed rule contained an identical provision. OSHA
believes that preventing damage to steam hoses is necessary to protect
employees working or walking near steam hoses. In walking and work
areas, steam hoses can be damaged when equipment and materials are
moved or operated nearby. Employees could be seriously injured if a
damaged hose suddenly releases steam. Stakeholders did not submit
comments on the proposed provision.
    Paragraph (b)(4) requires that employers shield steam hoses and
temporary steam piping, including metal fittings and couplings
(hereafter collectively referred to as "hoses"), if they pass through
walkways or work areas. OSHA believes that shielding hoses is necessary
to protect workers from accidentally contacting hot elements and getting
burned. The proposed rule (proposed Sec.  1915.83(a)(4)) contained a
similar requirement that would have updated the existing rule, which
only required that hoses be shielded if they passed through "normal work
areas," but did not require shielding for hoses passing through other
work areas or walkways.
    Several commenters opposed the shielding provision and suggested
various revisions (Exs. 106.1; 116.1; 117.1; 120.1). For instance, Bath
Iron Works opposed the requirement because vessels contain thousands of
feet of steam hoses and "installing shielding the entire run isn't
practical" (Ex. 106.1). They also said shielding was "not a good
practice" because it would compromise the physical integrity of the
hoses, which "tend to become brittle when they are not allowed to
breathe" (Ex. 106.1).
    OSHA does not find that either of these arguments supports deleting
or revising paragraph (b)(4) (proposed Sec.  1915.83(a)(2)(iv)). First,
although OSHA agrees that vessels contain thousands of feet of steam
hoses, not all of them pass through walkways or work areas. In fact,
Bath Iron Works said they try to re-route hoses so they will not be in
walkways or work areas (Ex. 106.1). As such, only a portion of the
hose, not the entire run, will need to be shielded. Second, the final
rule gives employers flexibility in determining what types of shielding
to use or install. The only requirement is that the shielding protects
workers from contacting hot steam hoses. Employers are free to select
shielding that protects against contact while still allowing the hoses
to "breathe."
    American Shipbuilding Association (ASA) said OSHA should revise
paragraph (b)(4) to allow shipyards to re-route hoses as an alternative
to shielding them (Ex. 117.1). Paragraph (b)(4) does not prohibit
employers from protecting workers from contact with hoses by re-routing
the hoses and piping so they do not pass through walkways or work
areas. The intention of paragraph (b)(4) is to prevent workers from
getting burned by accidentally contacting hot steam hoses. Paragraph
(b)(4) gives employers flexibility in determining how best to meet the
requirement. If employers elect to re-route hoses so they do not pass
through walkways or working areas, the requirement will be met, and
workers will not come into contact with hot steam hoses. In this
instance, the hoses will not pass through walkways or working areas,
and employers will not be required to shield them. Accordingly, since
ASA's recommended method of preventing contact with steam hoses is
permitted under paragraph (b)(4), there is no need to revise the
provision.
    Paragraph (b)(4) also would allow employers to comply by re-routing
walkways and work areas away from the hoses. Once again, if workers do
not pass through or work in areas where steam hoses are present,
paragraph (b)(4) would not require employers to shield those hoses. To
ensure that employees are fully protected from accidental contact with
hot steam hoses, employers could block or cordon off areas where
unshielded steam hoses are present, post appropriate warning signs, or
instruct workers that they are prohibited from entering the blocked-off
areas.
    Some commenters recommended that OSHA limit the requirement for
shielding hoses to those areas where "contact is likely" (Exs. 106.1;
117.1; 168, pp. 299-300). The commenters do not contend, or explain why
this recommendation would increase protection of workers. OSHA
believes, to the contrary, that this recommendation may increase the
risk of injury to workers from contact with hot elements. Limiting
shielding to areas where contact with hoses is likely may leave workers
unprotected if the employer does not shield hoses when changes in work
or the workplace occur. For example, if a walkway needs to be used as a
temporary work space and the walkway must be reconfigured or re-routed,
workers could be at risk of injury if the hoses and piping in the
temporary walkway are not shielded. In addition, determining whether
and when "contact is likely" adds complexity and ambiguity to the
provision. By contrast, the requirement to shield hoses that pass
through walkways or work areas is clear and unambiguous. In conclusion,
OSHA believes the requirement in paragraph (b)(4) is necessary because
the potential for worker injury from contact with hot steam hoses is
great, especially in light of the number of tight and confined areas on
vessels (Ex. 116.1).
    Finally, some stakeholders recommended that OSHA also require
"metal fittings and couplings" on steam hoses to be shielded (Exs.
106.1; 117.1; 168, pp. 300-301). ASA said that metal couplings are "a
much more serious burn hazard" than steam hoses or piping (Ex. 117.1).
Bath Iron Works added that "the temperature on a coupling is somewhere
between 210 to 230 degrees, which is very, very hot versus the outer
shielding [of hoses], which * * * is roughly 120 to 150 degrees" (Ex.
168, p. 300). As mentioned, Bath Iron Works tries to re-route steam
hoses to prevent workers from getting burned by metal parts (Ex.
106.1). OSHA intended that paragraph (b)(4) carry over the existing
shielding requirement for steam hoses and piping systems, which OSHA
has interpreted to include the fittings and coupling for those systems.
However, to clarify paragraph (b)(4), OSHA added "metal fittings and
couplings" to those items that employers must shield if they pass
through walking or working areas.
Paragraph (c)--Electric Shore Power
    Paragraph (c) addresses precautions employers must take prior to
energizing a vessel's circuits when electricity is supplied from a
landside power source. The required actions will protect employees from
the hazards of remote power carried by electric cables or wires onto a
vessel, which differ from other electrical hazards such as the hazards
associated with hand-held powered tools.
    Paragraph (c)(1) requires employers to ensure that vessels are
grounded prior to energizing any of the vessel's circuits. The proposed
and existing rules would have required that vessels be grounded only
when in dry dock, which is a standard practice in shipyards. However,
OSHA believes that a vessel should be grounded whether or not it is in
dry dock, such as when the vessel is on a marine railway or pierside.
OSHA did not receive any comments on the proposed rule. The language in
the final rule simply clarifies that a vessel should always be grounded
prior to energizing its circuits.
    Paragraph (c)(2) requires that, prior to energizing any vessel
circuit, employers equip the circuit to be energized with over-current
protection that does not exceed the rated current-carrying capacity of
the conductors. Proposed Sec.  1915.83(c)(3) and existing Sec.
1915.93(b)(1)(iii) contain the same requirement, which also is standard
practice in shipyards. OSHA notes that the existing rule requires that
the over-current protection not exceed the rated current-carrying
capacity of the "cord." In the proposed and final rules, OSHA changed
"cord" to "conductors" to make the provision more inclusive and
protective. Conductors include connections in addition to cords. OSHA
did not receive any comments on the proposed provision.
    Paragraph (c)(3) requires employers to ensure that vessel circuits
are in a safe condition prior to energizing any circuit with landside
power. Employers must obtain a determination that vessel circuits are
in a safe condition from a responsible vessel's representative, a contractor,
or any other person qualified by training, knowledge, or experience to make
that determination. Paragraph (c)(3) expands the flexibility of the existing
rule, which requires that employers ascertain that circuits are in safe
condition from "responsible vessel's representatives" (existing Sec.
1915.93(b)(1)(ii)).
    To make the requirement more flexible, OSHA proposed to eliminate
the existing requirement in Sec.  1915.93(b)(1)(ii) that employers
consult with a person qualified to determine that vessel circuits are
in safe condition (proposed Sec.  1915.83(c)(3)). In the preamble to
the proposed rule, OSHA explained that eliminating the existing
requirement to ascertain the information from vessel's representatives
would allow employers to obtain the information from other persons who
were qualified to make a determination about the condition of vessel
circuits (72 FR 72452, 72462, Dec. 20, 2007). Commenters requested that
OSHA make its purpose clear in the text of the final rule (Exs. 104.1;
107.1); therefore, OSHA included the preamble language in the final
rule.
    Several commenters, including Lake Union Drydock Company, Puget
Sound Shipbuilders Association, and Dakota Creek Industries, said that
the proposed requirement was too vague and appeared to require that all
junction boxes and panels on each vessel be covered before providing
shore power (Exs. 101.1; 124; 126; 128; 130.1). OSHA believes that the
proposed and final requirement is clear--only circuits "to be
energized" need to be checked to determine whether they are in a safe
condition. Therefore, if shore power will be supplied to only a portion
of the vessel, the final rule requires employers to ascertain that only
the circuits affected by the energization are in a safe condition. A
good safety practice would be to check the wires and connectors on the
vessel to ensure that they are not damaged before providing landside
power to the vessel. Since landside power has high amperage, energizing
wires and connectors that are damaged could cause an explosion or
electric arc that could electrocute or burn workers on the vessel.
Paragraph (d)--Heat lamps
    Paragraph (d), as did the proposed rule, requires that employers
ensure that heat lamps, including the face, be equipped with surround-
type guards to prevent contact with the lamp and bulb. Heat lamps
present risks of burns and fire if employees or combustible materials
come into contact with the hot elements and surfaces. Fires are a
hazard in shipyard employment, especially onboard vessels. Accordingly,
paragraph (d), as did the proposed rule, expanded the existing rule in
two ways. First, paragraph (d) applies to all heat lamps used in
shipyard employment. The existing rule only applied to "infrared
electrical heat lamps" (Sec.  1915.93(c)) even though other types of
heat lamps also are used in shipyard employment. The revision ensures
that these contact hazards are addressed so employees are fully
protected from being burned by accidental contact, and the risk of
igniting combustible materials is reduced.
    Second, paragraph (d) requires that the entire heat lamp, including
the face, be guarded to prevent contact with hot surfaces of the heat
lamp. The existing rule did not require that the face be guarded. The
face of heat lamps, as with other parts of heat lamps, can become
extremely hot. Contacting the lamp face can burn workers and ignite
combustible materials. Guarding the face of the lamp will control these
hazards. OSHA did not receive any comments on the proposed requirement,
including the language expanding the existing provision to make it more
protective.

Section 1915.84--Working Alone

    Section Sec.  1915.84 addresses the hazards associated with working
alone, such as in isolated or confined spaces. As discussed in the
preamble of the proposed rule, between 1987-2002 there were 13
fatalities reported in the OSHA IMIS system involving employees working
alone and not discovered until after they had died from their injuries
(72 FR 72452, 72463, Dec. 20, 2007). The purpose of Sec.  1915.84 is to
ensure that employers account for employees working alone, thereby
enhancing the safety of these employees. However, if an injury occurs,
OSHA believes the requirements in Sec.  1915.84 will reduce the
severity of the injury and increase survivability because the
requirements will ensure rapid detection and treatment of the injury.
    OSHA revised the scope of the final rule to focus on the hazards
associated with an employee working alone in an area where others
cannot see or hear if the employee is safe or needs assistance. The
proposed and existing rules (existing Sec.  1915.94) cover: (1)
Employees working in confined spaces, and (2) employees working alone
in isolated spaces.
    A number of commenters said the rule should only cover employees
working alone, while others said the rule should not apply to confined
spaces (Exs. 106.1; 115.1; 117.1; 118.1; 132.2; 198, p. 73). With
regard to confined spaces, some commenters said the rule was not
necessary because they rarely assigned employees to work alone in
confined spaces (Exs. 115.1; 118.1; p. 168, pp. 81-84). Other
commenters said they use a "buddy system" to ensure that workers are
constantly monitored and provided with immediate assistance if an
injury or other problem occurs. The U.S. Navy also said the confined
space requirements in Sec.  1915.84 were not needed because 29 CFR
1915, subpart B, Confined and Enclosed Spaces and Other Dangerous
Atmospheres, adequately addresses the same hazards (Ex. 132.2).
    Electric Boat Corporation added that the requirements in Sec.
1915.84 pertaining to confined spaces should be moved to subpart B (Ex.
108.2). They stated, "This confined space requirement [in Sec.
1915.84] is often overlooked in its current location and moving it to
subpart B would consolidate the maritime confined space regulations in
one area" (Ex. 108.2). On the other hand, Bath Iron Works said that
the requirements in Sec.  1915.84 "have been known to reside in the
General Working Conditions section," and, therefore, there was no need
to address them in subpart B (Ex. 106.1).
    Subpart B addresses work conducted in dangerous atmospheres and in
spaces that are confined and enclosed, regardless of the number of
employees entering and conducting work in those areas (Sec.
1915.11(a)). Its primary purpose is to protect workers from atmospheric
hazards associated with confined spaces and dangerous atmospheres,
including exposure to atmospheric hazards such as toxic or oxygen-
deficient atmospheres. Subpart B is narrower in scope and more specific
regarding the hazards it addresses than Sec.  1915.84. By contrast, the
confined space hazards that Sec.  1915.84 addressed in the proposal,
and now in this final, are broader than the hazards addressed by
subpart B. Section 1915.84 covers the hazards of employees working
alone in confined spaces, regardless of whether atmospheric hazards are
present. To ensure that an employee working alone is protected against
all of the hazards associated with confined spaces, OSHA believes it is
necessary to retain coverage of the confined spaces provisions in Sec.
1915.84.
    That said, OSHA agrees with stakeholders that the primary focus of
Sec.  1915.84 is to address the hazards of employees becoming injured
or ill working alone in areas where others cannot see or hear them,
such as in a confined space or isolated location.

Because of this danger, some stakeholders said they use a "buddy
system" for work in confined spaces, which involves assigning two
workers for the confined space task--one employee who works in the
confined space and the another worker who remains outside the confined
space and maintains constant communication with the employee inside the
space. Using buddy systems, which some stakeholders refer to as "tank
watchers" or "hole watchers," serves to emphasize the need to
monitor an employee who is in a confined or isolated space and is
working alone as specified by Sec.  1915.84 (Exs. 108.1; 202.1).
Accordingly, OSHA notes that the buddy system described above is an
effective and reliable method employers can use to meet the
requirements of Sec.  1915.84. OSHA does not believe employers in
shipyard employment should have trouble complying with this requirement
because many already use this method to monitor employees working alone
in confined or isolated spaces (Exs. 108.1; 202.1).
    Northrop Grumman Shipbuilding--Newport News said the focus of Sec.
1915.84 should be on work in isolated or confined spaces on vessels and
should not apply to landside facilities and office areas. They added
that working in isolated and confined spaces at landside locations
"do[es] not present the same risk as shipboard work" (Ex. 116.1).
OSHA's existing rule at Sec.  1915.94, which has been in place since
1972, applies to isolated and confined spaces both on vessels and
landside. OSHA believes it is necessary for the final rule to apply
wherever the hazards of working alone in isolated or confined spaces
may occur. OSHA's IMIS data includes reports of many fatalities
involving employees working alone in isolated landside locations (Ex.
69). Employees working alone in isolated work locations, whether they
are on the end of a distant pier or working in the hold of a vessel,
may not be able to summon help if they are injured. In both cases,
these workers are at risk of harm if they are not accounted for during,
and at the end of the workshift or job. Therefore, the final rule
continues to apply to employees working alone, including working in
isolated or confined spaces landside or on vessels.
    A number of commenters said the rule was not clear about what
constitutes an "isolated location," and asked OSHA to define and give
examples of the term in the final rule (Exs. 101.1; 105.2; 114.1;
115.1; 118.1; 124; 126; 128; 130.1; 198, p. 73). To address
stakeholders' concerns, in Sec.  1915.80(b) OSHA defined "isolated
location" as "an area in which employees are working alone or with
little assistance from others due to the type, time, or location of
their work. Such locations include remote locations or other work areas
where employees are not in close proximity to others." The following
examples describe work that OSHA considers to be in isolated locations:
A lone oiler checking a forward bilge on a vessel; an employee working
alone "below deck" or "in the bowels of the ship"; and an employee
working alone in a side or ballast tank (Exs. 168, pp. 102-103).
    Section Sec.  1915.84 retains the language in the existing rule
specifying that the provision does not apply to Sec.  1915.51(c)(3).
Section 1915.51(c)(3), which addresses welding, cutting, or heating in
a confined space when sufficient ventilation cannot be maintained
without blocking its means of access, requires that an employee be
stationed outside the confined space to maintain communication with the
employee inside the confined space to provide aid in an emergency. OSHA
believes that the serious hazards that such working conditions present
warrant the specific requirements in Sec.  1915.51(c)(3). OSHA did not
receive any comments on the exception.
Paragraph (a)
    Paragraph (a) requires that employers account for each employee
working alone (1) at regular intervals throughout the workshift, and
(2) at the end of the job assignment or at the end of the workshift,
whichever occurs first. The proposed rule would have required that
employees be "checked frequently." In the final rule, OSHA replaced
this term with the term "account for" because OSHA believes that
employers may misinterpret checking employees frequently as limiting
them only to a visual check. In this regard, OSHA added new language to
the final rule that allows employers to account for each employee
working alone either by a visual check or through verbal communication.
Therefore, OSHA used the term "account for" in this provision of the
final rule, which it believes will avoid misinterpretation by more
accurately describing the additional means available to employers for
monitoring these employees than the term "checked frequently" does.
    Paragraph (a)(1) requires that employers account for employees
working alone, such as in a confined space or at an isolated location,
throughout the workshift at "regular intervals appropriate to the job
assignment" to ensure the employees' safety and health. Proposed
paragraph (a) would have required that employers check on employees
"frequently during each workshift."
    A number of stakeholders stressed the importance of checking
throughout the workshift on employees working alone (Exs. 114.1; 115.1;
118.1; 125). Other commenters said the requirement to "frequently"
monitor employees was too subjective (Exs. 101.1; 124; 126; 128; 198,
pp. 73, 99-100; 199, pp. 137-38). Sound Testing, Inc., commented:

    How often is 'frequently'? How often should we check during each
work shift? Is the inspection of the confined or isolated spaces
performed each work shift or each day by the Shipyard Competent
Person 'frequently' enough? (Ex. 121.1).

    Some stakeholders said the requirement to frequently check
employees posed foreseeable enforcement difficulties stating: "[H]ow
do we convince an enforcement officer that we are conducting checks
frequently enough?" (Ex. 101.1; 124; 126; 128; 130.1), and "We'll be
required to convince an OSHA field inspector that our frequently is as
good as or better than his or her concept of frequently?" (Ex. 199,
pp. 137-38).
    Stakeholders also said the frequency with which they check on
employees working alone depends on various factors, including whether
the employee is working in a confined space or isolated location, the
type of isolated or confined space in which the employee is working,
and the type of work the employee is performing (Exs. 168, pp. 97-103,
303-306; 198, pp. 19-20). For example, Roy Martin, of the Shipbuilders
Council of America and Manitowoc Marine Group, testified:

    [I]f we are talking about general cargo holds and things of that
nature, they are checking on it at least on an hourly basis. If they
are in an area which is isolated, such as some of these older
vessels, in their side tanks and what have you, they will check on
them more frequently, within a 30-minute time frame (Ex. 168, pp.
97-98).

    When employees work alone in confined spaces, Bath Iron Works said
they may check on the employee as often as every 15 minutes (Ex. 168,
p. 305). John Killingworth of Dakota Creek Industries added, "In our
case we can pretty much check on employees four times a day, but in
confined spaces * * * the need is to be very diligent and perhaps more
frequently would be adequate" (Ex. 198, p. 100).
    Stakeholders' comments indicate that the proposed rule's approach
to the frequency of accounting for employees that are working alone may
not be the most protective approach. The stakeholders' comments and
discussion of their practices convince OSHA that requiring employers to
account for employees at intervals that are appropriate for the job being
performed provides better protection for employees. It ensures that
employers will consider all relevant factors in determining what frequency
is appropriate for specific jobs requiring employees to work alone, such
as in isolated or confined spaces. Accordingly, OSHA revised the final
rule so it requires employers to make an individualized, job-specific
determination as to what intervals or frequency of monitoring will be
adequate to ensure the safety and health of the employee working alone.
The factors discussed above will assist employers in making this
determination.
    OSHA believes that employers will not have difficulty complying
with the final rule. The existing rule already requires employers to
conduct frequent checks on employees working in confined spaces and
alone in isolated locations. Moreover, the record indicates that a
number of employers in shipyard employment already are performing job-
specific assessments for determining monitoring frequency (Exs. 114.1;
115.1; 118.1; 125; 168, pp. 97-98, 305; 198, p. 100).
    Paragraph (a)(2) requires that employers account for each employee
working alone at the end of a job assignment or at the end of the
workshift, whichever comes first. The proposed rule would have required
that employers account for each employee at the end of the workshift
(proposed Sec.  1915.84(b)).
    Several stakeholders commented that OSHA should revise Sec.
1915.84 to require employers to account for employees at the end of an
assignment (Exs. 114.1; 115.1; 118.1; 125; 168, p. 74). For example,
Shipbuilders Council of America said:

    Given the nature of this work, accounting for employees is an
extremely important procedure. * * * [W]ork in confined space
sometimes does not last the span of an entire workshift. * * *
Workers should be accounted for when they leave a confined space,
which may occur well before the end of a designated shift (Ex.
114.1).

Atlantic Marine Florida said, "[I]f employees are working alone, they
are assigned a supervisor, even if he/she is from another craft, to
report to when they complete their task and are no longer working
alone" (Ex. 115.1).
    Stakeholders' comments clearly demonstrate the safety and health
benefit of requiring employers to account for employees at the end of
any job assignment that involves working alone. This requirement
provides employers with timely information that employees working alone
are safe, as well as timely warning that they may be injured and need
assistance. Because end-of-assignment checks are common practice in
shipyard employment, OSHA believes that employers will comply readily
with this requirement.
    When job tasks extend beyond a workshift, paragraph (a)(2) requires
employers to check on employees who are working alone at the end of
such a workshift. In the preamble to the proposed rule, OSHA explained
that this provision would ensure that employers ascertain that each
employee working alone has returned safely. If this is not the case the
employer must take immediate action to locate the missing employee (72
FR 72452, 72463, Dec. 20, 2007). Review of shipyard employment fatality
data indicates that some employees working alone were not discovered
until long after their shifts ended and the time for effective medical
intervention had passed. Id. Requiring an end-of-workshift check if the
job assignment has not been completed will ensure that employees who
are assigned to work alone will not be unintentionally deserted at the
end of their workshift if they are injured and need help.
Paragraph (b)
    Final paragraph (b) adds the requirement that the employer account
for each employee by sight or verbal communication. Neither the
proposal nor the existing rule has such a requirement. Through comments
submitted and testimony heard, the Agency received information that
stressed the importance of communication methods used in accounting for
employees that are working alone, such as in a confined space or an
isolated location. Electric Boat stated that "a verbal response from a
worker inside a confined space to a person checking on them should be
an acceptable method to verify an employee's safety" (Ex. 108.2).
    In proposed Sec.  1915.84, OSHA requested information pertaining to
specific methods for checking on employees who are working alone. The
regulated community responded with many examples (Exs. 106.1; 108.2;
114.1; 115.1; 116.2; 117.1; 118.1; 119.1; 120.1; 129.1; 168, pp. 101-
103, 234-235, 304-305; 198, pp. 19-20, 50-51, 101-102, 114-115; 202.1).
Similar to other commenters, Electric Boat explained that at one of
their facilities, "tank monitors in combination with a radio type
system is used to monitor tank entrants" (Ex. 108.2). Both the tank
monitor and the entrant are issued hand-held radios, which the entrant
uses to not only notify the monitor that they entered the space, but to
respond to frequent checks at twenty-minute intervals. Similar to
Electric Boat, Atlantic Marine uses verbal radio communication to
verify the safety of its employees, or has employees physically climb
into the space to observe employees who are working alone (Exs. 115.1;
118.1). Manitowoc Marine Group explained that they use a combination of
verbal checks through radio communication, as well as visual checks
during muster held at the end of each job assignment or workshift (Ex.
168, pp. 98-100).
    Alternative methods of communication that have low reliability,
such as noise from power tools, whistles, or tapping on tank walls,
bulkheads, or decks, would not comply with paragraph (b). To
illustrate, if a supervisor accounting for an employee in a confined
space hears power-tool noise coming from the confined space, that noise
cannot be relied on to verify that the employee is safe. The tool noise
may indicate that the employee is safe or it might mean that the
employee is unconscious or injured, and the power tool is still
running. Hence, OSHA has determined that, when employers use verbal
communication to check on employees working alone, communication must
include both parties speaking.
    In the proposed rule, OSHA requested comment on whether the Agency
should add a provision to Sec.  1915.84 requiring employees to
establish a system of leaving a picture identification or other signal
(for example, a flag) outside the entrance of a confined space, to
indicate when an employee enters a confined space alone to perform work
(72 FR 72463-72464, Dec. 20, 2007). A few stakeholders have such a
system or support having one (Exs. 118.1; 129.1; 198, pp. 100-101).
However, the majority of stakeholders who commented on this issue did
not support adding that requirement to the final rule (Exs. 106.1;
114.1; 115.1; 116.1; 117.1; 120.1; 125; 132.2; 198, p. 101).
    Some stakeholders said a photo identification or signal system
would not be effective (Exs. 106.1; 108.1; 132.2). Electric Boat said
that "badges or picture identification left at the entrance [of a
confined space] may not be the best method due to their small size"
(Ex. 108.1). American Shipbuilding Association agreed, saying that when
"a single employee has to enter an isolated or confined space, there
is usually no one else there to notice a flag, picture, or signal
anyway, thus negating the purpose of such a requirement" (Ex. 117.1).
The Navy added that it believed frequent checks and proper supervision
are an adequate and a more practical solution than a picture identification
system (Ex. 132.2). John Killingsworth, of Dakota Creek Industries, raised
a similar objection stating: "Personally, as [a Shipyard Competent
Person], I'm going to tanks alone. It may be 20 [confined] spaces on a
vessel that I visit every single day. I'm not going to hang a tag at
every hatch as I go in and come out. That would be impractical" (Ex.
196, pp. 100-101).
    Northrop Grumman Shipbuilding--Newport News said it evaluated
whether to implement such a system but determined it was not desirable,
noting:

    Many spaces have multiple means of access and it is not feasible
or desirable to require an employee to use the same opening for
access and egress. In particular, in the event of an emergency,
employees are taught to use the closest means of safe egress. If
this is not the same access as their "identifiable flag", an
emergency responder may falsely believe someone is in the space and
be placed in danger looking for the individual. We have found the
combination of frequent checks and end of shift checks to be
adequate (Exs. 116.1; 120.1).

    After reviewing the record as a whole, OSHA decided not to require
employers to establish a picture or signal identification system at
entrances of confined and isolated spaces where employees are working
alone. Rather, the Agency concluded that employers must account for
each employee by either sight or verbal communication to ensure their
safety.
    Finally, OSHA reminds employers to ensure that, when employees
discover a non-responsive employee in a confined space or isolated
location, no one enters the area without taking appropriate precautions
in accordance with 29 CFR part 1915, subpart B and other applicable
existing OSHA standards. Paragraph (b) of the final rule requires that
employers must account for each employee by sight or verbal
communication, but safe entry practices set forth in other OSHA
standards, such as 29 CFR 1915, subpart B, still apply when employers
face an emergency rescue situation.

Section 1915.85--Vessel Radar and Communication Systems

    Section 1915.85 specifies requirements to protect employees working
on or near vessel radar and communication systems. If precautions are
not taken, these workers may be exposed to radiation (for example,
radio frequency radiation). They also may be electrocuted or struck by
the antennas or other components if the system activates, energizes, or
releases hazardous energy.
    The final rule, like the proposed provisions, expands the scope of
the existing rule, which solely addressed radiation hazards, to cover
both radiation and other energy hazards. OSHA believes this change is
necessary to ensure that employees are protected from other serious
hazards associated with operating and servicing radar and communication
systems. For example, employees working aloft on a system's antenna
could be injured or killed if the system activates and the antenna
moves, striking an employee and causing the employee to fall.
    The proposed rule referred to radars and radio transmitters. For
example, proposed paragraph (a) requires the employer to "secure each
radar and radio transmitter so it is incapable of energizing or
emitting radiation before any employee begins to work on it." Some
stakeholders commented that the terms "radar" and "radio
transmitter" were not clearly explained (Exs. 101.1; 121.1; 124; 126;
128; 130.1). For example, Philip Dovinh of Sound Testing, Inc. said:

    Are the little two-way handheld radios, CB radios, or heavy duty
radars and sonar equipment capable of transmitting and receiving
communication signals, such as those installed on large [fish
processing vessels], container vessels, Navy and [U.S. Coast Guard]
vessels all applicable under the requirements of this section? (Ex.
121.1).

    American Seafoods Company and Northrop Grumman--Newport News were
unclear whether proposed Sec.  1915.85 also applied to hazards
associated with sonar (Exs. 105.1; 116.2). Northrop Grumman recommended
that Sec.  1915.85 should not apply to sonar because sonar and radar
are different technologies: "Sonar does not pose a radiation hazard.
Sonar repair and testing may involve electrical or acoustical hazards"
(Ex. 116.2; 120.1).
    In response to stakeholder comments, OSHA has revised the language
of Sec.  1915.85 to more clearly indicate that this section addresses
the radiation, electrical, and struck-by hazards associated with
operating and servicing radar and communication systems. It is these
system components, particularly antennas and transmitters, that emit
radiation, may electrocute employees, or may move and strike employees
working on or near them. However, if these components cannot emit
radiation at levels that could injure workers in the vicinity, or
cannot electrocute or strike workers if the system suddenly activates,
the requirements of Sec.  1915.85 would not apply. In addition, this
section does not apply to sonar. OSHA agrees that the hazards
associated with sonar are not the same as hazards associated with radar
and communication systems.
    Although the scope of Sec.  1915.85 covers shipbreaking operations,
OSHA notes that it is unlikely that radar and communication systems
would be operational when workers perform shipbreaking operations. If
the hazards associated with radar and communication systems are not
present in these operations, then Sec.  1915.85 does not apply.
However, to the extent that radiation hazards or hazardous energy are
present in shipbreaking operations, the employer must protect workers
from the risk of injury.
Paragraph (a)
    Paragraph (a) requires that employers service vessel radar and
communication systems in accordance with the requirements of 29 CFR
1915.89, the lockout/tags-plus standard for shipyard employment. Under
final Sec.  1915.89, employers must implement a lockout/tags-plus
program for all servicing operations when machinery, equipment, or
systems could activate. Such a program requires the use of lockout/
tagout applications; implementation of procedures for the safe
servicing of machinery, equipment, and systems; and employer training
of employees. In addition, final Sec.  1915.89(a)(3) specifies that,
when other standards in part 1915, and applicable standards in part
1910, require the use of a lock or tag to protect workers from the risk
of equipment activation or energization, employers are required to
supplement such protections with the procedural and training
requirements in final Sec.  1915.89.
    The proposed rule contained the same requirement (proposed Sec.
1915.85(b)). The existing rule, on the other hand, only required that
employers put tags on radar and communication-system components prior
to starting work. OSHA believes that requiring compliance with the
procedural and training requirements of final Sec.  1915.89 will
provide greater protection for workers than the existing rule. It will
require employers to use energy-isolating measures that provide a
physical barrier to the hazards of equipment activation and also will
ensure that all employees involved in the servicing operations follow
consistent and uniform procedures in all servicing operations. As OSHA
said in the preamble to the proposed rule:

    [M]ore detailed [control of hazardous energy] procedures are
needed to ensure that employees are fully protected from the
movement or start up of equipment and the release of hazardous energy.
Tagging the equipment without complying with the rest of the proposed
[control of hazardous energy] program and procedures does not ensure
that employees will be fully protected, especially those working in
multi-employer worksites or in situations where ship's crew are present
(72 FR 72452, 72464, Dec. 20, 2007).

    OSHA simplified the language in paragraph (a) by using the term
"servicing" in place of the proposed language (for example,
"servicing, repairing, or testing"). OSHA made the same revision in
final Sec.  1915.89(a). As discussed in the summary and explanation of
final Sec.  1915.80(b), OSHA defines "servicing" to include a variety
of activities including testing and repairing machinery, equipment, or
systems, that may expose employees to the risk of injury from the
startup, energization, or the release of hazardous energy. OSHA
believes that using consistent language in Sec.  1915.85 and Sec.
1915.89 will make the provisions easier for employers to understand and
facilitate compliance.
Paragraph (b)
    Paragraph (b) requires employers to secure each radar and
communication system so it is incapable of energizing or emitting
radiation before an employee begins work:
     On or in the vicinity of the system (paragraph (b)(1));
     On or in the vicinity of a system equipped with a dummy
load (paragraph(b)(2)); or
     Aloft, such as on a mast or king post (paragraph (b)(3)).
    The proposed rule (paragraph (a)) contained a similar requirement.
The existing rule is similar but only pertains to radiation hazards.
    Northrop Grumman Shipbuilding--Newport News recommended that OSHA
revise paragraph (b) to require that employers secure a system that is
equipped with a "dummy load" prior to beginning work on or near the
vicinity of the system's antenna (Exs. 116.2; 120.1). A dummy load is a
device used in place of an antenna to aid in testing radio
transmitters. It is substituted for the antenna that is being tested so
that the transmitter does not interfere with other radio transmitters
during the adjustments. The dummy load converts transmitted energy into
heat so that little to no energy radiates outward or reflects back to
its source during testing. Northrop Grumman explained:

    Certain radar systems are designed to redirect energy into a
dummy load in order to make adjustments to the system without
emitting to free space. This is a necessary step in the maintenance
of radar systems and this safety feature is built into the system to
allow it to be performed safely (Exs. 116.2; 120.1).

Although dummy loads are designed to minimize radiation emissions, they
still may emit some radiation. Therefore, OSHA agrees with Northrop
Grumman that employers also need to secure systems equipped with dummy
loads before employees begin work on or in the vicinity of these
systems.
Paragraph (c)
    Paragraph (c) requires that, when a vessel's radar or communication
system is operated, serviced, repaired, or tested, employers must
ensure that (1) no other work is in progress aloft, and (2) no employee
is closer to the system's antenna or transmitter than the
manufacturer's "minimum safe distance" for the type, model, and power
of the equipment. The proposed and existing rules both require that
employers schedule testing of radar and communication systems when no
work is in progress aloft or when personnel are cleared to a minimum
safe distance from the danger area, with employers following the
minimum safe distances established for the type, model, and power of
the equipment by the manufacturers of the equipment.
    One stakeholder implied that the term "minimum safe distance" is
vague and subject to misinterpretation. Philip Dovinh of Sound Testing,
Inc., said:

    Which safety parameters should be used in making the
determination of minimum safe distance? "Minimum safe distance" in
one operation may not be sufficient in another. Not only that,
applying "minimum safe distance" alone does not guarantee complete
worker safety (Ex. 121.1).

    Many stakeholders recommended that OSHA revise paragraph (c) to
require employers to follow the minimum safe distance established by
the manufacturer for the particular type, model, and power of the
vessel radar or radio-frequency-emitting system being operated or
serviced (Exs. 101.1; 104.1; 105.1; 107.1; 124; 126; 128; 130.1; 199,
p. 138). The Agency is persuaded that requiring employers to follow
manufacturer's specifications on safe distances will provide greater
protection for workers. The requirement will ensure that the safe
distance that must be maintained will be specific and designed for the
equipment installed. It also will guarantee that safe distances
represent current manufacturing practices. In addition, the requirement
establishes objective criteria, which should be easier for employers to
understand and follow.
Paragraph (d)
    OSHA is adding a new provision to Sec.  1915.85 that requires
employers to ensure that no worker enters an area designated hazardous
by the manufacturer's specifications while a radar or communication
system is capable of emitting radiation. OSHA added this provision in
response to stakeholder comments that language in proposed Sec.
1915.85 was unclear, ambiguous, and open-ended (Exs. 104.1; 105.1;
107.1; 121.1; 199, p. 138). For example, American Seafoods Company
commented: " 'Near' is a subjective term; it would be better to
specify that we follow the minimum safe working distance established by
the manufacturer for the particular type, model and power of the
equipment being worked on as is done in paragraph (c)" (Ex. 105.1).
    Other stakeholders made a similar recommendation (Exs. 101.1;
104.1; 120.1; 124; 126; 128; 130.1). For the reasons specified above in
the discussion of paragraph (c) of this section, OSHA believes that
requiring employers to keep all employees outside the area designated
as hazardous by the manufacturer's specifications until the systems are
rendered incapable of emitting radiation will enhance worker
protection.
Paragraph (e)
    OSHA added a new paragraph (e) to the final rule to clarify that
the requirements of this section do not apply when a radar or
communication system is incapable of emitting radiation at levels that
could injure workers in the vicinity of the system, or when the radar
or communication system is incapable of energizing in a manner that
could injure employees working on or in the vicinity of the system.
This paragraph responds to comments noting that some small
communication systems, such as two-way handheld radios or CB radios,
may not expose employees to the hazards this section addresses (Ex.
121.1). This provision also makes clear that employers need not comply
with this section when radar systems are inoperative, such as radar
systems aboard vessels being dismantled, as discussed above.
Section 1915.86--Lifeboats

Paragraph (a)

    Paragraph (a) requires the employer to ensure that, before
employees work in or on a stowed or suspended lifeboat, the lifeboat is
secured independently of the releasing gear to prevent it from falling
or capsizing. Securing the lifeboat in such a manner will prevent
it from falling if the releasing gear is accidentally tripped or the
davits move. It also prevents lifeboats that are stowed on chocks from
capsizing. The proposed and existing rules contained the same
requirement, and OSHA did not receive any comments on the proposal.
Paragraph (b)
    Paragraph (b) requires that employers prohibit employees from being
inside a lifeboat while it is hoisted or lowered. The final rule also
adds two exceptions to the prohibition. Employees may be in a lifeboat
that is being hoisted or lowered (1) when the employer demonstrates
that it is necessary to conduct operational tests or drills over water,
or (2) in the event of an emergency. Proposed paragraph (b) did not
include any exceptions to the prohibition against employees being in a
lifeboat while it is being hoisted. The existing rule at Sec.
1915.96(b) only prohibits employees from being in lifeboats when they
are hoisted into the "final stowed position," which allows employees
to be in lifeboats while they conduct sea trials and drills over water.
    Many commenters, including Trident Seafoods Corporation, American
Seafoods Company, Northrop Grumman--Newport News, Lake Union Drydock
Company, and Sound Testing, Inc., said that the complete prohibition in
proposed paragraph (b) was impractical because there may be times when
workers need to perform tasks in a lifeboat while it is being hoisted
or lowered. For example, stakeholders said employees may need to be in
lifeboats during sea trials and drills over water, particularly when
the hoisting and lowering mechanism is inside the lifeboat, and during
emergencies (Exs. 101.1; 104.1; 105.1; 107.1; 116.2; 120.1; 121.1; 124;
126; 128; 130.1; 199, pp. 274-275).
    OSHA believes that there is an inherent danger in allowing
employees to be in lifeboats when they are hoisted or lowered, and not
just when they are hoisted into the final stowed position. As noted in
the preamble to the proposal, several fatalities and serious injuries
occurred when employees were working in lifeboats (72 FR 72452, 72464,
Dec. 20, 2007). That said, the Agency recognizes that there may be some
limited situations when employees need to be inside lifeboats as they
are raised or lowered. However, OSHA believes that any exceptions to
the prohibition must be specific and narrow. Therefore, the final rule
provides an exception, but only for the limited situations of
conducting operational tests or drills over water or in the event of an
emergency.
Paragraph (c)
    Paragraph (c) requires that employers prohibit employees from
working on the outboard side of any lifeboat that is stowed on its
chocks unless the lifeboat is secured to prevent it from swinging. As
noted in the preamble to the proposed standard, if the lifeboat is not
secured prior to employees working on its outboard side, the lifeboat
could swing out and strike an employee, causing the employee to fall
(72 FR 72452, 72464, Dec. 20, 2007). The proposed and existing rule
contained the same requirement, and OSHA did not receive any comments
on the proposal.

Section 1915.87--Medical Services and First Aid

    This section sets out requirements for medical services, first aid,
and lifesaving equipment. Shipyard employment involves many workplace
activities that are inherently dangerous, some of which take place on
moving vessels or outdoors during harsh weather conditions. The
potential for severe or even fatal injuries is supported by data of
actual injuries and fatalities, described in the preamble to the
proposal (72 FR 72452, 72453, Dec. 20, 2007). The provisions in this
section will ensure that workplace accidents are responded to in a
manner that mitigates the severity and increases survival from life-
threatening injuries/illnesses.
    The final rule combines, as necessary, the existing standards on
medical services and first aid that are applicable to shipyards (Sec.
1910.151 and current Sec.  1915.98). OSHA adopted both standards in
1971, pursuant to section 6(a) of the OSH Act, from the established
Federal occupational safety and health standards in effect at the time.
Medical services, first aid practices, and related supplies and
equipment have changed over the last four decades. Therefore, a
revision of the current standards was necessary. The provisions in
Sec.  1910.151 apply to shipyards to the extent that those provisions
address hazards and working conditions that this final rule does not
(see Ex. 81, OSHA's "Shipyard Employment 'Tool Bag' Directive").
Paragraph (a)--General Requirement
    Paragraph (a) requires employers to ensure that emergency medical
services and first aid for employees are readily accessible. The
purpose of this provision is twofold. First, it establishes uniform
criteria applicable to all of the first aid and medical services
specified in the section, ensuring that these services are available
and close enough to the injured/ill employee so that appropriate
intervention can be provided. Second, in the case of a serious or life-
threatening injury/illness, it requires employers to have steps in
place to ensure that additional emergency medical intervention is
readily accessible. The provision also addresses SESAC's concerns that
first aid providers be able to reach injured employees quickly enough
to render effective assistance.
    For this final rule, OSHA has included requirements for employers
to deliver first aid or medical services in the event of illnesses as
well as injuries. OSHA recognizes that first aid and medical services
may be required at a worksite to treat not just work-related injuries
but also acute illnesses that are often work-related, such as asthma
attacks, heart attacks, heat-related illnesses, or severe reactions to
contaminants or fumes.
    Uniform criteria for all first aid and medical services are
necessary because their components, primarily first aid providers and
first aid supplies, are interrelated. They both must be readily
accessible for intervention to be effective. It is not effective to
require that first aid kits be situated at every worksite without a
parallel requirement to have trained employees at the worksite who are
capable of using those supplies. Conversely, on-site trained first aid
providers cannot provide effective assistance if first aid supplies are
too far away to be accessed quickly. Thus, establishing uniform
criteria ensures that the components of first aid and medical services
are in place to provide effective intervention when needed. Uniform
provisions simplify the section and make understanding and compliance
easier for employers.
    With regard to the second purpose, the provision requires employers
to ensure that additional emergency medical services such as rescue
squads and ambulances are readily accessible. OSHA notes that some
shipyards, primarily larger ones such as Northrop Grumman
Shipbuilding--Newport News, Manitowoc Marine Group, and Bath Iron
Works, already have taken these steps by establishing their own on-site
medical clinics and ambulance or rescue squads (Exs. 116.2; 120.1; 168,
pp. 87-89, 258-261). This provision does not require shipyard employers
to have on-site clinics, ambulances or rescue squads, but it does
require employers to implement a system to ensure that emergency
medical services such as local rescue squads or ambulance services are
readily accessible when needed. The employer, in determining how to
meet the requirements of Sec.  1915.87, needs to factor in reasonably
foreseeable delays, such as railroad tracks that could be blocked when
rescue squads need to access injured/ill employees in the shipyard.
    Comments were received on proposed paragraph (a) requesting a
definition for "readily accessible" (Exs. 105.1; 115.1; 118.1; 121.1;
199, pp. 138, 263, 272). In response to those comments, and for
purposes of this section, "readily accessible" is defined in final
Sec.  1915.80(b)(23) as capable of being reached quickly enough to
ensure that medical services and first aid interventions are effective.
Whether originating in the shipyard or provided by an outside service,
medical services and first aid must be provided in a timeframe that
will ensure their effectiveness in treating an injured or ill employee.
Medical services that can be delivered quickly enough to the employee
to be effective would be considered readily accessible.
Paragraph (b)--Advice and Consultation
    Paragraph (b), which carries over the same language from the
proposal, requires employers to ensure that healthcare professionals
are readily available for advice and consultation to the employer on
matters of workplace health. Implicit in this provision is the
necessity for employers to fully understand what hazards are present in
their workplace. For example, employers must understand that some
materials that their employees work with may contain hazardous
components. Although material safety data sheets (MSDSs) provide the
employer with an abundance of health-related information on various
materials that employees may be working with, this provision ensures
that if the employer has any questions that cannot be answered by MSDSs
or similar resources, they will have a healthcare professional at their
disposal with whom to discuss specific workplace health issues. OSHA
received limited comments on this provision and is carrying the
provision forward in this final standard as proposed.
    American Seafoods Company requested a clear definition for
"healthcare professional" (Ex. 105.2). The Agency believes that the
definition of "healthcare professional" provided in the "Scope,
application, and definitions" section of this subpart (Sec.
1915.80(b)) clarifies whom employers should consult. As defined,
"healthcare professional" means a physician or other licensed
healthcare provider whose legally permitted scope of practice allows
the provider to independently provide, or be delegated the
responsibility to provide, some or all of the advice or consultation
this subpart requires. This definition includes doctors, nurses, nurse
practitioners, osteopaths, EMTs, or other health care providers whose
license, registration, or certification authorizes them to provide such
assistance and advice. A safety professional, unless he or she was also
a licensed healthcare provider, would not meet the criteria set forth
in this definition. The key to meeting this requirement is that the
healthcare professional must be readily available to provide advice and
consultation when needed.
    American Seafoods Company also questioned what kind of consultative
availability OSHA expects of the healthcare professional (Ex. 105.2).
Rather than impose prescriptive requirements on employers, this
provision allows employers to seek the information from the appropriate
source in a timely manner, given the circumstances. For instance, if an
employee complained about headaches and dizziness at the workplace
while working with a chemical compound, and the MSDS sheet for that
compound did not address the particular symptoms, the provision ensures
that the employer would have a readily available healthcare
professional to consult for additional advice.
    The employer should not wait until the need arises before beginning
the search for a healthcare professional. A facility that has an on-
site medical service staffed by a healthcare professional could consult
with that individual. Facilities that do not have on-site healthcare
providers may consult with local physicians who have knowledge of
workplace health issues, contact their insurance companies, or request
assistance from organizations such as medical schools or state
departments of health to locate a healthcare professional who is
familiar with workplace health hazards. The employer should acquaint
the healthcare professional with the particular conditions of the
workplace, including the size of the facility, the types of materials
employees are using, and potential health hazards that are present.
Paragraph (c)--First Aid Providers
    Paragraph (c) sets forth the requirements for the number and
availability of first aid providers; training; and certification.
    Paragraph (c)(1) requires an adequate number of employees trained
in first aid at each worksite on each workshift unless the employer
either (a) has an on-site clinic or infirmary that is staffed with
first aid providers during each shift, or (b) can demonstrate that
outside first aid providers can reach the worksite within five minutes
of a reported injury or illness.
    The final rule uses the word "worksite" rather than the proposed
term "work location." The Agency received many comments that the term
"work location" was vague and/or undefined (Exs. 101.1; 105.2; 114.1;
115.1; 118.1; 121.1; 124; 125; 126; 128; 130.1). In response to these
concerns, and to clarify the terms used in the final rule, OSHA has
adopted the term "worksite" and defined it to mean a general location
where one or more employees are performing work, such as a shipyard,
pier, barge, vessel or vessel section (Sec.  1915.80(b)(38)). The term
does not mean a single "work area," which is also defined in the
final rule and means a specific area such as a machine shop,
engineering space, or fabrication area where one or more employees are
performing job tasks. A shipyard may have hundreds of work areas, with
only one or a few employees working in any one of those areas. In this
final rule, a shipyard "worksite" refers to a group of work areas
that are in near proximity to each other. For instance, all of the work
areas in a small, concentrated shipyard may constitute a single
worksite, even though some areas may be located on a vessel and others
landside. By contrast, a large shipyard that has multiple piers, docks,
large vessels, and landside facilities that are spread across a wide
area would be considered to have multiple worksites. In these
shipyards, it is unlikely that a first aid provider located in one
worksite would be able to reach all worksites within the shipyard
quickly enough to provide effective intervention. Accordingly, OSHA
believes that each worksite must have an adequate number of first aid
providers to ensure that timely intervention is provided to injured/ill
employees working at a work area within that worksite. By comparison, a
single work area distantly located from other work areas may, of
necessity, be considered a worksite because first aid providers in
other work areas would not be able to reach the area quickly enough to
effectively aid an injured/ill employee.
    Several commenters questioned the meaning of "adequate number"
(Exs. 104.1; 105.1; 107.1; 115.1; 118.1; 125). As Trident Seafoods
stated, "The term 'adequate number' is subjective. What is adequate to
one group may not be to another" (Exs. 104.1; 107.1). In contrast,
another commenter, speaking about the word "adequate," stated: "I do
like the word adequate. It gives us a leeway of making some determination
of what we feel is right for our particular situation" (Ex. 198, p. 228).
    This final rule provides employers with guidance on how to make
that determination rather than prescriptively require them to follow a
formula. To that end, paragraph (c)(3), which was carried over
unchanged from proposed paragraph (c)(1), sets forth several objective
factors for employers to consider that should assist them in making a
determination of how many trained first aid providers would be needed
at their worksite. These factors are:
     The size and location of each shipyard worksite;
     The number of employees at each worksite;
     The hazards present at each worksite; and
     The distance of each worksite from hospitals, clinics, and
rescue squads.
    Employers applying these factors should bear in mind that accidents
involving electrical shock resulting in heart or breath stoppage must
be treated within a short time (optimally within three to five minutes)
to increase the chances of a positive outcome. To the extent that these
types of accident risks are present in shipyards, such as when
servicing electrical systems where there is a risk of electrical shock,
it is necessary to have first aid providers located at the worksite so
cardiopulmonary resuscitation (CPR) can be started quickly. Similarly,
when work tasks involve a risk of injury that could result in severe
bleeding, first aid must be quickly administered to maximize the
injured employee's survivability. OSHA believes that while the list of
factors provided in this provision of the regulatory text is not an
exhaustive one, it should assist employers in determining an adequate
number of first aid providers.
    The Agency received several comments from employers regarding the
number of employees trained in first aid. Roy Martin testified that
approximately 35 of 600 employees at the Manitowoc Marine Group are
trained in first aid (Ex. 168, p. 150). James Thornton testified that,
at the Northrop Grumman Shipbuilding--Newport News facility,
approximately 1,000 of 20,000 employees are trained to provide first
aid (Ex. 168, pp. 356-357). Kim Hodne from Alaska Ship and Drydock
testified that "probably 15 to 20 percent of our workforce is first
aid/CPR trained" (Ex. 198, p. 103). Doug Dixon of Pacific Fishermen
Shipyard and Electric, LLC, noted that his shipyard, which employs 50
to 70 union and 17 non-union workers, has 15 first aid providers (Exs.
168, pp. 162-163; 198, p. 232). OSHA does not mean for these numbers to
represent a preferred percentage of employees who should be trained in
first aid. Rather, these examples illustrate that, even under the
current Sec.  1915.98(a) rule requiring a single first aid provider,
shipyards have assessed their needs for first aid providers, and have
trained multiple employees accordingly.
    The final rule adds flexibility to proposed paragraph (c)(1), which
required employers simply to ensure that each work location and each
shift have an adequate number of employees qualified to render first
aid, including cardiopulmonary resuscitation (CPR). Paragraph (c)(1)(i)
permits the employer to have an on-site clinic or infirmary with first
aid providers during each workshift as an alternative to the
requirement to have an adequate number of employees trained in first
aid.
    Several large shipyards described their on-site medical facilities
and their capacity to deliver first aid and other medical services.
Bath Iron Works testified:

    We have an on-site physician that is there 40 hours a week along
with six nurses. We also have a physical therapy ward along with two
physical therapists on site. We have five emergency medical
technicians that are trained on site in the facility, and I have got
two on night shift and three on day shift. We have an ambulance on
site. We also have a fire department, we have 35 fire brigades,
employees that provide support if need be (Ex. 168, pp. 258-259).

Northrop Grumman Shipbuilding--Newport News stated that, in addition to
having first aid-trained employees:

    We operate an onsite medical clinic with licensed medical
practitioners, as well as a 24/7 emergency medical and fire response
organization equipped with ambulances and Advanced Cardiac
Lifesaving equipment (Ex. 116.2; 120.1).

    OSHA recognizes that this alternative to having an adequate number
of first aid-trained employees is, for the most part, practical only
for larger shipyards that have the physical space and budget to provide
an on-site clinic or infirmary. For smaller shipyards, or any shipyard
that does not have an on-site clinic or infirmary staffed by
individuals able to provide first aid, paragraph (c)(1)(ii) permits
employers to demonstrate that outside first aid providers can reach the
worksite within five minutes of a report of injury/illness. The
employer is also required to take appropriate steps to ascertain that
emergency medical services will be readily available if an injury/
illness occurs. These conditions are a shipyard employer's second
alternative to ensuring an adequate number of first aid-trained
employees.
    Several employers commented that they either rely solely on outside
emergency medical services or use a combination of first aid-trained
employees and outside emergency medical services. Fishing Vessel Owners
Marine Ways, Inc. testified:

    Yes, when we rely on 911, we have dock 1 [and] 2 and 3 is the
cement dock on the left, dock 4 is the one next to it on the left.
At the end of that dock is a fire department, and that's the
proximity of medical services for us, emergency medical services
(Ex. 198, p. 212).

    Petersburg Shipwrights, Inc., stated: "At least half of our staff
are trained in first aid [and] CPR" (Ex. 198, p. 212). This employer
also described an accident where they called in the local fire
department: "They were at the site within three minutes. A person with
a cell phone on the dock called immediately. * * * He's fine. He's
pretty well stitched up * * * He's got a nice little slice on his neck
from a grinder" (Ex. 198, p. 213).
    The proposed rule did not require arrival of first aid services
within a set timeframe. However, the proposal discussed the types of
severe injuries, such as electrical shock resulting in heart or breath
stoppage, that require near-immediate treatment. Thus, the Agency
solicited comments regarding the sufficiency or appropriateness of a
maximum response time, such as three to five minutes, after discovery
or report of an injury (72 FR 72452, 72465, Dec. 20, 2007).
    Several commenters described their experiences with the response
time of off-site services. Bath Iron Works reported that, while they
rely on an on-site ambulance staffed with EMTs to provide emergency
treatment during the first and second shift, "During the 3rd shift,
BIW relies on a city ambulance that responds to emergencies within 3 to
5 minutes" (Ex. 106.1). Kim Hodne of Alaska Ship and Drydock testified
that it takes less than three minutes for the closest EMT facility to
respond to calls from the shipyard (Ex. 198, p. 128). John
Killingsworth of Dakota Creek Industries stated that it takes five or
six minutes for the EMT responders to reach a victim located on the
bottom deck of the largest vessel (Ex. 198, p. 129). Dick Webster from
Petersburg Shipwrights noted that it could take up to 10 minutes for a
responder just to reach an injured employee if, for example, the
employee was in the bottom of a 400-foot barge that required crossing
18-inch beams every six feet (Ex. 198, pp. 235-236).

    To allow for the occasional difficulty of reaching an injured/ill
employee below deck or in a confined space, the final rule sets a five-
minute limit for off-site responders to reach the worksite, not the
victim. This provision acknowledges that, even under the best of
circumstances with an EMT service located within a few blocks of the
shipyard, there are times when it would be impossible for the off-site
service to reach an injured/ill employee within five minutes. Dakota
Creek Industries described a system of working with off-site responders
when an employee is injured in a confined space on a vessel:

    We've come to an agreement [with off-site responders] that the
shipyard will, through its, you might say its confined space rescue
team, handle the victim, as it were, from the vessel to the ground,
and then we would rely on the paramedics to provide the victim care
during that period. When the victim hits the ground, however, the
paramedics take over using their own equipment and provide whatever
is necessary from there (Ex. 198, p. 105).

    Notwithstanding the leeway that OSHA gives employers by requiring
off-site first aid providers to reach the worksite, rather than the
victim, within five minutes, paragraph (c)(2) states that employers
must ensure that a first aid provider is able to reach an injured
employee within five minutes of a report of serious injury/illness,
such as one involving cardiac arrest, acute breathing problems,
uncontrolled bleeding, suffocation, electrocution, or amputation.
Prompt, properly administered first aid may mean the difference between
rapid or prolonged recovery, temporary or permanent disability, and
even life or death. For example, the American Heart Association found
that when resuscitation and automatic external defibrillation are
delivered within three to five minutes, reported survival rates from
sudden cardiac arrest are as high as 48 to 74 percent (Ex. 58). Studies
have shown that for each minute sudden cardiac arrest is not treated,
the probability of reviving the heart decreases by 7 to 10 percent
(Exs. 57; 58). These data indicate that having responders at the
worksite promptly could significantly increase the survival rates for
injured/ill employees. Thus, if there is a possibility of a life-
threatening injury/illness occurring somewhere in the shipyard,
including aboard vessels, where the injured/ill employee could not be
reached by an off-site responder or first aid providers from the
employer's on-site infirmary within five minutes, the employer must
ensure that another first aid responder could reach the victim within
five minutes of the injury being reported to assist the victim until
other emergency personnel, who will have more expertise in treating
emergencies, arrive.
    For example, performing CPR immediately can help to preserve heart
and brain function until local emergency services are able to provide
further medical treatment, such as administering oxygen or using an
automated external defibrillator (AED) to restore normal heart rhythm.
According to OSHA's Integrated Management Information System (IMIS),
there were 13 fatalities in shipyards that were deemed "heart attack"
or "coronary" within a 15-year period. Out of those 13, only 4
reports documented any basic life support, such as CPR, prior to rescue
squads arriving on the scene. Even for injuries that are not
immediately life-threatening, timely first aid can reduce further
injury and significantly aid recovery by, for example, immobilizing
fractures, reducing blood loss, or providing warmth for shock victims.
    The five-minute response time is consistent with an OSHA letter of
interpretation (Ex. 212; OSHA letter of interpretation to Charles F.
Brogan, Jan. 16, 2007) that explained what "reasonably accessible"
means with regard to off-site emergency-response services:

    [T]he requirements that emergency medical services must be
"reasonably accessible" or "in near proximity to the workplace"
are stated only in general terms. * * * While the standards do not
prescribe a number of minutes, OSHA has long interpreted the term
"near proximity" to mean that emergency care must be available
within no more than 3-4 minutes from the workplace, an
interpretation that has been upheld by the Occupational Safety and
Health Review Commission and by federal courts.

    Paragraph (c)(3), listing the factors that an employer must use in
determining the number and location of employees who must have first
aid training, is discussed above under paragraph (c)(1).
    Paragraphs (c)(4) and (c)(5) require the employer to ensure that
its first aid providers are trained to render first aid, including
cardiopulmonary resuscitation (CPR), and maintain current first aid and
CPR certification from the Red Cross, American Heart Association, or
other equivalent organization. Although some shipyard employees may
have received training in the past, appropriate and up-to-date training
is necessary to ensure that injured employees receive correct
intervention, since lack of training can also result in a lack of
treatment when it is needed.
    This provision is designed to give employers maximum flexibility in
developing a first aid training program that is appropriate for the
types of working conditions and hazards in their workplaces. With one
exception, CPR training, the standard does not establish the specific
content of the required first aid training program that employers must
follow. As long as the certificate is issued by a responsible
organization, such as the American Red Cross, the American Heart
Association, or other equivalent organization that requires successful
course completion as evidence of qualification, the requirements of the
final rule would be met. Likewise, the final rule does not specify a
frequency for first aid refresher training. The employer must comply
with the frequency the certifying organization requires for retaining
certification, usually two years.
    In the proposal (72 FR 72452, 72467, Dec. 20, 2007) OSHA requested
comments on whether the Agency should include in the final rule an
appendix on the requirements of a first aid training program, similar
to that in Sec.  1910.266 or 1918.97, to ensure that employees are
fully trained by qualified instructors. Topics under consideration
included respiratory arrest, cardiac arrest, lacerations/abrasions,
shock, burns, and loss of consciousness. Only the U.S. Navy commented
on this issue: "A non-mandatory appendix outlining basic first aid
training in CPR, assessing and stabilizing injured personnel[,] and
wound treatment would be helpful" (Ex. 132.2). Due to the minimal
comments received on this issue and the requirement in this final
standard that employers must ensure that first aid providers are
trained to render first aid (including CPR), as well as maintain
current first aid and CPR certifications such as those issued by the
Red Cross, American Heart Association, or other equivalent
organization, an appendix will not be included in the final standard.
These organizations (for example, Red Cross and American Heart
Association) already have specific training modules in place that the
Agency believes are effective, and that offer the same guidance that an
appendix would provide.
Paragraph (d)--First Aid Supplies
    Paragraph (d)(1) requires employers to provide and maintain
adequate first aid supplies that are readily accessible to each
worksite. The rule also specifies that an employer's on-site infirmary
or clinic containing first aid supplies that are readily accessible to
each worksite will comply with this requirement.

    OSHA received many comments on using the term "adequate" as a
modifier. For example, Trident Seafoods Corporation commented:

    The term "adequate first aid supplies" is a subjective term.
What may seem adequate to us may not seem adequate in the eyes of
others regardless of the objective factors considered. We work with
our suppliers to stock the 1st aid kits with items appropriate for a
given work location (Exs. 104.1; 107.1).

    Because first aid needs can vary from worksite to worksite, an
employer must be able to decide what is needed at each worksite. For
example, while a small first aid kit might be all that a small shipyard
or vessel needs, it might be completely insufficient for a large
facility. OSHA has concluded that requiring "adequate" supplies will
give employers the flexibility of determining which first aid supplies
they need for their particular worksites. To assist employers in
determining what is "adequate," OSHA is bringing forward the criteria
set forth in proposed paragraph (d)(2) for determining the adequacy of
first aid supplies. Those same criteria are specified in paragraph
(c)(3) to help employers determine an adequate number of first aid
providers.
    Comments were received from several employers expressing a concern
that requiring that first aid supplies be available for employees would
lead to ineffective self-treatment. Atlantic Marine Florida, LLC,
stated:

    [We maintain] first aid supplies on our in-house medical cart
staffed by EMTs, and at our Medical treatment facility. The medical
cart has less than a 3 minute response time throughout the shipyard.
We do not provide first aid kits at each work location inside the
shipyard, since this tends to support self-treatment, which can lead
to larger issues if employees treat themselves incorrectly (Ex.
115.1).

    The American Shipbuilding Association had similar concerns,
stating:

    Paragraph (d)(1) proposes to revise existing requirements for
first aid supplies. We are concerned that making it mandatory to
have first aid kits at each work location would promote self-
treatment on the part of employee[s] and enable treatment by
untrained individuals. Such a mandate would also discourage
employees from reporting minor injuries. We request that OSHA
consider adding an exemption to this section if a shipyard utilizes
an in-house ambulance service or has access to immediate response
from an external ambulance service (Ex. 117.1).

    In contrast, several commenters stated that, while they have in-
house medical services, they also utilize first aid kits throughout
their worksites. Manitowoc Marine Group explained that they have "a
full medical facility on both sides. And there are some areas, some of
the buildings, that will have smaller first aid kits for minor
injuries, illnesses" (Ex. 168, pp. 106-107). When asked if they had
first aid kits in their shipyard, Todd Pacific Shipyard confirmed that
they did have first aid kits throughout their worksite. They explained
that they allow employees to use the first aid kits as needed:

    Our injury program requires that any injuries more than a Band-
Aid, the employee, the affected employee and his supervisor must
both come to the medical facility and fill out our accident reports.
The medical officer determines what the classification is, what the
necessary treatment is and if we need any additional support at that
time.
    But yes, we do have the first aid kits out there, and yes, they
can put a band-aid on (Ex. 198, p. 49).

    OSHA agrees that employers should use in-house medical services as
a first resort if those services can be accessed in a timely manner,
given the circumstances. However, there may be times when an employee
is injured/ill at a shipyard when there is no on-site clinic, first aid
providers are not readily available, or a first aid provider needs
ready access to supplies. At such times, employees should have access
to adequate first aid supplies. These supplies must be readily
accessible to each worksite. This revision gives employers more
flexibility and guidance about where first aid supplies need to be
located. In addition, this provision clarifies that first aid supplies
need to be located at all worksites throughout the shipyard, which
include worksites on and near vessels, as well as those landside.
Employers who have on-site medical facilities have the choice to
maintain all first aid supplies at the medical facility, or to place
them throughout the worksite. Employers who rely solely on outside
medical assistance are required to provide first aid supplies so they
are readily accessible to each worksite. OSHA concluded that, by
requiring employers to provide first aid supplies through the worksite,
employees would have access to these supplies until a trained first aid
provider or healthcare provider arrives to assist them.
    The Agency received several comments requesting that it provide
employers flexibility in tailoring the type, amount, and location of
supplies to the specific needs of the workplace (Exs. 104.1; 107.1;
113; 115.1; 118.1). Paragraph (d)(2), which carries forward the same
language from the proposal, lists four objective factors, which are
identical to those factors specified for determining the number and
location of first aid providers. These factors will assist employers in
meeting the requirements for placement, content, and amount of first
aid supplies without prescribing a specific parameter. The four factors
include:
 The Size and Location of Each Worksite
    The size of the shipyard worksite is an important consideration. It
is likely that large worksites contain many work areas that are spread
out and, as such, need more first aid kits to ensure they are readily
accessible if an employee gets injured. Employers also need to consider
the locations of where employees are working throughout shipyards when
determining the number, content, and positioning of first aid kits. For
example, remote work areas or other shipyard work areas that are far
away from rescue squads or hospitals may need to have more first aid
supplies or a broader range of supplies to care for an injured/ill
employee until additional help arrives or the employee can be
transported for advanced care. Work areas that may be cut off by
passing railcars also may need more first aid supplies in case access
roads are blocked when an injury/illness occurs.
 The Number of Employees at Each Worksite
    The employer needs to evaluate the ratio of employees to first aid
kits and ensure that there are sufficient supplies for all employees.
In general, when there are a great number of employees, or a surge in
contract or temporary workers at a worksite, the employer would need to
provide more first aid supplies to prepare for the possibility of
multiple employee injuries/illnesses, or that several accidents could
occur within a short period of time.
 Hazards Present at Each Worksite
    Employers must assess the hazards present in each worksite to
ensure that first aid kits contain the types and quantity of supplies
needed to effectively treat the injuries and illnesses that could be
expected for these hazards. For example, in shops where hot work is
performed, first aid supplies for burns would be necessary, and in
outdoor areas, first aid items for insect or animal bites may be
needed.
 The Distance of Each Worksite From Hospitals, Clinics, and
Rescue Squads
    The distance from, and the time needed to get to, hospitals or
clinics (on-site or off-site), and the time needed for rescue squads to
respond, are also important factors in determining the location,
amount, and type of first aid supplies employers need to provide. A
single first aid kit may be adequate for small worksites that are
close to on-site infirmaries or local emergency services. However,
additional kits and types of supplies may be necessary when medical
services are farther away.
    In addition to the four factors described above, non-mandatory
Appendix A, "First aid kits and automated external defibrillators,"
has been added to the final rule. Appendix A references the most recent
consensus standards regarding first aid supplies, consistent with the
recently revised general industry standard (Sec.  1910.151). For
example, Appendix A refers readers to ANSI/ISEA Z308.1-2009, "Minimum
Requirements for Workplace First Aid Kits and Supplies" (incorporated
by reference as specified in Sec.  1915.5), for assistance in
purchasing or assembling first aid kits that would be adequate for
small worksites. The appendix also gives guidance to employers having
large or multiple operations, or unique needs. OSHA believes that
adopting a performance-based approach on the contents of first aid kits
will give employers flexibility in tailoring their first aid supplies
to the conditions and hazards present in their workplace and to
changing the supplies as warranted by new developments in first aid.
    Paragraph (d)(3) requires that first aid supplies be placed in a
weatherproof container. Paragraph (d)(4) specifies that employers must
maintain first aid supplies in a dry, sterile, and serviceable
condition. The proposal included only the requirements of paragraph
(d)(4). Taken together, paragraphs (d)(3) and (d)(4) require that any
first aid kit that may be used at any time outside a clinic-type
setting must be protected from the elements.
    Although comments were not received about this particular
requirement, OSHA believes that first aid supplies should be kept in a
weatherproof container. While discussing the provisions in Sec.
1915.81, Housekeeping, that specifically referenced weather, for
example, Sec.  1915.81(a)(2), OSHA heard testimony regarding some of
the weather conditions in shipyards. Atlantic Marine stated: "In this
region, rainfall averages 6 inches per month, with an inch or more
common for a single rain event" (Exs. 115.1; 118.1). While discussing
snow and ice conditions, Manitowoc Marine Group stated: "[A]s I well
know [from] firsthand experience on the Great Lakes, conditions such as
this may last several days" (Ex. 168, pp. 68-69). Given that shipyard
employment often takes place outdoors, sometimes in wet conditions, and
that injuries could occur under those conditions, OSHA believes that
adding a requirement for first aid supplies to be in waterproof
containers is reasonable. In addition, most industrial or commercial
type first aid kits are constructed of weatherproof materials.
    Further, some first aid supplies may degrade if exposed to the
elements (sun, hot temperatures, extreme cold, and humidity), dirt,
exhaust, grease, paint, solvents, and other contaminants common to
shipyard work. Thus, OSHA is retaining the proposed requirement that
first aid supplies be kept in a dry, sterile, and serviceable
condition. For purposes of this provision, OSHA defines "serviceable
condition" to mean the state or ability of supplies or goods to be
used as intended by the manufacturer. Thus, if the first aid supplies
contain instructions from the manufacturer on how to store them, the
employer should comply with those instructions to ensure that the
supplies remain effective for use.
    Paragraph (d)(5) requires the employer to replenish first aid
supplies as necessary to ensure an adequate supply when needed. This
requirement was not expressly stated in the proposal, although it was
implicit in proposed paragraph (d)(1) requiring the employer to provide
and maintain adequate first aid supplies at each work location, and in
proposed paragraph (d)(3) requiring the employer to ensure that first
aid supplies are in a dry, sterile, and serviceable condition.
Explicitly requiring replenishment of first aid supplies as necessary
will protect workers by ensuring that there will be an adequate number
of serviceable first aid supplies available in the event of an injury.
That is, employers have an obligation to replace supplies that are
found to be deficient or missing. This requirement also responds to the
National Institute for Occupational Safety and Health's (NIOSH)
suggestion that OSHA "add a sentence stating that any supplies that
have been utilized shall be replaced as soon as possible" (Ex. 129.1).
    Paragraph (d)(6) requires employers to inspect first aid supplies
at sufficient intervals to ensure that the supplies are adequate and in
a serviceable condition. This paragraph is nearly identical to proposed
paragraph (d)(3), which would have required employers to inspect first
aid supplies at intervals that ensure the supplies remain in a "dry,
sterile and serviceable condition." This provision gives employers the
flexibility to determine what inspection procedures would be most
effective for ensuring that supplies remain in a serviceable condition
and adequately replenished. For example, it allows employers to opt for
stocking worksites with an appropriately sized supply of first aid
supplies and to establish a maintenance and inspection schedule that is
suitable for the particular shipyard, whether it be weekly or monthly.
It also allows employers to stock a variety of suitably sized kits,
such as small portable first aid kits for mobile work crews. Depending
on the size of the first aid kits, they may need to be inspected and
replenished frequently or, for larger, stationary kits assigned to a
particular shop or location, less frequently.
    NIOSH commented: "It would be useful for the written safety plan
to state explicitly the first aid supply inspection interval" (Ex.
129.1). OSHA agrees that employers who establish a set inspection
interval will be able to determine when depleted or defective supplies
need to be replenished. However, OSHA believes that employers are in
the best position to know what interval supplies should be replenished
at their worksites and thus did not include an explicit inspection
interval in the final standard.
Paragraph (e)--Quick-Drenching and Flushing Facilities
    Paragraph (e) requires employers to provide quick-drenching or
flushing facilities when the potential exists for an employee to be
splashed with a substance that could result in an acute or serious
injury. Under this paragraph, the employer must ensure that the quick-
drenching or flushing facility is located for immediate emergency use
within close proximity to the operations where such substances are
being used. Proposed paragraph (e) would have required that quick-
drenching or flushing facilities be provided where employees could be
injured from being splashed with "hazardous or toxic substances" and
that the facilities be "located within each work area for immediate
use." Proposed Sec.  1915.95 defines "hazardous or toxic substances"
to include substances regulated by subpart Z of 29 CFR part 1915;
materials listed in the Department of Transportation's hazardous
materials regulations (49 CFR parts 171 through 180); any corrosive
substance; or any environmental contaminant that could expose employees
to injury, illness, or disease. OSHA reasoned that shipyard employees
involved in operations such as cleaning, painting, and stripping were
at risk of being splashed with solvents or other chemicals. Although
these substances may not necessarily be corrosive, they can injure or
burn the skin or eyes or be absorbed rapidly through the skin, causing
harmful surface and internal health effects (72 FR 72452, 72469, Dec. 20,
2007).
    OSHA received many comments on the proposed provision and on the
proposed definition of "hazardous or toxic substances." Several
employers, including American Seafoods Company, the U.S. Navy, Bath
Iron Works, Northrop Grumman Shipbuilding--Newport News, the American
Shipbuilding Association, and International Safety Equipment
Association, commented that the proposed language was too broad and
would require an inordinate number of quick-drenching facilities in a
shipyard (Exs. 105.2; 106.1; 116.2; 117.1; 120.1; 132.2). Atlantic
Marine commented: "It can be inferred that a quick-drench facility
would be required anywhere painting is occurring. Since painting occurs
all over the shipyard, providing quick-drench facilities at these
locations is not practical" (Exs. 115.1; 118.1). Trident Seafoods
stated:


    Installing quick-drenching/flushing facilities wherever
hazardous or toxic substances are located is not economically
feasible when following the proposed definition of "hazardous or
toxic substances" in the proposed rule 1915.95. This is a change
from the current requirement of providing quick drenching or
flushing stations where corrosives are used. It seems shipyards,
vessel maintenance facilities, and vessels will be required to
purchase numerous portable quick-drenching/flushing facilities in
order to comply (Exs. 104.1; 107.1).

The Shipbuilders Council of America commented:

    Using the language toxic or hazardous substances greatly
broadens the scope of applicability, and would include paint
operations into the proposed rule jurisdiction, which we hold is
unnecessary. Exposure to hazardous material within a paint shop can
vary, especially considering the amount of [personal protective
equipment] worn to prevent such exposures (Ex. 114.1).

Although Northrop Grumman Shipbuilding--Gulf Coast provides emergency
flushing facilities for employees performing cleaning, painting, and
stripping operations, the company stated:

    NGSB-GC believes the proposed definition is exceedingly broad
and offers the employer minimal guidance in providing effective
employee protection against contact/absorption hazards. * * * As
written, 1915.87(e) would require quick drenching facilities at
virtually every work area since even common commodities, such as
copier cartridges and household-variety cleaners and disinfectants
contain ingredients legally classified as "hazardous" (Ex. 112.1).

    OSHA has considered these comments and, in the final rule, limited
the requirement for quick-drenching and flushing facilities to those
instances when employees may potentially be splashed by substances that
could cause an acute or serious injury. Thus, if paints or other
materials used by the shipyard could not cause an acute or serious
injury if splashed on an employee, either because of the chemical
components of the material or because the employee is wearing PPE that
would eliminate the risk of splashes to the eyes or body, the employer
need not provide quick-drenching or flushing facilities pursuant to
paragraph (e). However, if PPE is not worn, and any material being used
could cause an acute or serious injury if splashed on the employee, the
employer must provide a quick-drenching or flushing facility within
close proximity to where the work involving the material is occurring.
Furthermore, the facility must be available for immediate emergency
use; that is, it should work as soon as it is activated and should not
require replenishment of water at the time of the emergency.
    In work areas where it is impracticable to place permanent (for
example, plumbed) quick-drenching facilities, such as confined spaces,
the employer would need to provide portable facilities. OSHA does not
believe this requirement should pose a problem for employers since many
employers already have these portable facilities. The ANSI Z358.1
standard includes specifications for self-contained eyewash equipment,
as well as personal quick-drenching equipment that could be used in
such locations (Ex. 38, ANSI Z358.1-2009, "Emergency Eyewash and
Shower Equipment," incorporated by reference as specified at Sec.
1915.5). OSHA believes the requirement to have quick-drenching
facilities within close proximity to workers using substances that
could cause acute or serious injury is appropriate. Employees who may
be splashed must be able to reach a quick-drenching or flushing
facility in time to prevent an acute or serious injury from occurring.
OSHA believes that this language will provide employers with
flexibility in determining the number and location of quick-drenching
or flushing facilities while addressing their concerns that some
substances that may have been included in the definition of hazardous
or toxic substances did not warrant the use of a quick-drenching or
flushing facility.
    The North Pacific Fishing Vessel Owners' Association (Ex. 197.1)
suggested that OSHA permit the use of water from bottles or hoses in
confined spaces or hazardous locations or in freezing temperatures. The
Agency has considered this suggestion for times when it may be
impossible for an injured employee to get out of a confined space or
hazardous location in time to treat a splash injury at a quick-
drenching or flushing facility. During the few situations when an
employee would be working in a location where it would be impracticable
to provide quick-drenching facilities and employees would be exposed to
hazardous or toxic substances, an appropriate option would be for the
employer to provide water bottles or a hose.
    Several employers commented about the costs for installing quick-
drenching or flushing facilities pursuant to proposed paragraph (e).
American Seafoods Company stated:

    As difficult as it is for a shoreside facility to meet the
requirements for volume and pressure, it is far more difficult and
costly on ships and commercial fishing vessels that are designed
from the outset to conserve potable water as much as possible. 30
gallons per minute for even the largest vessels can be an expensive
challenge (Ex. 105.1).

    Bath Iron Works commented: "OSHA's proposal will provide
additional cost to employers to comply with this regulation adjustment,
which is in opposition to Table [2] of the regulatory analysis" (Ex.
106.1). Northrop Grumman Shipbuilding--Newport News noted: "Costs
associated with purchasing, transporting and maintaining significantly
more eyewash and drenching facilities are not included in the
Preliminary Economic and Regulatory Flexibility Analysis (PEA)" (Ex.
120.1).
    OSHA believes that the revisions to the final rule that limit the
types of materials requiring quick-drenching or flushing facilities in
close proximity to these materials should not impose additional costs.
Shipyard employers already must provide such facilities, pursuant to
Sec.  1910.151(c), which requires these facilities when employees may
be injured by "corrosive materials."
Paragraph (f)--Basket Stretchers
    Paragraph (f) requires that an adequate number of basket
stretchers, or the equivalent, be readily accessible. It also requires
that this equipment have permanent lifting bridles that enable the
stretcher to be attached to hoisting gear that is capable of lifting at
least 5,000 pounds. In addition, these basket stretchers must be
capable of securely restraining the injured employee and must provide a
blanket or other suitable covering. Finally, the basket stretchers must
be stored in a clearly marked location, be protected from damage, and
be inspected to ensure they remain in a safe and serviceable condition.
    Paragraph (f)(1) is a performance-based provision requiring that
employers provide an adequate number of basket stretchers or the
equivalent that are readily accessible to locations where work is being
performed on a vessel or vessel section. Employers have several ways to
comply with this provision. The requirement recognizes that, in some
situations, having just one basket stretcher at a location where work
is being performed on vessels or vessel sections may be adequate to
ensure ready accessibility. A SESAC member stated that, if a crane is
available to hoist a basket stretcher from any one of several barges
docked together, then one stretcher may provide ready accessibility for
that group of vessels (Docket SESAC 1993-1, Ex. 100x, p. 155). OSHA
also believes that when a shipyard crane mounted on rail tracks can
move back and forth to hoist a basket stretcher from one of several
vessels or vessel sections, one stretcher may be adequate to remove
injured employees from any of those vessels or vessel sections.
    In other situations, however, one basket stretcher may not be
adequate. In large shipyards that have several work areas with
hundreds, if not thousands, of employees working far apart on vessels
and vessel sections, more than one basket stretcher may be needed to
ensure that one is readily accessible to each work area. Some SESAC
members also said additional stretchers should be provided when it is
necessary to speed up removal of injured employees (Docket SESAC 1993-
1, Ex. 100X, p. 159). Having additional stretchers allows first aid
providers to prepare other injured employees for removal while another
employee is being lifted to shore.
    OSHA believes that paragraph (f)(1) is a reasonable approach for
providing effective protection for employees. In some circumstances,
basket stretchers must be provided even when fewer than 10 employees
are working on a vessel, an issue that concerned SESAC (Docket SESAC
1993-1, Ex. 100X, p. 147). At the same time, it gives employers
flexibility to tailor their efforts to the specific conditions and
equipment present at the work area.
    In paragraph (f)(1), OSHA permits the use of basket stretchers "or
the equivalent." Several commenters requested that OSHA include
Skeds[reg] in this provision because they believed Sked[reg] stretchers
are more useful on ships than other types of stretchers (Exs. 101.1;
104.1; 105.1; 107.1; 124; 126; 128; 130.1). A Sked[reg] is a stretcher
used for confined space, high-angle, or technical rescue, or for
landside applications. For purposes of paragraph (f), OSHA concludes
that a Sked[reg] would be the equivalent of a basket stretcher.\1\
---------------------------------------------------------------------------

    \1\ The approval of this or any other product for purposes of
this standard does not constitute an endorsement by OSHA of the
product. The variable working conditions at jobsites and possible
alterations or misapplication of an otherwise safe product could
easily create a hazardous condition beyond the control of the
manufacturer. However, when appropriate, OSHA provides guidance to
help employers assess whether products are appropriate to use in
light of Agency requirements.
---------------------------------------------------------------------------

    Paragraph (f)(1) contains an exception to employer-provided
stretchers or equivalent if an emergency response service has the
stretchers or equivalent that otherwise meet the requirements of
paragraph (f). Proposed paragraph (f)(1) deleted language in existing
Sec.  1915.98(d) stating that the requirement to provide basket
stretchers does not apply when ambulance services are available and
carry such stretchers. OSHA believes this language was no longer
necessary since the proposed language in paragraph (f)(1) requires that
basket stretchers be "readily accessible." This term gives employers
flexibility to provide their own stretchers or rely on stretchers
provided by local emergency squads if they are readily accessible.
    Two commenters questioned OSHA's removal of this exception from
paragraph (f)(1). Trident Seafoods stated: "The allowance to count
local emergency squad basket stretchers as being 'readily [accessible]'
should be included in the regulation not only in the preamble" (Exs.
104.1; 107.1). Sound Testing, Inc., requested: "Could the requirements
of Sec.  1915.87(f) be substituted with the availability of a public
professional emergency responder, such as the local fire department,
paramedics, or HazMat response team?" (Ex. 121.1).
    OSHA requested comment on whether local emergency squads are
readily accessible to vessel worksites and whether they have basket
stretchers that meet the proposed requirements. Many commenters
explained that their local emergency medical services will not use the
shipyard's basket stretchers, but instead will only use their own
stretchers (Exs. 101.1; 121.1; 124; 126; 128; 130.1 198, pp. 81-82,
105-106). Seven Seas Fishing Company noted:

    For transporting employees off the ship, most medical service
providers want to use their stretchers to move the injured off the
ship. Also, if our stretcher is used, it may be difficult to get it
back due to the distance the employee is transported away from the
vessel and the logistics of getting that stretcher returned (Ex.
199, p. 206).

    American Seafoods stated: "No outside agency will use our Basket
Stretchers. Not the USCG, not any professional (paid or volunteer) fire
department. Since they will never trust our equipment to lift an
injured worker, how much should be invested for this type of
equipment?" (Ex. 105.1). OSHA acknowledges that these comments have
merit. Thus, the final rule clarifies that employers may provide their
own basket stretchers (or equivalent), or they may rely on emergency
response services to provide them. This exception applies to both in-
house responders and outside responders, so long as the basket
stretchers or equivalents are "readily accessible."
    Paragraph (f)(2)(i) requires that basket stretchers, or the
equivalent, have permanent lifting bridles that enable the stretcher or
equivalent to be attached to hoisting gear capable of lifting at least
5,000 pounds (2,270 kg). Paragraph (f)(2)(ii) requires that basket
stretchers, or equivalent, have restraints that are capable of securely
holding the injured/ill employee while the stretcher is lifted or
moved. These paragraphs are based on the Marine Terminals and
Longshoring standards (Sec. Sec.  1917.26(d)(4) and 1918.97(d)(4)) and
are carried over unchanged from the proposal. OSHA deems it appropriate
to apply the Marine Terminals and Longshoring provisions to shipyard
employment because the use of basket stretchers and the working
conditions are similar in all three industries. These requirements
should not pose a problem for shipyard employers because most, if not
all, basket stretchers or equivalents already meet the specified
criteria. No comments were received on these two provisions.
    Paragraph (f)(2)(iii) requires that each basket stretcher or
equivalent have a blanket or other suitable covering to cover injured
employees, thus protecting them from environmental conditions. General
Dynamics NASSCO requested that this provision not be a requirement, but
instead be added to Non-Mandatory Appendix A, stating, "Storage that
prevents damage to a stretcher and bridle may not be sufficient to keep
a blanket in a condition that is appropriate for use during a medical
emergency" (Ex. 119.1). The Agency agrees with this commenter but,
rather than moving this provision to Non-Mandatory Appendix A, has
added a requirement to paragraph (f)(3) of the final rule to ensure
that basket stretchers, or the equivalent, and related equipment (for
example, blankets) are protected from the environment. OSHA concluded
that equipment related to the use of basket stretchers must be kept with
the basket stretcher to ensure quick access to, and efficient use of, the
entire system in the event of an injury, and that all parts of the system
should be protected when stored. Thus, paragraph (f)(2)(iii) is retained
as proposed.
    Paragraph (f)(3) requires that basket stretchers, or the
equivalent, and related equipment be stored in a clearly marked
location in a manner that prevents damage and provides protection from
environmental conditions. This language is based on similar
requirements in the Marine Terminals and Longshoring standards
(Sec. Sec.  1917.26(d)(7) and 1918.97(d)(7)). This provision would
accomplish two goals. First, requiring storage areas to be clearly
marked helps to ensure that stretchers are easy to locate when they are
needed. Second, storing stretchers so they are protected from damage
and environmental conditions prevents deterioration of the equipment.
As Atlantic Marine pointed out, "Mounting stretchers on or near
drydocks and piers exposes them to paint and the elements which break
down the material that the stretcher is constructed of" (Exs. 115.1;
118.1). OSHA believes that, by requiring related equipment to be stored
with the basket stretcher, deterioration or damage will be reduced
significantly. For example, related equipment such as blankets and
lifting bridles may deteriorate or become damaged if exposed to weather
or impact. Thus, for this final standard, paragraph (f)(3) requires
that basket stretchers and related equipment be stored to prevent
damage and to protect them from environmental conditions.
    Paragraph (f)(4) requires the employer to inspect stretchers and
related equipment at intervals that ensure this equipment remains in a
safe and serviceable condition, but at least once a year. General
Dynamics NASSCO agreed with the need for inspection and suggested that
this paragraph should read: "The employer shall inspect emergency
baskets, stretchers and related lifting bridles at intervals that
ensure they remain in [a] safe condition" (Ex. 119.1). Although the
Agency is giving employers the flexibility to inspect stretchers and
related equipment at intervals to ensure they are adequate in terms of
safety and service, OSHA believes that the inclusion of the one-year
interval is necessary, as basket stretchers are not used nearly as
often as first aid kits, and, in fact, might not be used for over a
year. This provision will ensure that lifesaving equipment functions
properly when needed in an emergency and is particularly important if
basket stretchers are not used frequently. In response to the comments
received, OSHA retained the proposed language, but added the
requirement that related equipment also must be inspected. Thus, OSHA
is requiring that the employer inspect the basket stretcher and related
equipment at intervals, but at least once a year, to ensure the
equipment remains in a safe and serviceable condition. OSHA believes
that this requirement will ensure that, in the event of an emergency,
all of this equipment will be in a serviceable condition and ready to
be used.
Non-Mandatory Appendix
    Section 1910.151 includes a recently revised non-mandatory appendix
to provide information on the contents of first aid kits (70 FR 1112,
1141, Jan. 5, 2005). OSHA is incorporating the Sec.  1910.151 appendix,
with revisions, and a new paragraph (4) on AEDs. The appendix provides
guidance to employers on the contents of first aid kits, assessing
workplace risks, OSHA's requirements for protecting first aid providers
from possible exposure to bloodborne pathogens, and the use of AEDs.
The appendix references the ANSI standard Z308.1-2009, "Minimum
Requirements for Workplace First Aid Kits" (incorporated by reference
as specified at Sec.  1915.5) (Ex. 213). The ANSI standard should be of
assistance to employers seeking guidance on classification and
performance of containers, appropriate contents, and recommendations
and cautions regarding the use and maintenance of first aid kits. The
Agency has concluded that this non-mandatory guidance will help
employers comply with first aid requirements.
    The proposed Appendix referenced ANSI Z308.1-2003 (Ex. 84).
However, since publication of the proposal, this ANSI standard has been
updated. The Agency has determined that the most current version of
ANSI Z308.1-2009 is as effective as the 2003 version, and will be
incorporating this most recent version for this final rule.
    Although OSHA received no comments on the proposed appendix, quite
a few employers responded to the Agency's request for comments on
whether shipyards should be required to have AEDs as part of their
first aid and medical services (72 FR 72452, 72471, Dec. 20, 2007).
These comments are discussed below. Based on those comments, OSHA has
added a new paragraph (4) to the non-mandatory appendix to provide
information and guidance to employers who are currently using AEDs and
those who are contemplating installing them.
    According to the American Heart Association, over 300,000
individuals die from cardiac arrest each year, with most occurring
outside hospitals (Ex. 58). In 2001 and 2002, there were 6,628 work-
related fatalities reported to OSHA--1,216 of these deaths were from
heart attack, 354 from electric shock, and 267 from asphyxia (Ex. 56).
Survival rates for out-of-hospital cardiac arrest are only one to five
percent, but treatment of ventricular fibrillation (for example,
chaotic beating of the heart) with immediate defibrillation (for
example, within one minute) has achieved survival rates as high as 90
percent (Ex. 57). Therefore, fast and immediate defibrillation is the
most critical step in the treatment of cardiac arrest because it is the
definitive therapy for ventricular fibrillation.
    AEDs restore normal heart rhythm with electrical shock
(defibrillation). AEDs have been shown to significantly increase
survival rates where they are used immediately after the event (for
example, within three to five minutes). For example, in the first 10
months after Chicago's O'Hare and Midway Airports installed AEDs, 9 of
14 (64 percent) cardiac victims were revived and survived (Ex. 57).
    In the past decade, there have been significant advances in AED
technology, including advances in miniaturization and improvements in
their reliability and safety. Today, AEDs are small, lightweight units
in portable carriers; run on rechargeable batteries; analyze the heart
rhythm; and automatically indicate when to shock with easy-to-follow
audio prompts. These improvements have also greatly minimized the
training needed to operate them. Many studies have shown that AEDs are
nearly error free and effective when used by non-medical first aid
responders in the workplace (Ex. 57).
    OSHA's existing medical services and first aid standards do not
require that AEDs be provided in workplaces or that employees be
trained in their operation. However, many employers, concerned that
local emergency services cannot respond quickly enough to medical
emergencies, have been equipping their workplaces with AEDs and
training employees in their use. While the cost of AEDs has dropped
dramatically in recent years, it is still a significant cost. In 2001,
for instance, AEDs cost $3,000-$4,500 on average. Now they are widely
available for less than $1,500 (Ex. 55). OSHA anticipates that AED
costs will continue to decline as the use of AEDs increases.
    The Agency received several comments on this subject, both in
support of and in disagreement with the requirement to have AEDs in
shipyard employment. Trident Seafoods stated:

    Shipyards should not be required to have AEDs as part of their
1st aid and medical services. While it is a good practice to have
AEDs available, and many of us do, it should not be mandatory. Small
independently owned vessels and maintenance facilities may not be
able to afford AEDs. While the price may have decreased for AEDs
constructed for use inside office spaces and controlled climates, it
remains fairly expensive to purchase models designed to withstand
exposure to the elements (Exs. 104.1; 107.1).

    Several employers, including Bath Iron Works, Foss Maritime,
Manitowoc Marine Group, Northrop Grumman--Newport News, Pacific
Fishermen Shipyard, Todd Pacific Shipyard, and Trident Seafoods
testified that they currently have AEDs at their facilities or on their
vessels (Exs. 168, p. 313; 198, p. 10; 168, p. 58; 168, pp. 87-88; 168,
p. 315; 198, p. 45; 198, p. 74; 199, pp. 195-196). Other commenters
stated that AEDs, while useful, should not be mandatory. The U.S. Navy
stated: "The Navy does not believe that AEDs should be 'required' as
part of their first aid and medical services. Rather, Naval Shipyards
have the discretion to decide whether AEDs should be installed at their
shore facilities" (Ex. 132.2). Similarly, American Seafoods testified:
"At this point we would encourage OSHA not to require AEDs and perhaps
to recommend and suggest that they be considered. The industry is
actually getting into this on its own" (Ex. 199, p. 267).
    Despite the benefits of AEDs, the Agency has determined that costs
may be overly burdensome to some, especially small, employers. However,
since many employers, especially large and medium-sized shipyards,
stated that they are currently using them, OSHA is addressing the use
of AEDs in the non-mandatory Appendix A. Employers should use the same
objective criteria listed in Sec.  1915.87(c)(3) to determine if they
need AEDs at their facility. In fact, Northrop Grumman Shipbuilding--
Newport News advocated a similar approach:

    NGSB-NN believes shipyards should include provisions for the use
of AEDs in their assessment of requirements for medical and first
aid services. The proximity to outside emergency medical services,
demographics, and types of work performed all need to be considered
when determining the need for AED[s] (Ex. 116.2).

    While OSHA believes that providing AEDs at all worksites, including
shipyards, is an excellent safety precaution that can save lives, it is
not requiring that employers provide them at this time. There is
significant medical evidence that supports the use of AEDs. Employers
who have AEDs should designate who will use AEDs and provide training
to those designated employees. Proper training will ensure that the
designated employees use the AEDs correctly. In addition, AEDs should
be located so they can be used within three to five minutes of a report
of an accident or injury, and they should be used, inspected, tested,
and maintained in accordance with manufacturers' specifications. OSHA
encourages all employers, large and small, to consider voluntarily
providing AEDs.

Section 1915.88--Sanitation

    In this section, OSHA updates and consolidates sanitation
requirements applicable to shipyard employment. OSHA recognizes that,
due to unique working conditions in shipyard employment, ensuring that
sanitation needs and requirements are met may be somewhat difficult.
For example, some work areas are in remote locations, without adequate
piped water and sewer facilities. Also, much shipyard work is performed
outdoors, often in extreme conditions.
    OSHA believes that the sanitation needs of workers must be met in
shipyard employment because the adverse health effects associated with
the lack of appropriate sanitation facilities are well recognized and
documented. They include communicable diseases, heat-related illness,
health effects related to the delay of urination and defecation, and
effects associated with ingestion or absorption of hazardous
substances. These health hazards were discussed at length in the
preamble to the final field sanitation standard for agriculture (52 FR
16050, May 1, 1987). OSHA updated that discussion and placed it in the
docket of this rulemaking (Ex. 62). Although the adverse health effects
associated with sanitation hazards may be more difficult to quantify
than some other hazards, OSHA IMIS data has reported the death of a
shipyard worker from heat exhaustion and heat stroke possibly due to
not having enough drinking water readily accessible at his worksite (72
FR 72452, 72481, Dec. 20, 2007).
    In developing the final rule, OSHA has carefully considered the
working conditions observed during site visits, the comments received,
and other information in the record in developing requirements that
will take into account that workers need to have ready access to
adequate and properly maintained sanitation facilities.
    The final rule consolidates into Sec.  1915.88 the existing
sanitation requirements in Sec.  1915.97 and the applicable general
industry sanitation requirements in Sec.  1910.141 (see Ex. 81, OSHA's
Tool Bag Directive). The applicable Sec.  1910.141 requirements cover
those conditions that the existing 29 CFR part 1915 sanitation
standards did not address. OSHA adopted both sections in 1972 pursuant
to section 6(a) of the OSHA Act (29 U.S.C. 655(a)), and they have not
been significantly updated since. Therefore, in addition to
consolidating the applicable sanitation requirements, the final rule
updates the sanitation requirements to reflect improvements in
workplace sanitation that have been developed, such as single-use
bottled water and waterless handwashing agents.
    OSHA drew some of the updated requirements from sanitation
standards the Agency developed for other industries, such as marine
terminals (Sec.  1917.127), agriculture (Sec.  1928.110), and
longshoring (Sec.  1918.95). In addition, pursuant to section 6(b)(8)
of the OSHA Act (20 U.S.C. 655(b)(8)), OSHA also reviewed the ANSI
national consensus standards on sanitation (ANSI Z4.1-1995 and Z4.3-
1995 (Ex. 38 at Ex. 3-6 and 3-8)), and incorporated relevant provisions
into proposed Sec.  1915.88. ANSI Z4.1 addresses general sanitation in
workplaces, while ANSI Z4.3 covers non-sewered waste disposal systems.
    As mentioned, most of the changes in Sec.  1915.88 reflect changes
in technology and sanitation practices that have developed since the
original standards were adopted. Further, the standard is designed to
be more flexible than the existing requirements. The final rule also
introduces a new term, "sanitation facilities" (defined in Sec.
1915.80), to cover the wide range of facilities that employers must
provide to ensure that employees' "health and personal needs" are
met. Sanitation facilities include drinking water, toilets,
handcleaning facilities, showers, changing rooms, and eating and
drinking areas. The term also includes the supplies for those
facilities, such as toilet paper, towels, soap, and waterless cleaning
agents.
Paragraph (a)--General Requirements
    Paragraph (a) incorporates a series of general requirements on the
accessibility, adequacy, and maintenance of sanitation facilities in
shipyards. It simplifies the existing standards, and makes them apply
more uniformly throughout the shipyard.
    A sanitation facility cannot meet employees' health needs unless it
is accessible, adequate, and properly maintained. For instance, if toilets
are provided but are located far away from the worksite, employees may
have to refrain from using the facilities or from drinking an adequate
amount of liquids during the workshift. Employees may refrain from
using toilets, particularly portable ones, that are dirty, not serviced
regularly, or require a long wait. These actions can result in
significant adverse health effects (Ex. 62).
    Paragraph (a)(1), like the proposed rule, requires that sanitation
facilities be (a) adequate and (b) readily accessible. Employers must
provide sanitation facilities that meet both requirements in order to
be considered in compliance with this paragraph.
    Adequate sanitation facilities. This final standard at Sec.
1915.88 specifies a general requirement regarding the minimum number of
facilities that employers must provide (for example, 1 toilet for every
15 employees per sex, 1 shower for every 10 employees per sex,
handwashing facilities at each toilet facility). OSHA included this
general requirement in the final standard for several reasons. First,
employers will be in compliance with the requirement to provide
sanitation facilities only if they provide facilities that are adequate
for the number of employees in the workplace. Second, as discussed in
Sec.  1915.80, the definition of "sanitation facilities" includes
supplies for those facilities, such as toilet paper, towels, soap, and
waterless cleaning agents. Paragraph (a)(1) reinforces the requirement
that supplies for sanitation facilities also must be adequate. Third,
sanitation facilities must be clean and well maintained to be
considered adequate for the use of workers. This requirement for
adequate sanitation facilities covers, generally, the specific
requirements that are described in more detail below.
    Readily accessible. Ready access to sanitation facilities helps to
protect employee health and reduce the risk of adverse health effects
by increasing the likelihood that workers will use the facilities. For
example, a lack of ready access to drinking water can result in
dehydration, which can be fatal, especially in hot and humid working
conditions.
    The existing sanitation rules that are applicable to shipyard
employment, unlike the sanitation standards for marine terminals,
longshoring, and agriculture (Sec. Sec.  1917.127, 1918.127, 1928.110),
do not directly address the accessibility of sanitation facilities.
Paragraph (a)(1) remedies this omission with a performance-based
requirement.
    For sanitation facilities to be considered "readily accessible,"
employees must be able to reach the facilities quickly without facing
obstacles. OSHA recognizes that ready accessibility depends on the type
of sanitation facility, the sizes and locations of worksites, and the
physical characteristics of the shipyard. In small shipyards,
sanitation facilities may be readily accessible if they are located in
one area. However, in cases where worksites are large and spread out,
sanitation facilities (for example, toilets, handwashing facilities,
drinking water) located in only one location likely would not be
considered readily accessible.
    Sanitation facilities also must be readily accessible to employees
who work on vessels as well as landside. When employees work on small
vessels, sanitation facilities may be readily accessible if they are
located dockside. However, when employees work on a large vessel, they
may not be able to get to facilities quickly enough if such facilities
are located only on the dock. Sanitation facilities may need to be
located on deck, or in various places throughout the vessel, to ensure
that employees have ready access when they need to use them. When the
ship's toilet and handwashing facilities are not available to shipyard
employees working on vessels (for example, the ship is being built or
systems are turned off during repair), the employer needs to make other
arrangements to ensure that such facilities are readily accessible.
    A number of stakeholders said they make sanitation facilities
readily accessible to employees working on vessels, particularly when
workers are not able to use the vessel's plumbed facilities (Exs.
101.1; 119.1; 124; 126; 128; 130.1). General Dynamics, for instance,
said their "long standing practice is to provide portable toilets
aboard ships" (Ex. 119.1). Other stakeholders said they provide
portable toilets on vessels "precisely because we can't use the
plumbed systems onboard a vessel" (Exs. 101.1; 105.1; 124; 126; 128;
130.1). Allen Rainsberger of Foss Maritime said that, to ensure toilet
facilities are readily accessible for employees working on vessels,
especially when vessel plumbing is tagged out, they provide portable
toilets "out on the piers that are away from the main facility where
the majority of toilets are" (Ex. 198, pp. 22-23).
    Determining whether sanitation facilities are readily accessible is
also related to how frequently they must be used during a workshift.
For example, changing rooms and eating areas that are used only once or
twice during a workshift may not need to be as close to the work area.
By contrast, drinking water should be located at or in close proximity
to the employee's immediate work area, especially during hot and humid
weather. Employees who perform heavy manual labor, work with heat-
producing equipment, or must spend time in spaces that are not well
ventilated or air conditioned need to have enough drinking water close
at hand to prevent dehydration. Northrop Grumman Shipbuilding--Newport
News said that they make special arrangements to ensure employees
working in insolated areas have enough drinking water:

    Ensuring * * * water is available and consumed by employees is
an important factor in preventing heat-related injuries. * * * For
more isolated work or jobs with a greater heat burden, we provide
large thermoses for ice and water from onsite commercial sized ice
makers and potable water sources (Exs. 116.2; 120.1).

    As mentioned, the requirements in paragraph (a)(1) are stated in
performance-based language. One stakeholder said the language in this
provision was unclear and ambiguous and requested that OSHA define
"readily accessible" (Ex. 121.1). However, when OSHA requested
comment on whether the final rule should contain more specific
requirements for the location of sanitation facilities such as the \1/
4\-mile maximum distance for portable toilets in the field sanitation
standard for agriculture (29 CFR 1928.110(c)(2)(iii)) or the 200-foot
requirements in the ANSI Z4.1 standard (Ex. 38, Sec. Sec.  5.1.1 and
6.1.2), only the National Institute of Occupational Safety and Health
supported that approach (Ex. 129.1). Other stakeholders, including
Northrop Grumman--Newport News, stated that OSHA should not specify
locations or travel distances for sanitation facilities, such as
toilets:

    Toilets are already installed per local and state building and
plumbing codes. In the case of non-fixed facilities, such as ships
and modules, toilets are located as close to where employees are
working as feasible.* * * We recommend that OSHA maintain
performance based language relative to placement * * * of toilet[s]
(both sewered and portable) (Exs. 116.2; 120.1).

    After reviewing the record and considering the comments received,
OSHA believes that the performance-based approach will enable
employers, who are in the best position to assess the needs of their
particular worksites, to determine where to install sanitation
facilities so that they are readily accessible. Thus, OSHA decided not
to specify a minimum time or distance to sanitation facilities.
    Paragraph (a)(2) clarifies OSHA's longstanding policy that
employers must supply and maintain sanitation facilities at the
worksite in a clean, sanitary, and serviceable condition. OSHA defines
"serviceable condition" in Sec.  1915.80 as the state or ability of a
device to operate as prescribed by the manufacturer. Obviously, toilets
that do not flush, water faucets that do not turn on, and water
fountains that do not dispense a suitable stream for drinking are
examples of facilities that are not in a "serviceable condition." The
current general industry standard specifies that employers must keep
all places of employment clean (Sec.  1910.141(a)(3)(i)). Paragraph
(a)(2) incorporates the existing general industry language that
lavatories must be maintained in a sanitary condition (Sec.
1910.141(d)(1)). Paragraph (a)(2) also adds the requirement for
employers to maintain sanitation facilities in a serviceable condition.
    Regarding how often sanitation facilities are serviced, the U.S.
Navy stated:

    The frequency of servicing and cleaning varies from daily to
weekly, based on the type of facility, number of employees serviced
and location and is addressed via contracts with janitorial services
and portable toilet vendors (Ex. 132.2).

Sound Testing, Inc., stated:

    It's a fact that the toilets in any institution, facility or
industry may become 'unclean' or 'un-sanitary' after one use! We
hope that OSHA doesn't intend to require the employers be
responsible for cleaning these toilets immediately after each use,
or each time they become not 'clean' or not 'sanitary'. It's more
practical and applicable to encourage the employers to maintain a
regular housekeeping schedule of some sort (Ex. 121.1).

    OSHA considered the above comments from the U.S. Navy and Sound
Testing, Inc., and revised the language in paragraph (a)(2) to require
that employers establish and implement a schedule for servicing,
cleaning, and supplying each facility to ensure that it is maintained
in a clean, sanitary, and serviceable condition. Sanitation facilities,
especially toilet facilities, will become unsanitary if cleanings are
spaced too far apart. Thus, employers need to ensure that they
establish cleaning schedules sufficient to provide employees with clean
and sanitary facilities. This requirement may mean adjusting schedules
to add cleaning if the sanitation facility receives an increased level
of usage. The Agency believes that a non-prescriptive approach that
permits each employer to determine the necessary cleaning schedule is
entirely appropriate, given that employers are in the best position to
know how often and to what degree their sanitation facilities are used
and, thus, how often they need to be cleaned, whether by in-house staff
or an outside janitorial service.
Paragraph (b)--Potable Water
    The current requirements found in the general industry standard at
Sec.  1910.141(b)(1) have been simplified and incorporated into subpart
F in paragraph (b), which requires that employers provide adequate
potable water from sanitary dispensers at all worksites. Paragraph
(b)(1) of this final rule requires that employers provide potable water
for all employee health and personal needs. In addition, the employer
must ensure that only potable water is used for these purposes.
Paragraph (b)(2) requires the employer to provide an adequate amount of
potable water for all employees' health and personal needs. Paragraph
(b)(3) requires that employers dispense drinking water from a fountain,
a covered container with single-use drinking cups stored in a sanitary
receptacle, or single-use bottles. Further, the employer must not
permit the use of shared drinking cups, dippers, or water bottles.
    Since the adoption of the general industry standard for potable
water, the use of single-use water bottles has become commonplace. OSHA
understands that some employers provide bottled water in single-use
size for employees who work in mobile crews or in areas where it is not
possible to install water fountains, such as on vessels and vessel
sections. Provided that bottles of water are not shared among
employees, OSHA believes this method of dispensing water is at least as
effective in preventing contamination as dispensing water from water
fountains or covered containers. The U.S. Navy supported the addition
of using single-use bottles:

    Single use drinking water bottles should be a recognized option.
Single use drinking water bottles are provided to supplement
permanent facilities on a case by case basis as needed (for example,
in remote locations during dry-docking evolutions during summer
months) (Ex. 132.2).

    OSHA believes that allowing employers to provide single bottles of
water gives them greater flexibility in complying with the potable
water requirement and, therefore, is carrying forward the language as
proposed.
    OSHA considered adding a provision to the final standard requiring
employers to ensure that drinking water is "suitably cool," a
requirement from OSHA's field sanitation standard for agricultural work
(Sec.  1928.110(c)(1)(ii)). The preamble to that standard explained
that, in hot and humid conditions, the temperature of drinking water
needs to be low enough to encourage employees to drink and cool their
core body temperature (52 FR 16050, 16087, May 1, 1987). Some shipyard
employees also work in extremely hot and humid environments. Cool water
could help promote adequate hydration and reduce the risk of heat-
related illnesses. OSHA requested comment on this issue in the
proposal, and three stakeholders responded. Northrop Grumman
Shipbuilding--Newport News stated:

    Ensuring cool water is available and consumed by employees is an
important factor in preventing heat-related injuries. We utilize
plumbed drinking water fountains that provide cool water. For more
isolated work or jobs with a greater heat burden, we provide large
thermoses for ice and water from onsite commercial sized ice makers
and potable water sources. Employees use individual containers to
obtain water from these thermoses. Employees are also encouraged to
bring and consume personal drinks, such as water and sports drinks.
We hold an emergency contract for bottled water in the event of a
power outage (Exs. 116.2; 120.1).

    The U.S. Navy commented: "The term 'suitably cool' is too
subjective and should not be part of the requirement. Water is supplied
for fluids replenishment and is kept shaded or in thermal coolers to
prevent overheating prior to use" (Ex. 132.2). NIOSH commented: "It
would be useful to include in this rule the definition for 'suitably
cool' " (Ex. 129.1).
    While there is little doubt that water should be "suitably cool"
for health and palatability reasons, OSHA believes that employers are
already providing cool water or have a means to keep water cool for
their employees working in hot or humid conditions. Therefore, OSHA is
not adding a specific requirement that drinking water be maintained
suitably cool. No other comments were received regarding paragraph (b).
Paragraph (c)--Non-Potable Water
    Paragraph (c) combines and simplifies the current general industry
provisions on non-potable water, found in Sec. Sec.  1910.141(b)(2)(i)
and (iii). OSHA condensed and incorporated these current provisions
into subpart F as Sec. Sec.  1915.88(c)(1) and (2). OSHA will not carry
forward Sec.  1910.141(b)(2)(ii), which addresses the construction of
non-potable water systems, since State and local codes currently
address this issue.
    Paragraph (c)(1) permits employers to use non-potable water for
purposes such as firefighting and cleaning outdoor premises, so long
as it does not contain chemicals, fecal matter, coliform, or other
substances at levels that may create a hazard for employees. Sound Testing,
Inc., commented:

    Non-potable water used for other purposes such as firefighting
and cleaning outdoor premises might be pumped up from rivers, lakes,
ponds, canals, bayous, bays, etc. * * * (Some city ordinances, USCG,
and state environmental laws do not permit this practice.) The water
from many of these sources most likely contains low doses of various
kinds of chemicals, drugs, hormones, heavy metals, organics, FOGs,
and possibly fecal matter and coliform from humans or animals.
Hence, the term non-potable water.
    The contaminants in these waters may vary by the minute. It
might be costly if the employers were not allowed to use these
waters in non-potable operations. It would definitely be more costly
and almost impossible for the employers to have to test for all of
the contaminants in the water prior to each use.
    Would you consider allowing the use of gloves, or appropriate
PPEs and the use of proper decontamination for those employees
affected? We believe it would be much more effective, feasible, and
realistic (Ex. 121.1).

    OSHA recognizes that contaminants may be found in water pumped from
rivers and lakes and that the use of PPE, in accordance with 29 CFR
1915 subpart I, Personal Protective Equipment, would be a good safety
and health practice that employers should adopt when working with non-
potable water. In fact, employees who are using non-potable water are
most likely already utilizing PPE. During firefighting activities, for
example, firefighting gear offers protection from both heat and
exposure to potentially hazardous substances in non-potable water used
to extinguish fires. However, while the use of PPE may protect the
employees using the non-potable water, there is no guarantee that other
affected employees will be protected as well. Should water particles
become airborne, such as during a fire response, or if there is residue
from contaminated water used to clean a surface where employees will be
working, the potential still exists for those employees to be exposed
to a hazardous substance present in the non-potable water. Therefore,
to protect all employees engaged in shipyard employment, OSHA is
carrying paragraph (c)(1) forward in this final standard as proposed.
    Paragraph (c)(2) requires that the employer clearly mark non-
potable water supplies and outlets as "not safe for health or personal
use." The existing general industry standard that is applicable to
shipyard employment, Sec.  1910.141(b)(2)(i), requires that outlets for
non-potable water, such as water for industrial or firefighting
purposes, be posted or otherwise marked to clearly indicate that the
water is unsafe and is not to be used for drinking, cooking, or washing
the following items: people, clothes, food, cooking or eating utensils,
food preparation or processing premises, and personal service rooms.
This requirement is similar to some State and local laws that require
the labeling of non-potable water. No comments were received on this
paragraph. OSHA concluded that marking non-potable water supplies and
outlets as "not safe for health or personal use" is necessary to
protect workers from inadvertent ingestion of or exposure to
contaminants in non-potable water and is therefore carrying this
language forward as proposed.
Paragraph (d)--Toilets
    Paragraph (d) adopts the existing requirements on sewered toilets
found in the general industry standards, Sec.  1910.141(c)(1)(i) and
(ii), which are applicable to shipyard employment and which have been
reorganized for clarity in this paragraph (d). In addition, and as
proposed, OSHA included paragraph (d)(3), covering portable toilets,
which are not addressed in the general industry standard.
    Due to the addition of portable toilets in paragraph (d)(3), OSHA
proposed to replace the existing term "toilet facility" with the
terms "sewered toilet facility" and "portable toilet facility."
However, this final standard adopts the simpler terminology "sewered
toilet" and "portable toilet." These terms are used in the current
ANSI Z4.1 and Z4.3 standards, respectively (Exs. 38 at Ex. 3-6, Sec.
2.4, and Ex. 3-7, Secs. 2 and 5). OSHA defines these terms in Sec.
1915.80 as follows: a "sewered toilet" is "a fixture that is
connected to a sanitary sewer, septic tank, holding tank (for example,
bilge), or on-site sewage disposal treatment facility, and that is
flushed with water," while a "portable toilet" is "a non-sewered
portable facility that may be either flushable or non-flushable." In
the final standard, toilet requirements are separated into four
paragraphs: (d)(1) includes the general requirements that will be
applicable to both sewered and portable toilets; (d)(2) includes the
requirements for the number of toilets; (d)(3) covers the requirements
for portable toilets; and (d)(4) includes an exception to provide
toilets at normally unattended worksites.
    Paragraph (d)(1)(i), which was proposed as (d)(1)(ii), requires the
employer to ensure that both sewered and portable toilets provide
privacy at all times. When a toilet facility contains more than one
toilet, each toilet shall occupy a separate compartment with a door and
either walls or partitions that are sufficiently high to ensure
privacy. Paragraph (d)(1)(ii) requires that the toilets be separate for
each sex, except as provided in (d)(1)(ii)(B). In paragraph
(d)(1)(ii)(A), the number of toilets provided for each sex is based on
the maximum number of employees of that sex present at the worksite at
any one time during a workshift. A single-occupancy toilet room is
counted as one toilet regardless of the number of toilets it contains.
Paragraph (d)(1)(ii)(B) specifies that an employer does not have to
provide separate toilets facilities for each sex if they will not be
occupied by more than one employee at a time, can be locked from the
inside, and contain at least one toilet. The requirements of paragraph
(d)(1) are noncontroversial and do not represent a departure from
current regulations in shipyard employment. They simply codify privacy
and convenience conditions that have become well established in the
workplace and contribute to employees' health and well-being.
Therefore, these requirements are being carried forward in this final
standard.
    The Agency is adding a provision to this paragraph that requires
the employer to establish and implement a schedule for maintaining
toilets in a clean, sanitary, and serviceable condition. This
requirement is included in paragraph (a)(2) but applies to all
sanitation facilities. For emphasis, OSHA repeated this requirement for
toilets in paragraph (d)(1)(iii). This provision requires each employer
to set up and carry out a cleaning schedule to meet employees' health
needs. Portable toilets that are not properly serviced can become
unsanitary and foul, thereby exposing employees to contaminants or
causing them to avoid using the facilities. OSHA believes this
requirement will not impose an unreasonable burden on employers who are
already cleaning toilets on a regular basis. Furthermore, it reinforces
the employer's duty to maintain sanitary conditions for employees who
must use the workplace toilet facilities.
    Paragraph (d)(2) specifies, in Table F-2, the minimum number of
toilets for each sex and allows for urinals to reduce the number of
required toilets in men's facilities. Proposed paragraph (d)(2)
retained the existing requirements of the general industry standard for
the minimum number of sewered toilets employers must provide for each
sex (see Table J-1 of Sec.  1910.141). This provision raises two
issues: first, the ratio of 1 toilet for every 15 employees; and second,
the proposed ratio being for sewered toilets only.
    Regarding the first issue, the proposed provision required a basic
ratio of 1:15 sewered toilets to employees. While the ratio slightly
decreases with the number of employees at the worksite (see Table F-2
of paragraph (d)(2)), the basic requirement is commonly referred to as
a ratio of 1 toilet for every 15 employees, and OSHA will use that
convention. OSHA adopted the 1:15 ratio (Table J-1 of Sec.  1910.141)
from the 1968 ANSI Z4.1 standard through notice-and-comment rulemaking
in 1973 (38 FR 10930, 10931 May 3, 1973). It has been the general
industry standard since that time. In contrast, ANSI has revised the
ratio to one toilet for every nine employees (ANSI Z4.1-1995).
    In the proposal, OSHA requested comment on whether the Agency
should retain the 1:15 toilet ratio from the existing standard, or
adopt the 1:9 ratio from the current ANSI Z4.1 and IPC 2003 standards.
The U.S. Navy stated that:

    In general, facilities (including industrial and support areas
to which the standard applies * * * ) are designed to meet or exceed
the current version of the international plumbing code (IPC) and are
upgraded accordingly during normal renovation cycles (Ex. 132.2).

The American Shipbuilding Association argued that OSHA should reference
State or local codes:

    State or local building or plumbing codes should be utilized
instead of the [1:9 toilet-to-employee ratio] proposed. This
involves sewer and plumbing systems infrastructure. It is not just a
matter of buying more toilets (Ex. 168, p. 236).

    Other employers supported OSHA's current ratio. For example, Todd
Pacific Shipyard testified that they believed the ratio of 1:15 was
sufficient (Ex. 198, p. 31). Northrop Grumman-Newport News stated:

    Our review of this issue indicates that the existing number of
toilets in 29 CFR 1910.141 and proposed Table [F-2] to Subpart F is
adequate to meet employee needs. * * * Adopting the ANSI Z4.1 ratio
would result in a 25 percent increase in toilets. This could pose
significant costs in infrastructure, space utilization, and
maintenance costs (Exs. 116.2; 120.1).

    OSHA recognizes that State and local plumbing codes may differ from
OSHA requirements. If those codes are more stringent than OSHA's
regulations, employers may have a duty to comply with the more
stringent requirements. However, where State or local codes are silent
on the issue of toilet ratios, or where these codes are less stringent
than OSHA's 1:15 ratio, employers must comply with OSHA's requirements.
OSHA concluded that Table F-2 in paragraph (d)(2) sets forth the
appropriate number of toilets for shipyard employment. These numbers
have been the standard for nearly four decades, and OSHA did not
receive any comments strongly disagreeing that the 1:15 ratio is
inadequate. Thus, employers will be required to follow Table F-2 in
subpart F to ensure that the minimum number of toilets is provided for
employees. In addition, a note has been added to Table F-2 that
clarifies that, when toilets will be used only by men, urinals may be
provided instead of toilets. However, the number of toilets may not be
reduced to less than two-thirds of the minimum specified. No comments
were received on this note to Table F-2.
    The second issue was that the proposal included only sewered
toilets in the minimum number of toilets. Many employers challenged the
Agency's proposal to limit the minimum number of required toilets to
only sewered toilets. Further, commenters provided examples of
situations in which the requirement for a fixed number of sewered
toilets would be infeasible or impracticable, including: (1)
Fluctuations in employee populations, making it difficult to plan for
an adequate number of sewered toilets (Exs. 119.1; 132.2; 168, p. 236;
198, p. 202); (2) remote locations, such as graving or dry docks,
piers, or other locations where it would be impracticable to run proper
piping to install sewered toilets (Exs. 105.2; 168, p. 153; 198, p.
23); (3) ship's sewage systems that may be unavailable to workers
because they are shut down for repair, use of the ship's sewage system
would result in the discharge of waste directly overboard in violation
of environmental laws, or employees are at a location on a vessel that
is far from a working sewered toilet (Exs. 99; 107; 104.1; 116.1;
120.1; 198, p. 23); and (4) fishing vessels that do not have sewage
holding tanks or adequate tank capacity for human waste, and that do
not have moorages with sewered facilities, thereby requiring the vessel
to discharge sewage directly over the side (Exs. 105.2; 199 p. 261).
    Nearly all employers that commented or testified advocated
flexibility for employers to provide portable toilets for employees
when the installation of sewered toilets is infeasible or
impracticable. General Dynamics commented:

    Sewered toilets can often not be placed in a position that is
considered readily available on board ships in the water. The long
standing practice is to provide portable toilets aboard ships. * * *
Furthermore, the use of portable toilets accommodates the movement
of employees within the shipyard (Ex. 119.1).

American Seafoods Corporation explained:

    For many small and medium vessels [meeting the minimum number of
sewered toilets] is impossible as many moorages do not offer sewer
connections, and the vessels do not have adequate tank capacity to
store sewage and waste water onboard (Ex. 199, p. 261).

American Seafoods further commented:

    The reason ships, ship yards, ship repair facilities and fishing
vessels use PORTABLE Toilet Facilities is that the "Sewered
Facilities" are either shut down for repair or shut down because
they are not permitted to be used due to environmental discharge
issues. Many smaller vessels do not have sewage holding tanks and do
not have the ability to connect to dockside sewer connections,
should any such connections exist. Therefore the only "Sewered
Facilities" available at what are often Municipal Docks are
frequently a considerable distance away from the vessel (they tend
to be built on shore). Portable toilets are used precisely because
we cannot use the plumbed systems on a vessel (Ex. 105.1).

    Todd Pacific Shipyard testified: "There are some [portable
toilets] available out on the piers that are away from the main
facility where the majority of the toilets are" (Ex. 198, p. 23).
    OSHA's standards for marine terminals, longshoring, construction,
and agricultural field sanitation all permit the use of portable toilet
facilities (Sec. Sec.  1917.127(a)(1)(iv); 1918.95(a)(1)(iv);
1926.51(c)(3); 1928.110(b); see also ANSI Z4.1 Sec. 2.9 and 6.4). In
addition, OSHA issued an interpretation letter on May 18, 1999,
indicating that the Agency would regard the substitution of portable
toilets for water closets as a de minimis departure from Sec.
1910.141(c)(1)(i) if the following circumstances were met: (1) The lack
of water or the temporary nature of the installation makes water
carriage systems impracticable; (2) the portable toilets are readily
accessible by employees; (3) the portable toilets have adequate
lighting, are secure, and have heating as necessary; and (4) they are
well-maintained and properly serviced (Ex. 23; OSHA letter of
interpretation to Michael G. Connors, May 18, 1999).
    Based on comments and testimony in this rulemaking, as well as OSHA
regulations and policy for other workplaces, the Agency amended
proposed paragraph (d)(2) by including both sewered and portable
toilets within the minimum requirements for toilets. Sewered toilets that
are already installed, such as in facilities and shops, must be maintained
as long as the worksite is still in operation. It is not the purpose of
this final rule to allow the employer to provide only portable toilets.
In addition, shipyard employers should periodically reevaluate the number
of employees using sewered toilets to determine if the number of toilets
needs to be adjusted. For example, if employees on their way to a pier
walk through a shop that has sewered toilets and use those facilities,
the employer must accommodate any increased use of those toilets.
    Proposed paragraph (d)(3) permitted employers to provide portable
toilets in addition to the requirements for sewered toilets in Table F-2.
However, several employers objected to this language, arguing, as
discussed above, that there are times when it is not possible to
install sewered toilets. For example, American Seafoods Company
suggested, "Perhaps this section should read [,] 'In Lieu of the
required sewered toilet facilities' instead of 'in addition to'?" (Ex.
105.1). Based on the many comments and testimony on the issue of
portable toilets in shipyards, proposed paragraph (d)(3) has been
revised and reorganized into two subparagraphs. Paragraph (d)(3)(i)
requires that, any time the employer demonstrates that it is infeasible
to install sewered toilets, or when there is a temporary increase in
the number of employees for a short duration, the employer provide
portable toilets to meet the minimum number of required toilets listed
in paragraph (d)(2)(i) and table F-2 of this section. Such situations
might arise when work is being performed at piers, on ships, in dry
docks, or at remote work areas. Other circumstances might include when
employers have an influx of temporary employees, where temporary
employees are those employed for a limited time only, or whose
performance is contemplated for a particular piece of work, usually of
short duration. OSHA concluded that allowing the use of portable
toilets when an employer demonstrates that it is infeasible to install
sewered toilets in shipyard employment will enhance employee health and
well-being because these sanitation facilities will be more accessible
and, thus, more likely to be used. This option is particularly
important in work areas on vessels, where a significant portion of
shipyard employees work and where sewered facilities for workers may
not be practicable. Therefore, new paragraph (d)(3)(i) will be carried
forward in this final standard to require the employer to provide
portable toilets when the employer demonstrates that it is not feasible
to provide sewered toilets, or when there is a temporary increase in
the number of employees.
    This provision is further justified by the significant improvements
in portable toilet technology in recent years. Portable toilets now
contain the type of equipment necessary to provide for employee health
needs at levels close to that of the existing standard for sewered
toilets. For example, many portable toilets are now manufactured with
handwashing facilities that include hand towels, waste receptacles, and
either running water or waterless cleaning agents. In addition, some
portable facilities have flushable toilets (Ex. 13). Allowing employers
to provide portable toilets in certain situations will ensure adequate
and readily accessible facilities without adding construction expenses
and inconvenience.
    Paragraph (d)(3)(ii) has been modified from proposed (d)(3), and
requires that employers ensure that each portable toilet is vented and
equipped, as necessary, with lighting. In the proposal, OSHA specified
that portable toilets were required to be equipped with adequate
venting and, as necessary, lighting and heating. The American
Shipbuilding Association testified, "When is it necessary to provide
heating and lighting in a portable toilet facility? I cannot recall
ever seeing such a facility that is equipped to provide either heating
or lighting" (Exs. 104.1; 107.1). American Seafood Corporation also
objected to the venting and heating requirements for portable toilets:

    Adequate Venting?--We personally have never met a Portable
Toilet Facility that was "Adequately Vented" and there were years
of "Portable Toilet Facility Experience" in the rooms during the
discussions. Adequate Lighting?--Again, we have personally never
seen Portable Toilet Facilities that had extra lighting. Heating?--
Again we are at a loss. What supplier provides pristine portable
toilet facilities that have reading lights, vent fans, and
heaters?" (Ex. 105.1).

While there are portable toilets that do have venting systems, heat,
air conditioning, and lighting, they are expensive. Fishing Vessel
Owners Marine Ways, Inc., testified:

    [T]he cost associated with portable toilets is a difference of
$85 per week for a toilet that is unheated and equipped with hand
sanitizer which includes regular inspections and servicing needs as
compared to greater than $2000 a week for portable facilities
equipped with heat and running water, plus additional costs for
servicing (Ex. 198, p. 202).

    OSHA will not impose these costs on employers or require that this
type of facility be used in the workplace. Based on the comments
received, OSHA revised this provision by eliminating the requirement
for employers to ensure that portable toilets are equipped with
heating. However, paragraph (d)(3)(ii) requires employers to provide
portable toilets that are vented and equipped, as necessary, with
lighting. Lighting would be necessary during workshifts occurring at
night, or in areas where there is not sufficient lighting. While the
standard does not require exhaust fans in portable toilets, some
venting is necessary (for example, ceiling louvers and stovepipe vents)
for employee comfort, health, and well-being.
Exception
    Proposed paragraphs (d)(4) and (e)(3) exempted employers from
providing toilet and handwashing facilities for mobile crews and for
employees working in normally unattended worksites, provided that these
employees have immediately available transportation to readily
accessible sanitation facilities that meet the requirements of this
section. Final paragraph (d)(4) retains the exemption for toilet
facilities. This exemption implicitly extends to handwashing facilities
in paragraph (e)(1), which requires employers to provide handwashing
facilities at each toilet facility. The availability of vehicles at a
worksite does not necessarily mean that the employees at that worksite
are a "mobile crew." OSHA interprets the term "mobile crew" to be
limited to employees who continually or frequently move from jobsite to
jobsite on a daily or hourly basis, and to exclude employees who report
to a single worksite for days, weeks, or longer (Ex. 31; OSHA letter of
interpretation to Nicolas Mertz, June 7, 2002).
    For purposes of these exceptions, "immediately available
transportation" means that the vehicle is already at the specific
worksite or can be summoned quickly enough so employees are able to get
to facilities quickly. OSHA interprets "nearby" facilities as being
within ten minutes of the employee's work area (Ex. 31). Nearby toilets
must be in clean, sanitary, and serviceable condition, and adequate for
the number of employees who need to use them. Nearby handwashing
facilities must be equipped with waterless cleaning agents or soap,
water (for example, hot and cold, or lukewarm), and hand towels or air
blowers.
    The U.S. Navy supported this provision, stating, "The proposed
exemptions are adequate" (Ex. 132.2). No other comments were received.
OSHA has carried forward paragraph (d)(4) in the final standard.
Paragraph (e)--Handwashing Facilities
    Paragraph (e)(1) requires that handwashing facilities be located at
or adjacent to each toilet facility, sewered and portable toilets
alike. This provision is necessary, in major part, to ensure that
employees' health needs are met in those worksites where portable
toilets are or will be used. Some portable toilets are not equipped
with handwashing facilities, and separate or stand-alone facilities are
not always placed next to or close to portable toilets, particularly on
vessels and vessel sections. Often, employees must go to landside
facilities, which may be located a significant distance from the work
area, to clean their hands. As a result, employees may not be able to
clean their hands when they are exposed to contaminants, after using a
portable toilet, or before eating, drinking, or smoking, which puts
them at risk of adverse health effects.
    OSHA believes the use of performance-based language gives employers
compliance flexibility, even at worksites where there is a lack of
piped water or sewer lines. As stated previously, many portable toilets
manufactured today contain either handwashing facilities or waterless
cleaning agents. In addition, portable, stand-alone hand-cleaning
facilities are readily available and can be placed adjacent to portable
toilets. A single stand-alone handwashing facility may be able to serve
several portable toilets that are placed in one location. The U.S. Navy
supported this provision: "We agree that requiring provisions of
handwashing facilities at or adjacent to toilet facilities is
reasonable and appropriate" (Ex. 132.2). No other comments were
received. OSHA has carried forward paragraph (e)(1) in this final
standard as proposed.
    Paragraph (e)(2)(i) requires employers to equip handwashing
facilities with (1) soap and either hot and cold or lukewarm running
water; or (2) waterless cleaning agents that can disinfect the skin or
neutralize contaminants. Most of OSHA's other sanitation standards
require that handwashing facilities have soap and running water
(Sec. Sec.  1910.141(d)(2)(ii) and (iii); 1910.142(f)(3);
1917.127(a)(1)(i) and (ii); 1918.95(a)(1)(i) and (ii); 1928.110(b)).
However, the Bloodborne Pathogens (BBP) standard permits the use of
alternatives (for example, antiseptic hand cleaners) in limited
circumstances (Sec. Sec.  1910.1030(d)(2)(iii) and (iv)).
    Unlike the BBP standard, paragraph (e)(2)(i) does not restrict the
use of waterless cleaning agents to situations in which the lack of
water or the temporary status of the installation makes running water
infeasible. Work covered by the BBP standard, which in some instances
can require sterile conditions, is quite different from shipyard
employment. OSHA does not believe the limitations in the BBP standard
are necessary for this standard. Nearly all sewered toilets have
handwashing facilities with running water, while waterless agents are
usually used in conjunction with portable toilets. Moreover, whatever
cleaning agents are used, the employer will be responsible for ensuring
that the agents are effective in disinfecting the skin or removing the
contaminants to which employees are exposed. In addition, the employer
should select waterless agents that will not result in absorption of
contaminants, sensitization of the skin, or other adverse health
effects.
    A number of shipyard operations are performed at worksites where it
may be difficult to provide running water and soap. Therefore, OSHA
believes there is a practical need to allow the use of waterless
cleaning and decontamination products in shipyards. Northrop Grumman--
Newport News supported this addition: "Waterless cleaners are provided
whenever non-plumbed portable toilets are present. They have been
received favorably and we have noted no problems" (Exs. 116.1; 120.1).
In addition, the U.S. Navy stated: "The use of waterless cleaning
agents is a viable option, enabling the provision of handwashing
facilities at all toilet facilities. Some waterless hand cleaners are
in limited use in the shipyards, but data is not currently available on
employee's acceptance of this alternative" (Ex. 132.1). OSHA concluded
that waterless cleaners have become widely accepted and used in
workplaces across many industries, and their antibacterial qualities
protect workers from health hazards when water and soap are not
available. Therefore, the Agency is carrying this provision forward as
proposed.
    Paragraph (e)(2)(ii), identical to the proposal, requires that if
the handwashing facility is equipped with soap and water, the employer
must provide clean, single-use hand towels. These towels must be stored
in a sanitary container, and the employer must provide a sanitary means
for disposing of them. Alternatively, the employer may supply clean
individual sections of continuous cloth toweling or an air blower. No
comments were received on this paragraph. Because the requirements of
this provision are noncontroversial, and are standard hygiene practice
in shipyards pursuant to compliance with the general industry standards
at Sec.  1910.141(d)(2)(iv), OSHA is carrying paragraph (e)(2)(ii)
forward with no changes.
    Proposed paragraph (e)(3), an exception to providing handwashing
facilities for mobile crews and at normally unattended work locations,
has been deleted from the final regulation. As noted above, paragraph
(d)(4) exempts employers from having to provide toilets for mobile
crews or at normally unattended worksites. Because handwashing
facilities must be provided at or adjacent to each toilet facility, any
exception to the requirement to provide toilets automatically extends
to handwashing facilities.
    Paragraph (e)(3) in the final rule requires employers to inform
each employee who is engaged in the application of paints or coatings,
or in other operations in which hazardous or toxic substances can be
ingested or absorbed, about the need for removing surface contaminants
from their skin by thoroughly washing their hands and face at the end
of the workshift and prior to eating, drinking, or smoking. This
provision was proposed as paragraph (e)(4), but since proposed (e)(3)
was omitted from the final rule, OSHA renumbered this paragraph as
(e)(3). No comments were received on this provision. Because shipyard
employment can require workers to handle various hazardous or toxic
substances, OSHA continues to believe that employees must be informed
of the need to wash their hands and faces after working with certain
surface contaminants so they can protect themselves from dermal
exposure or exposure through ingestion. Thus, OSHA is carrying forward
this requirement as proposed.
Paragraph (f)--Showers
    OSHA has set forth the requirements for showers in paragraph (f),
which is substantially identical to the general industry standard found
at 29 CFR 1910.141(d)(3). Paragraph (f)(1) specifies that when showers
are required by an OSHA standard, the employer must provide one shower
for each 10, or fraction of 10, employees of each sex who are required
to shower during the same workshift. Paragraph (f)(2) requires the
employer to ensure that each shower is equipped with soap, hot and cold
water, and clean towels for each employee using the shower. No comments
were received on either provision. OSHA has concluded that the shower
requirements are necessary for employee safety and health and have been
a requirement for shipyards through the general industry standard. Carrying
these requirements forward in the final standard thus responds to the
shipyard employment industry's request to consolidate requirements for
general working conditions in shipyard employment into one subpart.
Paragraph (g)--Changing Rooms
    Paragraph (g) sets forth the requirements for changing rooms. When
an employer provides protective clothing to employees to prevent
exposure to hazardous or toxic substances, the employer must provide: A
changing room that offers privacy for each sex (paragraph (g)(1)), and
storage facilities for street clothes, as well as separate storage
facilities for protective clothes (paragraph (g)(2)). Paragraph (g)(1)
is a new requirement, but the provisions in (g)(2) are identical to the
general industry standard, Sec.  1910.141(e), which has applied to
shipyard employment. No comments were received on these provisions.
Therefore, OSHA concluded that the new provision for privacy for each
sex is necessary for workers' health and well-being, as well as
personal comfort and dignity. The rest of paragraph (g) addresses the
shipyard employment industry's preference to consolidate requirements
for general working conditions in shipyard employment into one subpart.
Thus, OSHA is carrying these provisions forward in this final standard.
Paragraph (h)--Eating, Drinking, and Break Areas
    Currently, there are five requirements that address eating,
drinking, and break areas (Sec. Sec.  1910.141(g), (g)(1), (g)(2), and
(g)(4), and Sec.  1915.97(c)). OSHA combined these requirements into a
single provision in subpart F, and simplified the provision to prohibit
food, beverages, and tobacco products from being consumed or stored in
any area where employees may be exposed to hazardous substances.
Proposed paragraph (h) prohibited food, beverages, and tobacco products
from being consumed or stored in any area where hazardous or toxic
substances may be present.
    Many commenters argued that prohibiting eating, drinking, or using
tobacco products whenever hazardous or toxic substances may be present
unreasonably increased the number of areas where employees would not be
able to eat, drink, or smoke (Exs. 105.2; 106.1; 112.1; 121; 101.1;
124; 126; 130.1; 125; 168, pp. 57-58, 245-247). OSHA responded to this
concern in two ways. First, the Agency revised the definition of
hazardous substances in the final rule to mean a substance that may
cause injury, illness, or disease, or otherwise harm an employee by
reason of being explosive, flammable, poisonous, corrosive, oxidizing,
irritating, or otherwise harmful. The proposed definition was much
broader, and raised concerns that eating or drinking would be
prohibited near generally innocuous, but potentially harmful,
substances such as common household cleaning products or copier
cartridges (Ex. 112.1). The narrower definition that was adopted in the
final rule substantially limits the universe of substances that would
trigger the restrictions of this paragraph.
    Second, OSHA deleted the proposed phrase "where hazardous or toxic
substances may be present," and replaced it with "where employees may
be exposed to hazardous or toxic substances." The change in wording
was in response to commenters pointing out that, even if a toxic
substance is present, it is not necessarily a hazard. For example,
American Seafoods Company commented: "If an employee cannot smoke
anywhere 'hazardous chemicals are present' does that mean employees
cannot smoke in the same room in which there is a sealed can of some
chemical?" (Ex. 105.1). The Shipbuilders Council of America commented:

    The proposed language directs that food, beverages, tobacco and
etcetera may not be consumed or stored in areas where hazardous or
toxic materials may be present. SCA believes this is too general.
The nature of a shipyard is such that there is small potential that
every location within the grounds may contain small levels of
hazardous or toxic substances. * * * We believe OSHA should
acknowledge this and alter the language in the section, for
instance, that the employer shall ensure that food, beverages, and
tobacco products are not consumed or stored in any area where
hazardous or toxic substances exists in such a concentration that
they have the ability to harm employees (Ex. 168, pp. 69-70).

    Several other commenters agreed with adding language similar to
that suggested by SCA, including Bath Iron Works, Atlantic Marine
Florida, Atlantic Marine Alabama, American Shipbuilding Association,
and Manitowoc Marine Group (Exs. 106.1; 115.1; 117.1; 118.1; 125). It
is not OSHA's intent to prohibit employees from eating, drinking, or
smoking in areas where unopened cans or containers of hazardous
substances are present. However, employees should not be eating,
drinking, or smoking in areas where they could consume, inhale, or
otherwise ingest hazardous substances. The final provision requires
employers to ensure that employees do not eat, drink, or smoke, or
store food, beverages, or tobacco products in any area where employees
or these items may be exposed to a hazardous substance that is
airborne, on an eating surface, in a refrigerator or other food storage
container, spilled on the floor, or in another similar state or
condition.
Paragraph (i)--Waste Disposal
    Paragraph (i) addresses waste disposal, including the construction
of receptacles, the number of required receptacles, and employees
working around uncovered garbage. The current general industry
provisions that are applicable to shipyard employment, found in
Sec. Sec.  1910.141(a)(4), (a)(4)(i), and (g)(3), have been combined
and reorganized into the following final provisions. Paragraph (i)
requires that the employer provide waste receptacles that are corrosion
resistant, leak-proof, and easily cleaned or disposable (paragraph
(i)(1)(i)); fitted with a solid, tight-fitting cover (paragraph
(i)(1)(ii)); provided throughout the worksite in numbers, sizes, and
locations that promote their use (paragraph (i)(1)(iii)); and emptied
often enough to prevent overfilling, and in a manner that does not
create a hazard for employees, with waste receptacles for food emptied
at least daily unless the receptacles have not been used (paragraph
(i)(1)(iv)).
    Although there were no comments on the specific requirements for
waste receptacles, several commenters questioned who was responsible
for providing waste receptacles, including Lake Union Drydock Company,
Puget Sound Shipbuilders, Dakota Creek Industries, North Pacific
Fishing Vessel Owners Association, and iWorkWise (Exs. 101.1; 124; 126;
128; 130.1). Trident Seafoods questioned, "Is the shipyard or
maintenance facility responsible for the ship's crew waste
receptacles?" (Exs. 104.1; 107.1). Similarly, American Seafoods
Corporation asked, "Is the shipyard responsible for garbage cans on
ships in their yard?" (Ex. 105.1).
    OSHA's Multi-Employer Citation Policy directive (CPL 2-0.124),
which applies to shipyard employment, specifies that on multi-employer
worksites, more than one employer may be responsible and citable for
hazardous conditions that violate OSHA standards. The directive spells
out a two-step process for determining whether more than one is
responsible and citable. Step one involves determining the role of each
employer at a specific multi-employer worksite and whether they fall into
one of the categories (for example, creating, exposing, correcting, or
controlling employer) that has obligations with respect to OSHA requirements.
Step two is determining whether employers' actions are sufficient to meet the
obligations of the applicable employer category.
    Multi-employer worksites engaged in shipyard employment can vary
widely in the categories of employers that may be present and the
factors that may affect the responsibilities of various employers (for
example, whether contract provisions establish control over specific
safety and health issues at the worksite). The directive includes
examples and scenarios of various common workplace situations to help
employers understand their responsibilities in a specific type of
multi-employer worksite. OSHA believes that these examples will provide
useful guidance for determining who is responsible for garbage cans on
vessels in specific situations and specific multi-employer worksites.
    Paragraph (i)(2) specifies that employees are not to work in the
immediate vicinity of uncovered garbage that could endanger their
safety and health. Sound Testing, Inc., commented:

    Please define the terms 'uncovered garbage' or 'garbage.' There
are many instances in Shipyard Employment when workers may be
working on, near, or in the vicinity of 'uncovered garbage.' The
difficulty is in the differentiation of what may look like 'garbage'
and what constitutes actual garbage (Ex. 121.1).

    OSHA does not believe that defining garbage is necessary. The
provision requires that when uncovered waste could endanger employee's
safety and health, they should not work in the vicinity of the waste.
If there is no substance in the receptacle that might endanger them,
they can work near the waste. OSHA is retaining this paragraph with no
changes from the proposal.
    Paragraph (i)(3), identical to the proposal, requires employers to
ensure that employees working beneath or on the outboard side of a
vessel are not contaminated by drainage or waste from overboard
discharges. This paragraph protects employees working in dry docks, or
on piers or decks, from overhead discharge. No comments were received
on this paragraph. The Agency believes that it is common practice in
shipyards not to discharge drainage and waste from above the worksite
onto employees working at the worksite below.
Paragraph (j)--Vermin Control
    OSHA proposed to revise the application of the existing general
industry requirement (Sec.  1910.141(a)(5)) on vermin control to make
the provision more appropriate to shipyard employment. The existing
requirement, Sec.  1910.141(a)(5), specifies that employers clean and
maintain the workplace in a manner that prevents the infestation of
vermin in "enclosed workplaces." Paragraph (j)(1) extends this
application by requiring the employer to take those steps necessary to
control vermin throughout the shipyard. Thus, to comply with this
requirement, employers need to expand their vermin control efforts to
include outdoor worksites. "Vermin" is defined in Sec.  1915.80 as
"insects, birds, and other animals, such as rodents and feral cats,
that may create safety and health hazards for employees." Sound
Testing, Inc., questioned, "Does this definition include animal
species regarded as pests or nuisances and especially to those
associated with the carrying of disease?" (Ex. 121.1). While OSHA
recognizes that many types of animals may be found on shipyard
property, the concern is with animals that are safety and health
hazards. Evidence in the record shows that employees working at outdoor
worksites, as well as in enclosed spaces, need to be protected from the
hazards associated with exposure to vermin (Ex. 22). For example,
employees working near water are at risk of disease if mosquito
populations are not adequately controlled. In addition, birds and
rodents can transmit disease directly, as well as through their feces
(see http://www.hhs.gov and http://www.cdc.gov for information on
vermin-related diseases). Sound Testing, Inc., commented:

    Many of these 'vermin' are often detected in Shipyard
Employment, some are even considered as 'friends' to the employees!
To 'implement and maintain an effective control program' as required
in this section would probably be very expensive, near impossible or
even illegal * * * [S]eagulls and eagles are 'frequent fliers' at
fish processing plants, packing plants, canneries, and fish
processors * * * (Ex. 121.1).

    OSHA recognizes that it is not possible to prevent all vermin,
especially birds and insects, from entering outdoor worksites.
Therefore, the provision retains the existing requirement that
employers take only those steps that are "reasonably practicable" to
prevent vermin infestation.
    Paragraph (j)(2) retains unchanged the existing general industry
requirement applicable to shipyard employment (Sec.  1910.141(a)(5))
that employers implement and maintain an effective vermin-control
program when vermin are detected. OSHA believes that such programs are
necessary to protect workers from the health and safety hazards
associated with uncontrolled vermin. Including this general industry
requirement in the final standard responds to the shipyard employment
industry's request to consolidate requirements for general working
conditions in shipyard employment into one subpart.

Section 1915.89--Control of Hazardous Energy (Lockout/Tags-Plus).

    In Sec.  1915.89, OSHA establishes the requirements for the control
of hazardous energy during the servicing of machinery, equipment, and
systems in shipyard employment. OSHA proposed to incorporate the
general industry standard (Sec.  1910.147), with minor revisions, into
subpart F, since maritime employment is exempt from the general
industry standard (Sec.  1910.147(a)(1)(ii)(A)). In the preamble to the
subpart F proposal, OSHA discussed the need for a comprehensive
lockout/tagout rule in shipyards, why OSHA was proposing to adopt the
general industry approach, the requirements of the general industry
standard, and the differences between Sec.  1910.147 and proposed Sec.
1915.89. The preamble to the proposal also included an in-depth
discussion of the application of the lockout/tagout standard while
servicing commercial vessels (72 FR 72452, 72484, Dec. 20, 2007).
    The Agency received many comments regarding the adoption of Sec.
1910.147 for shipyard employment, most of which were not in favor of
adopting the general industry requirements verbatim. After considering
the many informative comments and testimony OSHA received during the
comment period, the Agency decided to develop a final rule that
includes the substance of the general industry lockout/tagout
provisions, while adding provisions that are more compatible with
protecting workers in shipyard employment. In addition, the
requirements in the final rule have been organized and set forth
differently than the general industry standard due to the unique
conditions in shipyard employment, both on land, and on vessels,
including fish-processing vessels.
    This final standard addresses the control of hazardous energy
through the use of locks and tags-plus applications, employee training,
written program and procedures, and program audits, as well as other
requirements. The provisions in this final rule are based on the Agency's
detailed review and analysis of the entire rulemaking record, which
included all pre-hearing and post-hearing comments from the public, as
well as testimony obtained at the public hearings. The Agency believes
the final approach developed from this information and data resulted in
regulations that are compatible with providing optimal safety in shipyard
employment.
    The following discussion covers the need for a comprehensive
lockout/tags-plus standard in shipyard employment. Further, the
discussion addresses why OSHA has adopted in this final rule a standard
that, while similar to the general industry standard, differs in ways
that protect workers in the unique environment of shipyard employment.
An in-depth discussion of commercial fishing vessels is included in the
scope and application section of this lockout/tags-plus standard (see
summary and explanation of Sec.  1915.89(a)).
The Need for a Comprehensive Lockout/Tags-Plus Standard in Shipyards
    OSHA believes that a comprehensive rule protecting shipyard
employees from hazardous energy during servicing, maintenance, and
repair operations is needed. In the proposal, OSHA listed the following
three reasons why shipyard employment needs a comprehensive lockout/
tagout program (72 FR 72452, 72484, Dec. 20, 2007):
    1. Potential hazardous energy exposures are present throughout
shipyard employment, on vessels and vessel sections, and in landside
facilities (Exs. 9; 11). Employees servicing ships' systems face
considerable risk of injury or death from the energization of those
systems because they are often large and complex, and frequently have
multiple power sources. That risk is compounded when ships' crews and
outside contractors also work onboard the vessel. According to 2002
data from the Bureau of Labor Statistics (BLS) annual survey of
occupational injuries and illnesses, 30.3 percent of the shipyard
injury and illness cases involving days away from work resulted from
contact with an object or equipment, and 1.8 percent of the cases
resulted from being caught in equipment (72 FR 72452, 72484, Dec. 20,
2007). BLS Census of Fatal Occupational Injuries data from 1993-2002
show that 10 shipyard fatalities (6.3% of shipyard work-related
fatalities) resulted from contact with electrical current, and 31
fatalities (19.5%) occurred because of contact with objects and
equipment (72 FR 72484-85).
    2. The general industry lockout/tagout standard specifically
exempts "maritime employment" from its scope (Sec.
1910.147(a)(1)(ii)(A)). In the preamble to the final general industry
standard, OSHA explained that shipyard employment was excluded because
of the unique conditions present in this industry; further, the means
to minimize injuries and fatalities to maritime workers required
additional analysis and consideration, which had not been undertaken
during the lockout/tagout rulemaking (54 FR 36644, 36657-58, Sept. 1,
1989). As a result, OSHA had insufficient information about hazardous
energy in shipyard employment to conclude that the general industry
approach would address those hazards effectively. OSHA said it would
continue to review information on hazardous energy in shipyard
employment, evaluate the need to initiate rulemaking, and determine
whether the general industry rule, or an appropriate modification of
that rule, would provide optimal protection for shipyard employees.
    3. The existing lockout/tagout provisions applicable to shipyard
employment (Sec. Sec.  1910.331-.335, 1915.162-.164, 1915.181) do not
provide comprehensive or adequate protection for shipyard employees.
The existing provisions in 29 CFR 1915 establish specific, but
isolated, practices for controlling hazardous energy, and no provisions
establish a comprehensive program for addressing those risks. For
example, none of the existing part 1915 provisions requires written
lockout/tagout procedures, employee training, verification of
deenergization or isolation, or periodic inspection.
    Commenters supported the reasoning in OSHA's discussion in the
preamble to the proposal regarding the need for a comprehensive
lockout/tagout standard. Several employers stated: "We agree with OSHA
that comprehensive energy control procedures are important and support
OSHA in applying the 'cornerstone' part of the rules to ship repair"
and that "positively securing all energy sources before servicing
equipment and verifying that the energy control has been achieved is an
obvious way to save lives and prevent injury" (Exs. 100.1; 101.1;
105.1; 123; 124; 126; 128; 130.1).
    Some commenters confirmed that shipyard employers, as well as
commercial vessels, are already utilizing a version of lockout, tagout,
or tags-plus in their facilities, and have done so for a number of
years. Manitowoc Marine Group testified that:

    [A]s far as the land base, we do follow the general industry
standard on lockout/tagout. * * * [For vessel and vessel sections]
we have tried to somewhat model the general industry to a point. We
will identify the energy sources as best we can with the crew (Ex.
168, pp. 109-111).

    Northrop Grumman-Newport News, Bath Iron Works, American Seafoods
Company, Foss Maritime, Trident Seafoods, and several other commenters
also confirmed that they use lockout, tagout, or tags-plus in some
fashion for both their landside facilities, and vessels and vessel
sections (Exs. 99; 100; 104.1; 105.1; 107.1; 116.1; 120.1). American
Seafoods Company stated: "Many vessels have implemented some form of
lockout procedures even though maritime has been exempted by OSHA for
the past 18 years" (Ex. 105.1). Arctic Storm Management Group
testified:

    All three vessels have lockout/tagout programs. All three of
them have been tailored to the vessels, because they're different
sizes in different places. I have worked with my engineering staff
and electricians to design the programs, but they are vessel
specific (Ex. 199, p. 90).

    OSHA believes that a comprehensive hazardous-energy control program
is essential for shipyard employment for the reasons listed above, and
as explained in the proposal (72 FR 72452, 72484-85, Dec. 20, 2007). As
discussed below, OSHA is adopting a lockout/tags-plus program, which is
a modified version of the general industry lockout/tagout program. The
shipyard employment lockout/tags-plus standard will establish uniform
minimum procedures that shipyard employers must follow in all shipyard
servicing operations to protect employees on land and on vessels and
vessel sections.
Why OSHA Developed a Modified Version of the General Industry Standard
    In the proposal, OSHA discussed how it determined to follow the
general industry lockout/tagout standard. The Agency listed the
following five reasons, with an in-depth discussion of each reason, in
the proposed rule (72 FR 72452, 72487, Dec. 20, 2007): (1) The general
industry standard has provided effective protection for affected
employees; (2) many shipyard employers have already implemented
lockout/tagout programs modeled on the general industry standard, and
have reported that these programs are effective in reducing the risk of
harm associated with servicing operations; (3) the comprehensive
energy-control procedures, that are the cornerstone of the general
industry standard, are particularly appropriate for addressing
the types of workplace conditions and hazardous energy present in
shipyard employment; (4) shipyard employment also includes landside
operations, which are similar to general industry worksites; and (5)
the requirements of the general industry standard would be effective in
controlling hazardous energy in complex shipyard work environments and
in servicing complex ship's systems because the standard has proven
effective under similar complex conditions in general industry sectors.
    Almost uniformly, the comments on the proposed hazardous-energy
standard disagreed with OSHA's justifications for adopting the general
industry standard for shipyard employment in Sec.  1915.89. As an
example of a recurring concern, Northrop Grumman-Newport News stated:
"The proposed standard is essentially identical to the existing
General Industry standard and does not adequately address the
uniqueness of Shipyard Employment" (Exs. 116.1; 120.1). DeWitt Davis
stated:

    [Section 1910.147] works well when [t]here is one source of
energy and in an assembly line process. Assembly lines are rare in
shipyard construction. * * * [A] cookbook approach [cannot] be
applied to multi-hazardous-energy-source work space (Ex. 122).

    American Seafoods Company pointed out that, in contrast to general
industry operations, shipyard work changes with each new vessel that
needs repair work:

    The complexity in a shipyard does not just arise from the fact
that there are many complex systems but that in large part, the
equipment and systems in a facility completely leave and are
replaced with entirely new ones dozens to hundreds of times per year
(Ex. 105.1).

Moreover, as Northrop Grumman-Newport News discussed, systems on large
vessels are extremely complex and interrelated, may involve thousands
of workers, and may be relatively inaccessible:

    A significant number of energy-isolating devices or authorized
individuals are involved. Overhaul of a nuclear-powered aircraft
carrier typically involves 75,000 energy-isolating device(s) and
over 3,000 authorized employees on a daily basis. * * *
    The energy-isolating device(s) are relatively inaccessible. Many
isolating devices are located remotely from the area of actual work
or are in areas where access is restricted to certain groups of
employees.
    There is interdependence and interrelationship of the system
components. Navy vessels, and to a lesser extent other vessels, are
designed for survivability. As a result, they are designed and
constructed with redundancy in mind. Isolation of components must
take this redundancy into consideration, requiring an extensive
effort to understand, identify, and account for all sources of
energy (Exs. 116.2; 120.1).

Other commenters noted the complexity of vessels' energy systems and
the difficulty that workers, including contractors, have in making
sense of those systems:

    The employees or contractors who perform work on a particular
system are unlikely to have the capability of identifying all energy
sources, either initially based on engineering drawings and
schematics or physically on the ship.
    The employees who perform the work on a particular system are
unlikely to have the capability of coordinating the interface
between multiple jobs that have overlapping points of isolation (Ex.
105.1).

Difficulties in deciphering a vessel's energy system may stem from the
fact that schematics may be outdated:

    Inaccurate or no drawings or schematics--older ships,
particularly commercial or foreign, may no longer have ship's
drawings. Even newer ships may not have been constructed exactly as
indicated on the drawing or the engineering drawings may not have
been updated to reflect alterations.
    Failure to label components--a part of ship construction
includes labeling of the components. Components should be labeled
before they become live. In other cases, labels may be missing,
damaged, or worn (Ex. 105.1).

    At the Washington, DC, public hearing, Northrop Grumman-Newport
News gave a further explanation about the challenges of adopting the
Sec.  1910.147 general industry standard for shipyard employment:

    I think, number one, is the complexity on an aircraft carrier,
for example, you may have 75,000 devices that you are isolating at
any one time. You may have 3,000 people that are engaged in some way
of that lockout/tagout process, so I think sheer volume is one,
complexity is another. It is one thing to talk about lockout and
tagout of an engine lathe in a machine shop, and it is another to
talk about a complex tagout of an electrical system on a nuclear-
powered aircraft carrier. There is just no comparison in the breadth
and depth of those systems (Ex. 168, pp. 250-251).

    Manitowoc Marine Group gave examples of some of the complexities
that they encountered on older vessels it repairs:

    But some of these older vessels actually use belting systems
which will--you will have gates and a cargo hold that will dump the
product on the gate as it is moving, and this belt will eventually
sandwich into another belt, bring it up to the open deck of the
vessel, and into a chute which will unload. So you have got a lot of
complex equipment and motors and drives that [have] to be
identified. And there may be a situation where one energy source may
drive this motor, but you may have another energy source hooked to
it as well, because it has an additional system which drives it (Ex.
168, pp. 113-114).

    Commenters also confirmed that employers who were using the general
industry lockout/tagout standard were struggling in various ways.
American Seafoods Company stated:

    In response to recent accidents, many fishing industry vessels
have reexamined their lockout/tagout procedures and worked to
improve them. Some have used OSHA general industry regulation as a
framework. As a result, they have struggled with application of the
general industry rules to their equipment installations, and
application of those rules to the unique circumstances of work
aboard ships. Unfortunately, the general industry approach is not
one size fits all and has not worked well. The principles are
valuable, while the details of implementation have been difficult
(Ex. 105.1).

    iWorkWise explained how various fishing vessel owners were
attempting to apply Sec.  1910.147 to their vessels but were running
into difficulties:

    [On] some vessels it's with a few specific pieces of equipment,
and some vessels * * * the problem is throughout the whole vessel.
So people are doing the best they can with it, and trying to use
1910 and trying to make it fit, because it's really all anyone has
it for is a guideline. * * * They try to use 1910 until they get to
the point where, oh, it won't work here. Now what? And that happens
I think on every vessel in this industry (Ex. 199, p. 166).

Prowler LLC and Ocean Prowler LLC, as well as American Seafoods
Company, stated:

    We agree with OSHA that comprehensive energy control procedures
are important and support OSHA in applying the 'cornerstone' part of
the rules to ship repair, however we believe that there is much in
the OSHA standard that is not 'cornerstone' material. OSHA should
minimize the requirements that are not performance oriented energy
control procedures to allow employer's real flexibility in creating
effective lockout programs, as well as training programs, that
achieve full energy control (Exs. 100; 105.1).

    Several of the commercial vessel operators and owners at the
Seattle public hearing described their current hazardous-energy-control
procedures. Dave Fraser of FV Muir Milach stated:

    We have remote starts on the bridge for the engine that we use
to drive the hydraulics. So if the chief was going to work on that,
you know, service it, he'd come up, and he'd take a piece of, if
nothing else, duct tape, put it over the starter switch and write on
it, 'Do not start. I'm working on the generator' (Ex. 199, p. 62).

    Supreme Alaska Seafoods described how its Sec.  1910.147 lockout/
tagout program is not meeting its needs:

    We have basically a full-blown lockout/tagout program [modeled
after Sec.  1910.147] onboard the boat. * * * It doesn't take into
consideration the ship's systems. Some areas you can't access it.
We have--electrical is my biggest problem right now. I have panels
that weren't designed with that in mind. When this vessel was designed,
it was considered adequate enough to shut the breaker off and put a
little tag or something on it, and everybody was supposed to know better.
It's no longer acceptable. So it won't take a blockout device. * * * So
[Sec.  1910.147] doesn't meet our needs, all right? And the thing
is--the first thing someone says is, well, can you change it? Yeah,
we can change it. But there's so much of this throughout the boat *
* * to do it in one blanket-type process (Ex. 199, pp. 161-163).

    Amy Duz of iWork Wise testified: "I don't know of any vessel
that's following 1910 a hundred percent, not even one. And the
reasons--the first reason is probably that they just can't physically
lock everything out, so it gets more complicated" (Ex. 199, p. 166).
Icicle Seafoods, Inc., testified:

    At Icicle we have a lockout/tagout program on every vessel and
every land plant. I guess before you ask specifically, it's loosely
modeled after 1910. I wish I could say that we're actually a hundred
percent compliant, and every single time a situation arises we're
doing exactly what we need to do. That doesn't happen. We're not in
compliance with 1910, and we can't be (Ex. 199, p. 231).

    OSHA also received comments and testimony from shipyard employers
who had concerns over using the general industry lockout/tagout
standard as an industry-wide approach. Manitowoc Marine Group explained
that, on landside, it is using the Sec.  1910 lockout/tagout standard.
However, it commented that vessels present special circumstances:

    [J]ust with the different vessels that come in, ranging [from]
very, very old vessels--I mean, we are talking vessels that were
built in the '20s and '30s that are actually still operational--it
is a little more difficult, but we do try to use safe practices and
develop a procedure that will protect them from energy sources (Ex.
168, pp. 84-85).

    OSHA maintains that the shipyard industry needs a comprehensive
hazardous-energy control program, for landside facilities as well as
vessels and vessel sections. However, it is apparent from the comments
made by large and small employers that applying the general industry
lockout/tagout standard verbatim would present many challenges for this
industry. The comments and testimony, which the Agency carefully
reviewed and considered, convinced OSHA that a modified version of the
general industry standard is necessary to protect workers who confront
the unique conditions and complex situations of shipyard employment.
    OSHA is adopting lockout/tags-plus requirements for shipyard
employment due to the complexity of the worksite; the large number of
workers involved in the work force; the involvement of multiple
employers; and the vast array of machinery, equipment, and systems that
employees may be servicing. These requirements build on the general
industry lockout/tagout standard, but offer shipyard employers some
flexibility in choosing the best method to control hazardous energy,
given their special circumstances. The American Shipbuilding
Association (ASA) argued that due to the complexity of shipboard system
operations, the imposition of traditional general industry standards
would increase an employee's risk exposure (Ex. 168, pp. 194-195). OSHA
agrees with this and other similar comments, and revised the final rule
to address the industry's concerns while ensuring that shipyard
employees working under Sec.  1915.89 are protected at least as well as
their counterparts in general industry working under Sec.  1910.147.
    The change from lockout/tagout to lockout/tags-plus is one of
clarification. Currently, Sec.  1910.147 requires that, when an
employer uses a tagout system on an energy-isolating device that is
capable of being locked out, the tagout system must provide full
employee protection. That full-employee protection provision requires
that an additional safety measure be used in conjunction with all of
the tagout requirements: essentially, a tags-plus system requires an
additional safety measure. This final rule simplifies and clarifies
that requirement by changing the definition and more explicitly
specifying those particular requirements. In addition, when possible,
OSHA has revised the language in the provisions to clarify the
requirements, without changing the substantive requirements of
Sec. Sec.  1910.147 and 1910.269. For example, Sec.  1910.147(c)(3) has
two requirements written into one paragraph. Without changing the
substantive provisions, Sec.  1915.89(c)(6) separates those
requirements into two paragraphs, and adds additional clarifying
language. The Agency believes that the maritime industry will embrace
the clarified language in the provisions, and be better able to
understand and comply with the provisions in this section.
    Due to the number of regulatory text changes that OSHA made from
the proposed rule, this section of the preamble will explain the final
regulatory text language, rather than track subsequent changes from the
proposal, as is typically done in OSHA preamble discussions. OSHA will
explain how the changes came about, and provide explanations and
examples, when appropriate, for specific provisions. OSHA believes that
this approach will assist employers in understanding the requirements
in the final standard. In addition, this preamble references two tables
that list the specific provisions OSHA revised between the proposed and
final rules. Table 2 of this preamble (see below) is a side-by-side
listing of sections and headings in both the final standard and the
proposal. Table 3, found at Ex. 215, is a side-by-side table that
compares the final regulatory language to the language in the proposal
for the revised provisions. (The purpose of Table 3 is to assist the
regulated community in understanding the revisions made to these
provisions, and is not to be relied upon for regulatory language.)

      Table 2--Control of Hazardous Energy Side-by-Side Comparison
------------------------------------------------------------------------
         Final regulatory text               Proposed regulatory text
------------------------------------------------------------------------
(a) Scope and application..............  (a) Scope
    (1) Scope..........................     (1) Scope
    (2) Application....................     (2) Application
    (4) Exceptions.....................     (3) Purpose
(b) Lockout/tags-plus program..........  (b) General
(c) General requirements...............     (1) Energy control program
    (6) Full employee protection.......     (2) Lockout/tagout
    (7) Lockout/tags-plus coordination.     (3) Full employee protection
(d) Lockout/tags-plus written               (4) Energy control
 procedures.                                 procedures
(e) Procedures for shutdown and             (5) Protective materials/
 isolation.                                  hardware
(f) Procedures for applying lockout/        (6) Periodic inspection
 tags-plus systems.
(g) Procedures for verification of          (7) Training
 deenergization and isolation.
(h) Procedures for testing.............     (8) Energy isolation
(i) Procedures for removal of lockout/      (9) Employee notification
 tags-plus systems.
(j) Procedures for startup.............  (c) Application of control
(k) Procedures for group lockout/tags-      (1) Preparation
 plus.
    (1) Primary authorized employee....     (2) Shutdown
    (2) Authorized employees...........     (3) Isolation
(l) Procedures for multi-employer           (4) LLOTO application
 worksites.
    (2) Host employer responsibilities.     (5) Stored energy
    (3) Contract employer                   (6) Verification
     responsibilities.
(m) Procedures for shift or personnel    (d) Release from lockout/tagout
 changes.
(n) Lockout/tags-plus materials and         (1) Machine/equip./system
 hardware.
    (i) Durable........................     (2) Employees
    (ii) Standardized..................     (3) Lockout/tagout removal
    (iii) Substantial..................  (e) Additional requirements
    (iv) Identifiable..................     (1) Testing
(o) Information and training...........     (2) Outside personnel
    (1) Initial training...............     (3) Group lockout/tagout
    (2) General training content.......     (4) Shift change
    (3) Additional training
     requirements for affected
     employees.
    (4) Additional training
     requirements for authorized
     employees.
    (5) Additional training for lockout/
     tags-plus coordinator.
    (6) Employee retraining............
(p) Incident investigation.............
(q) Program audits.....................
(r) Recordkeeping......................
(s) Appendices.........................
------------------------------------------------------------------------

    Special provisions apply to repairs to Navy vessels. When the Navy
conducts repairs on its vessels, the Navy ship's force maintains
control of the vessels' machinery, equipment, and systems, and performs
the procedures for controlling hazardous energy. To a large extent, the
Navy's system is consistent with OSHA's final rule on lockout/tags-
plus. However, differences between the Navy's system and the final rule
required the agencies to work together to craft exceptions to the final
rule to accommodate the operational needs of the Navy regarding its
ships that are under repair.
    OSHA recognizes that Navy vessels and vessel systems undergoing
repair may have to become operational quickly for purposes of national
security. Furthermore, in its comments to the proposal (Ex. 132.2), the
Navy described how its energy-control system is applied to vessel
systems that are uniquely complex:

    The Navy vessels' expert based tags plus system under the
control of the ship Commanding Officer provides the Commanding
Officer ultimate control of what is happening aboard his/her ship in
accordance with U.S. Navy Regulations.* * * Our group Tags Plus
expert-based hazardous energy control program involves an
interaction of expert systems operators [the ship's force] and
shipyard maintenance personnel. Maintenance is used differently in
shipyards it should be changed to repair or remove it altogether
here!
    * * *
    The Navy has developed shipboard energy control process
requirements codified in formal Naval Instructions. These
instructions were specifically designed to provide for work safety
when dealing with energy control of complex systems which require
specialized system qualification, knowledge and experience as well
as multi-layered technical reviews to ensure proper isolation of
work areas is established. Work isolation is often directly linked
to maintaining combat system requirements and ship safety (fire
protection, list, trim, buoyancy, should be: hotel systems,
ventilation, lighting etc.) on combat ships with redundant systems.
This required the development of an energy control process that
utilizes system experts and trained work control professionals. * *
* Placing responsibility for adequate isolation and system
conditions in the hands of personnel performing work [shipyard
maintenance personnel] is unsafe when the equipment and systems are
so complicated that workers could not be reasonably expected to
correctly determine safe isolation or it's affect [sic] on critical
ship systems.

    Because of these factors, the Navy ship's force always maintains
control over vessels and vessel systems undergoing repair, and
exercises control of hazardous energy in these vessels and vessel
systems, even when private-sector contract employers provide the
workforce that performs the servicing operations. The Navy asserts that
its hazardous-energy control program provides employees, including
contractor employees, with a sufficient level of protection from
hazardous energy, while permitting it to retain control of the vessels
under repair should operational needs arise. For these reasons, OSHA
provided several exceptions to the provisions of its lockout/tags-plus
standard (see the notes to paragraphs (c)(4), (c)(6), (c)(7), (e), (f),
(h), (i), (j), (k)(2), and (l) of this section); the preamble below
discusses these exceptions more fully. OSHA believes that contractors
performing servicing operations onboard U.S. Navy-owned and -operated
vessels already are coordinating with the Navy ship's force during
these operations, as required by these notes. Thus, the notes codify
practices that already exist in situations when the Navy has control
over its vessels and the vessel's machinery, equipment, and systems
during servicing operations. These notes also apply to the servicing of
machinery, equipment, or systems that takes place during new
construction of naval vessels once the ship's force takes control of
those machines, equipment, or systems. While these exceptions to the
final lockout/tags-plus requirements accommodate the Navy's need to
exercise control over the machinery, equipment, and systems of its
vessels that are undergoing repair, OSHA nevertheless continues to
exercise authority over private-sector employers, under contract with
the Navy, performing repair work on Navy vessels. Those employers still
must protect their employees to the full extent required by the remainder
of the lockout/tags-plus rule. For example, paragraph (q) addresses
program audits. Even those employers who service vessels and vessel
systems that are under the control of Navy ships' force are required to
conduct audits. OSHA does not require or expect the employer to audit the
Navy's lockout/tags-plus system. However, during the audit of its own
participation in the Navy's program, the employer may identify deficiencies
in the implementation of the program or may identify ways that a procedure
could be improved. In those instances, the employer should coordinate with
the Navy to address such concerns.
    Finally, the exceptions in Sec.  1915.89 that apply to Navy vessels
do not amend the requirements of any other OSHA standard that regulates
the control of hazardous energy.
 Paragraph (a)--Scope and Application
Paragraph (a)(1)--Scope
    Paragraph (a)(1) specifies that the lockout/tags-plus section
covers the servicing of machinery, equipment, and systems when an
employee could be injured if the machinery, equipment, or system is
energized, is started up, or releases hazardous energy. The scope of
the final rule is the same as the proposed rule with minor
clarifications and streamlining to address stakeholder comments that
the language should be more self-explanatory and less confusing (Ex.
121.1).
    As mentioned in the discussion to Sec.  1915.80, OSHA made changes
to two terms in paragraph (a) of this section. First, to streamline
paragraph (a)(1), OSHA states that the lockout/tags-plus section covers
"servicing" operations, instead of using the "servicing and
maintenance" terminology from the proposed rule. The definition of
"servicing" includes the maintenance, as well as the construction,
installation, adjustment, inspection, modification, testing, repairing,
and servicing, of machines, equipment, or systems. (See definitions,
Sec.  1915.80(b)(26).) Thus, there is no need to pair the term
"maintenance" with "servicing."
    Second, OSHA replaced "release of stored energy" with "release
of hazardous energy," a term that covers all energy that could be
released, not just stored energy. In response to stakeholder comments
(Exs. 121.1; 199, p. 152), OSHA also added a definition of "hazardous
energy" to the final rule (see definitions, Sec.  1915.80(b)(8)). OSHA
defines "hazardous energy" as "[a]ny energy source, including
mechanical (for example, power transmission apparatus, counterbalances,
springs, pressure, gravity), pneumatic, hydraulic, electrical,
chemical, and thermal (for example, high or low temperature) energies,
that could cause injury to employees." Forms of hazardous energy
include active, residual, and stored energy. This definition is
consistent with the one OSHA uses in general industry (CPL 02-00-147,
2/1/2001). As such, many shipyard employers will be familiar with the
definition because they have implemented the general industry lockout/
tagout standard in their landside facilities, and some have used a form
of the general industry standards on vessels (see preamble discussion
above). Adopting this definition both clarifies and emphasizes that
many servicing operations in shipyard employment involve multiple types
and sources of energy, and that the lockout/tags-plus section covers
all of those types and sources of energy when the energization or
startup of machinery, equipment, or systems, or the release of energy,
may occur. Requiring that all releases of hazardous energy be
controlled will provide more protection to workers than if they were
simply protected from the release of stored energy.
    Paragraph (a)(2)--Application
    After considering all the comments received in response to OSHA's
questions in the preamble to the proposed standard (72 FR 72452, 72498,
Dec. 20, 2007), and analyzing the record, the Agency determined that
the record supports changing the application of the lockout/tags-plus
section. The final standard is a complete standard for all shipyard
employment.
    Paragraph (a)(2) of the final rule applies the lockout/tags-plus
section to any servicing operation that is performed:
     In any landside facility that performs shipyard employment
work; and
     On any vessel or vessel section.

In addition, if such servicing is conducted on a vessel, the standard
applies to any employee on a vessel, including, but not limited to, the
ship's officers and crew, unless such application is preempted by the
regulations of another federal agency.
    The proposal would have required employers to control hazardous
energy by complying with the following provisions: Section 1915.89 when
servicing machinery, equipment, and systems on vessels and vessel
sections (proposed paragraph (a)(2)(i)); and Sec.  1910.147 for
"inherently general industry operations" performed aboard vessels,
such as fish processing (proposed paragraph (a)(2)(iii)(C)) (72 FR
72452, 72489-93, Dec. 20, 2007).
    OSHA received many concerns from stakeholders describing the unique
situations in shipyard employment in which the application of different
standards for controlling hazardous energy in shipyard work would be
impracticable (Exs. 100.1; 101.1; 124; 126; 128; 130.1; 168, pp. 368-
369; 199, pp. 149-150). Some stakeholders (Prowler LLC and Ocean
Prowler LLC; American Seafoods Company; and the U.S. Navy) said OSHA
should apply the general industry lockout/tagout standard (Sec.
1910.147) to landside facilities (Exs. 100.1; 105.1; 132.2). Other
commenters referred to the 2004 National Shipbuilding Research Program
(NSRP) report, "Review of Current and Best Practices for Hazardous
Energy Control (Tagout) in Shipyards," which stated that shipyards
have, in most cases, adopted Sec.  1910.147 for land-based operations
(Ex. 105.2). For example, American Seafoods Company, citing the NSRP
report, commented that land-based servicing operations at shipyards
were conducive to the general industry standard because, compared to
shipboard servicing jobs, land-based jobs are usually of shorter
duration and involve a single authorized employee, have means of
isolation that generally can be readily identified, and have employees
who perform servicing are capable of identifying the energy sources and
applying energy-control devices (Ex. 105.1). In addition, a number of
stakeholders said they have implemented the general industry standard
in their landside operations (Exs. 116.2; 120.1; 132.2).
    In contrast to the commenters mentioned above, Northrop Grumman--
Newport News expressed a preference for one hazardous-energy control
standard that applies to all servicing operations, on landside and on
vessels and vessel sections (Ex. 168, pp. 263-264). Northrop Grumman
stated that it favored a single hazardous-energy control standard in
part because its employees work both aboard vessels and in landside
shops:

    [Employees] do go onboard and often the workload shifts, we will
bring work into the shops and we will work in the shops, and we will
take it back [on the vessel] and reinstall it, so there is some
movement back and forth between shop and ship (Ex. 168, pp. 221-
222).

    Northrop Grumman also said that having a single hazardous-energy
control standard for landside and vessel-servicing operations would
make it easier for the company to move employees between Northrop
Grumman's shipyards without having to retrain them (Ex. 168, pp. 222).
    The International Association of Drilling Contractors (IADC) noted
that problems could arise when a vessel in active operation is
undergoing repairs by both the ship's crew and shipyard workers because
the two groups could potentially be working under different standards
for controlling hazardous energy:

    It is IADC's view that the lockout/tagout program on a vessel
should generally be administered by the vessel's owner (represented
by the ship's Chief Engineer)--this is particularly the case on a
vessel that remains in active operation while undergoing repairs or
when repairs are being undertaken concurrently by ship's crew and
'shipyard workers.'* * * The shipyard lockout/tagout program must be
subordinate to that of the ship's lockout/tagout program when the
ship remains in service (Ex. 103.1).

    Amy Duz of iWorkWise testified about the value of having shipyard
employees and a ship's crew using one standard for controlling
hazardous energy:

    The proposed two-standard approach creates more questions and
problems than it attempts to solve. One hazardous energy control
standard should be applied to the fishing industry * * * [T]hese
vessels will be in shipyards and ships and shipyard personnel need
to interface. This interface will be more seamless, making people
safer if everyone is accustomed to using the same standard (Ex. 168,
p. 373).

    Based on its analysis of the record, OSHA believes that applying a
single lockout/tags-plus rule to all servicing operations, both
landside and on vessels and vessel sections, will ensure that employers
have a cohesive strategy to protect employees from hazardous energy. A
single standard responds to the comments of Northrop Grumman--Newport
News and the IADC. It will require shipyard workers to have knowledge
of only one hazardous-energy standard, whether the employees are
working on vessels or in a landside facility, and regardless of the
shipyard involved. In addition, it ensures that a ships' crew follow
the same rules as shipyard workers, thereby avoiding conflict or
confusion when repairs to a vessel's equipment are being conducted by
both groups. In sum, OSHA believes that having one standard will
facilitate employer implementation and maintenance of an effective
lockout/tags-plus program, and will ensure that employees understand
and follow the program.
    OSHA added language to paragraph (a)(2)(i)(A) to clarify that the
final lockout/tags-plus section only applies to servicing equipment at
landside facilities that "perform shipyard employment work," that is,
those facilities that perform shipbuilding, ship repair, shipbreaking,
or other related employment. OSHA added this language to clarify the
limited scope of this regulation with regard to the two industry
sectors. First, the final lockout/tags-plus section, as in the proposed
rule, does not apply to servicing equipment at facilities that
manufacture components and parts used in shipyard employment when these
manufacturers do not perform shipyard employment work at these
facilities. These manufacturers are covered by the general industry
lockout/tagout standard. (See, also, summary and explanation of Sec.
1915.80, Scope, application, and definitions.) Second, the final rule
does not extend to landside fish-processing facilities. Fish processing
at landside factories is general industry manufacturing, not shipyard
employment. This position is consistent with OSHA policy that fish
processors on land must follow the general industry lockout/tagout
standard (see CPL 02-01-047, 2/22/2010); thus, the general industry
lockout/tagout standard continues to apply to servicing operations on
equipment at land-based fish-processing facilities.
    OSHA also deleted the exemption in proposed paragraph (a)(2)(ii)
for "normal production operations," defined at Sec.  1915.80(b)(20)
as "the use of machinery or equipment, including, but not limited to,
punch presses, bending presses, shears, lathes, keel press rollers, and
automated burning machines, to perform a shipyard-employment production
process." The proposal exempted servicing that takes place during
"normal production operations" unless an employee would be required
to (a) remove or bypass a guard or other safety device, or (b) place
any part of his or her body into an area on a machine, piece of
equipment, or system where work is actually performed upon the material
being processed, or where an associated danger zone exists during an
operating cycle. OSHA believes that deleting the exemption for "normal
production operations," including the exceptions to the exemption,
clarifies that the lockout/tags-plus standard for shipyard employment
applies to all servicing operations on any machine, equipment, or
system that is used in shipyard employment, whether at a landside
location, or on a vessel or vessel section. This application is
consistent with other subparts of Sec.  1915, which apply a single
standard for vessels and vessel sections, and on landside operations,
regardless of where the work is performed. (See 29 CFR part 1915,
subpart B, Confined and Enclosed Spaces and Other Dangerous Atmospheres
in Shipyard Employment; 29 CFR part 1915, subpart I, Personal
Protective Equipment; and 29 CFR part 1915, subpart P, Fire Protection
in Shipyard Employment.)
    Paragraph (a)(2)(i)(B) of the final rule specifies that the
lockout/tags-plus section applies to servicing of all machinery,
equipment, and systems on vessels and vessel sections. This application
includes servicing shipboard equipment that is used for processing
fish. Proposed Sec.  1915.89 would have applied to servicing ships'
systems (i.e., systems and equipment that are "an inherent and
permanent part of the vessel") (72 FR 72542, 72489, Dec. 20, 2007),
while Sec.  1910.147 would have applied to the servicing of
"inherently general industry equipment such as fish-processing
equipment" (Id.). In the proposed rule, OSHA acknowledged that this
approach would not result in a completely uniform application of
standards onboard vessels. Nevertheless, OSHA preliminarily concluded
that the proposed approach was appropriate under the assumption that
equipment such as fish-processing equipment is not a core component of
vessels, and that activities involving such equipment are more closely
associated with general industry manufacturing operations than with
shipbuilding, ship repair, shipbreaking, and related employment. Id.
Further, the Agency opined that servicing such equipment aboard vessels
is performed by production employees, and not by employees who service
ships' systems. Id.
    Stakeholders uniformly opposed OSHA's proposed two-standard
approach (Exs. 100; 101.1; 104.1; 105.2; 107.1; 121.1; 123; 124; 126;
128; 130.1; 132.2; 168, pp. 194-195, 309-313), expressing their concern
that applying two different standards for controlling hazardous energy
on vessels would cause confusion (Exs. 130.1; 132.2). Icicle Seafoods
Inc., stated:

    The proposed standards approach to lock and tagout will be
confusing * * * Having to flip flop between two standards will only
breed indifference and non-compliance. Asking an engineer to first
determine what system he's working on before he's deciding how it
should be locked out is asking too much. This is like asking my
grandmother to follow one set of traffic laws on the weekend, and
drive by a completely different set of laws during the week (Ex.
199, pp. 213-214).

    Prowler LLC and Ocean Prowler LLC also agreed that the two-standard
approach would be confusing for employees working on fish-processing
vessels: "It would mean that part 1910 standards would apply when
[fish-processing employees] process fish and operate the equipment
for production, but proposed 1915.89 would apply when they clean up
or perform maintenance work on that same equipment" (Ex. 100).
    iWorkwise also commented that OSHA's approach was confusing: "This
approach can be summed up as follows: * * * 1915.89 applies to all the
people, but only to part of the equipment and only for some of the
time, but to all of the equipment for the rest of the time" (Ex.
130.1). iWorkwise elaborated on this issue at the informal public
hearing:

    Two [lockout/tagout] standards will not make a single person
more safe. It will introduce confusion and burden that will very
likely make people less safe. Not a single vessel or fleet owner
that I am aware of support this two-standard approach. * * * The
two-standard approach begins by asking the impossible. * * * For
example, when a ship's hydraulic system powers both processing and
fishing equipment, where will one standard end and the other begin,
or if processing equipment, such as a grinder sump pump is critical
to keeping the ship afloat, is that ship's equipment or processing
equipment, or when panels provide power for engineering and
processing needs, what standard will be followed? (Ex. 168, pp. 368-
369).

Prowler LLC and Ocean Prowler LLC raised the same concerns, saying that
OSHA's proposed two-standard approach is confusing and arbitrary (Ex.
100). American Seafood Company agreed: "Application of general
industry rules to one part of the ship, some of the time is folly. As
is switching between two different standards for the same maintenance
on the same equipment" (Ex. 105.1).
    A number of stakeholders said the reasons OSHA provided in support
of the two-standard approach were based on faulty assumptions about
fish-processing operations. For example, several stakeholders said OSHA
was incorrect in saying that fish-processing equipment is not "an
inherent and permanent part of the vessel," in the way that, for
instance, propulsion or navigation systems are (Ex. 168, pp. 369-370).
American Seafood Company commented:

    The ship's purpose is processing, therefore processing is an
essential ship function; the equipment is as essential to the ship's
purpose as a dredge is to a dredging ship. We find the division of
ship and ship's equipment on fish processing vessels by OSHA
arbitrary (Ex. 105.1).

    Stakeholders also said that OSHA's determination that most
employers replace the fish-processing equipment on vessels at the end
of each fishing season was inaccurate. At the informal public hearing,
OSHA heard testimony from iWorkwise, stating that only a "minority of
vessels change out their processing equipment between seasons" (Ex.
168, pp. 371-372). Although Trident Seafood Corporation said that their
vessels replace processing equipment each season, the company added
that they only replace some components, not the entire fish-processing
system (Ex. 199, pp. 172-173). Trident Seafood Corporation also stated
that the new equipment is plugged into the same electrical or hydraulic
power sources that power the rest of the vessel (Ex. 199, p. 173).
    Some stakeholders pointed out that OSHA was incorrect in stating
that employees who service fish-processing equipment on a vessel do not
service the ship's systems and vice versa (Exs. 104.1; 107.1; 168, p.
371; 199, pp.176-178). For example, Trident Seafoods Corporation
commented, "Electricians, engineers and other technicians can and do
work in various areas throughout the vessel" (Ex. 107.1). iWorkwise
concurred, saying:

    In the vast majority of cases, [maintenance of fish-processing
equipment] is done by the [ship's] engineer. It is a ship--the
person works on everything. On some vessels, they will have factory
technicians who will handle, for instance, a filet machine, but they
will also help out the ship's engineer and engineering when they are
not busy watching their machine (Ex. 168, p. 410).

Supreme Alaska Seafoods agreed:

    All personnel onboard ship are sailors first and foremost.
Regardless of department, rank, or time at sea, all personnel are
responsible for maintaining the ship. The term ship encompasses her
hull, all machinery and its cargo. Some sailors are more skilled
than others, but those of less skill will be used as helpers on the
same machinery or systems. Furthermore, personnel from different
departments will be called upon to work in other spaces on other
machinery, or transferred to other departments as the needs of the
ship dictate. This practice is not exclusive to the fishing
industry, but it is standard and common practice in the maritime
world (Ex. 199, pp. 148-149).

    FV Muir Milach said that interchanging jobs between servicing
ships' systems and fish-processing equipment is also prevalent on small
vessels: "[E]verybody, including the engineer, is going to spend the
majority of their time on the fishing end of things" (Ex. 199, p. 61).
FV Muir Milach added that interchanging jobs is particularly prevalent
when the vessel is at sea: "Our fishing seasons are fairly lengthy and
discrete. * * * So from the vessel owner's perspective, the duties of
crew are as broad as their skills" (Ex. 199, pp. 64-65).
    After considering stakeholder comments and testimony, as well as
analyzing the record as a whole, OSHA is convinced that having a single
standard for vessels will best protect employees from injury due to
energization, startup, or the release of hazardous energy anywhere on a
vessel. Accordingly, OSHA incorporated that change into paragraph
(a)(2)(i), and deleted proposed paragraph (a)(2)(iii)(C), which would
have excluded servicing fish-processing machinery, equipment, or
systems on vessels from the lockout/tags-plus section. Thus, Sec.
1915.89 will apply to servicing fish-processing equipment aboard
vessels. However, as noted above, the general industry lockout/tagout
standard (Sec.  1910.147) continues to apply to servicing operations at
landside fish-processing facilities, which is consistent with the
similarity of those plants to other general industry facilities,
current practice in the landside fish-processing industry, and OSHA
policy (CPL 02-01-047).
    Paragraph (a)(2)(ii) applies the final lockout/tags-plus section to
any employee, including ships' officers and crew, who services
equipment used during shipyard employment, unless the application of
the lockout/tags-plus standard is preempted by the regulations of
another federal agency. The proposed lockout/tagout section contained a
similar provision (proposed Sec.  1915.89(a)(2)(i)(A)).
    The language in paragraph (a)(2)(ii) clarifies longstanding OSHA
policy that part 1915 applies whenever a ship's crew performs ship-
repairing operations. OSHA included this issue in this rulemaking to
address concerns that some courts have raised about the scope and
coverage provisions in part 1915, subpart A, General Provisions.
Although Sec.  1910.15(a) specifies that part 1915 applies to "every
employment and place of employment of every employee engaged in ship
repairing, shipbreaking, and shipbuilding, or related employment,"
some language in part 1915 suggests that the part does not cover
certain shipyard employment activities or employees. Specifically,
Sec.  1915.4(d) implies that part 1915 does not apply to some employees
who perform shipyard employment activities:

    The term employee means any person engaged in ship repairing,
shipbuilding, shipbreaking or related employments.* * * other than
the master, ship's officers, crew of the vessel, or any person
engaged by the master to repair any vessel under 18 net tons.

    Section 1915.4 was taken from the Longshore and Harbor Workers'
Compensation Act (LHWCA) (33 U.S.C. 901 et seq.), which, along with the
OSH Act, provides OSHA with rulemaking authority over shipyard
employment. Prior to enactment of the OSH Act, the Secretary of Labor,
pursuant to authority under the LHWCA, promulgated occupational safety
and health standards for shipbuilding to protect the life, health, and
safety of shipyard employees (33 CFR 941(a)).
    When Congress enacted the OSH Act in 1970, it authorized OSHA,
within the first two years after the effective date of the Act, to
promulgate as occupational safety and health standards any established
Federal standard without following normal rulemaking requirements (29
U.S.C. 655(a)). Pursuant to this authority, OSHA adopted all
established Federal workplace safety and health standards in effect as
of April 28, 1971, that pertained to employers, employees, and
employment covered by the OSH Act (29 CFR 1910.11(a); 36 FR 10466, May
29, 1971), including the safety and health standards enacted under the
LHWCA.
    OSH Act coverage, which extends to employers engaged in a business
affecting interstate commerce, is broader than LHWCA coverage. As such,
OSHA has consistently asserted that the Agency is not bound by the
coverage limitations in the LHWCA standards. To clarify this position,
OSHA issued an interpretive rule amending its incorporation of
established Federal standards (37 FR 26008, Dec. 7, 1972).
Specifically, OSHA added paragraph (b) to Sec.  1910.11 specifying that
the Agency was incorporating "only substantive rules affecting safety
and health" from established Federal standards. Id. "The
incorporations by reference of Parts 1915, 1916, 1917, 1918 * * * are
not intended to include the discussion in those parts of the coverage
of the Longshoremen's and Harbor Workers' Compensation Act * * * "
(Sec.  1910.11(b)). OSHA explained that when it adopted the LHWCA
safety and health rules, the Agency had "no intention of incorporating
[into OSHA rules] * * * any other rules having special applicability
under the laws under which the 'established Federal standards' were
initially adopted" (37 FR 26008).
    OSHA has taken this position before the Occupational Safety and
Health Review Commission (OSHRC) and the Federal courts of appeal.
OSHRC accepted OSHA's approach as delineated in Sec.  1910.11(b) (Dravo
Corporation, 7 O.S.H. Cas. (BNA) 2089 (1980)), but this provision has
not been universally accepted. See Dravo Corp.v. OSHRC, 613 F.2d 1227
(3rd Cir. 1980).
    In Dravo, the court said that, notwithstanding Sec.  1910.11(b),
OSHA would be held to the plain-language meaning of its part 1915
standards, including the coverage standards carried over from the
LHWCA. Dravo, 613 F.2d at 1232-33. The language at issue in Dravo
concerned the location of covered shipyard employment activities, that
is, whether part 1915 covered shipbuilding activities performed at a
waterfront fabrication shop on an island in the Ohio River. The court
looked to the definitions of "employer" and "employee" in Sec.
1915.4, which indicate that the terms are limited to persons engaged in
shipyard employment "on the navigable waters of the United States,
including dry docks, graving docks and marine railways" (Sec.
1915.4(c) and (d)). The court said the plain meaning of the definitions
did not include fabrication shops ("they include only waters, docks,
and marine railways," Dravo, 613 F.2d at 1232), and declined to
construe the definitions more broadly.
    The Dravo court concluded that if OSHA intends a different coverage
scheme, the Agency must amend part 1915 through rulemaking. Id. Thus,
in accord with the Dravo court and to avoid confusion, OSHA proposed to
change the coverage of Sec.  1915.89 to apply to servicing performed by
any employee, including ships' officers and crew of the vessel
(proposed Sec.  1915.89(a)(2)(i)(A)). OSHA did not receive any comments
opposing this language. As OSHA said in the proposed rule, this change
should not come as a surprise to employers, since OSHA has consistently
applied part 1915 whenever a ship's crew performs shipyard employment
work (Ex. 81; see also CPL 02-01-047). OSHA believes that this
provision will reduce any confusion related to the split in the courts
and the language in Sec.  1915.4.
    To address a question posed by the International Association of
Drilling Contractors (Ex. 103.1), OSHA is clarifying that the final
lockout/tags-plus section also applies, in certain circumstances, to
seamen who perform servicing operations on vessels. CPL 02-01-047
outlines OSHA's authority over seamen. The Coast Guard exercises full
authority over the safety and health of seamen onboard inspected
vessels; therefore, with the exception of OSHA recordkeeping
requirements (29 CFR part 1904), OSHA may not enforce the OSH Act with
respect to the working conditions of seamen on those vessels.
    On commercial uninspected fishing industry vessels and other
uninspected vessels, however, OSHA has authority over the working
conditions of seamen that are not addressed by Coast Guard regulations.
Chao v. Mallard Bay Drilling, Inc., 534 U.S. 235 (2002). The Coast
Guard has not regulated the hazards addressed by Sec.  1915.89 on
uninspected vessels. Accordingly, the final lockout/tags-plus section
applies to seamen performing servicing operations on commercial
uninspected fishing-industry vessels and other uninspected vessels.
However, as paragraph (a)(2)(ii) states, the lockout/tags-plus standard
is not applicable if such application is preempted by the regulations
of another federal agency. Thus, the standard does not apply to the
working conditions of seamen aboard inspected vessels since the Coast
Guard regulates that area.
    Paragraph (a)(3) adopts the proposed requirement that when other
standards in part 1915, or applicable standards in part 1910, require
the use of a lock or tag, employers shall follow those requirements and
supplement them with the procedural and training requirements specified
by final Sec.  1915.89, Control of hazardous energy (lockout/tags-
plus).
    Part 1910 standards that currently contain lockout/tagout related
requirements that may apply, with some exceptions, to shipyards
include: Sec.  1910.178 Power Industrial Trucks; Sec.  1910.179
Overhead and Gantry Cranes; Sec.  1910.181 Derricks; Sec.  1910.213
Woodworking Machinery; Sec.  1910.217 Mechanical Power Presses; Sec.
1910.218 Forging Machines; Sec.  1910.252 Welding, Cutting and Brazing;
and Sec.  1910.305 Electrical. The part 1915 standards that contain
requirements for locks or tags include Sec.  1915.162 Ship's Boilers;
Sec.  1915.163 Ship's Piping Systems; Sec.  1915.164 Ship's Propulsion
Machinery; and Sec.  1915.181 Electrical circuits and distribution
boards. The regulatory language for the 1915 standards has been
modified to incorporate the requirements of this final rule, which
modifications have been carried over from the proposal with minor
changes for purposes of clarification and consistency. OSHA received no
comments on these proposed modifications. Therefore, the Agency is
retaining the proposed revisions, which it believes will bring
consistency to the lockout/tags-plus requirements across the various
sections of part 1915 and will afford employees increased protection
compared to the existing requirements.
    For example, an employee working on a ship's main engine, engaging
the electrically driven jacking gear, currently would follow Sec.  1915.164
that requires that the circuit controlling the jacking gear be deenergized
by tripping the circuit breaker, opening the switch, or removing the fuse,
and then applying a tag at the breaker, switch, or fuse panel. With this
final rule, the employer will now implement the additional requirements in
Sec.  1915.89 to ensure that all employees are protected while servicing
machinery, equipment, or systems. Alternatively, an employee cleaning a
space that has electrical wiring or the fire-suppression system running
through it will not need to follow Sec.  1915.89 since the employee is
not servicing the wiring or fire-suppression system, but is merely
cleaning the space. However, other 29 CFR 1915 standards may apply, and
should be considered when working on machinery, equipment, or systems
on vessels and vessel sections.
Exceptions
    Paragraph (a)(4) lists exceptions from the final lockout/tags-plus
section for two types of operations: Work on electric equipment that is
connected with a cord and plug, and minor servicing activities
performed during normal production operations. OSHA did not receive any
opposition to these two exemptions, which were included in the
proposal. The exceptions for electric plug-in equipment and minor
servicing are the same as the proposal with only minor, non-substantive
editorial revisions.
    The exception in paragraph (a)(4)(i) refers to work on machinery,
equipment, or systems that are connected by a cord and plug. When
equipment is unplugged and under the exclusive control of the employee
performing the servicing, the risk of the equipment starting up or
hazardous energy being released no longer exists.
    In paragraph (a)(4)(ii), OSHA recognizes that some servicing
activities that occur during normal production operations, such as
making fine adjustments to equipment, must be performed with the power
on. This activity may include certain aspects of troubleshooting--for
example, checking to ensure that the source of a production problem has
been corrected. The final lockout/tags-plus rule exempts these
servicing activities during normal production operations, provided
these activities are routine, repetitive, and integral to the use of
the equipment. However, the employer is required to provide employees
with effective means of protection from the energization, startup, or
the release of hazardous energy when they perform these activities. If
employees are conducting other-than-minor servicing, they must follow
the lockout/tags-plus procedures.
Proposed Sec.  1915.89(a) Provisions Not in the Final Rule
    In addition to deleting proposed paragraph (a)(2)(iii)(C), which
would have removed fish-processing on vessels from Sec.  1915.89
coverage, OSHA deleted three other provisions in proposed paragraph
(a). All three provisions were taken from the general industry lockout/
tagout standard.
    OSHA did not include in the final rule the exception specified by
proposed paragraph (a)(2)(ii). This proposed provision exempted
"normal production operations" from the lockout/tags-plus standard.
As explained in the summary and explanation of paragraph (a)(2)(i)(A),
not including the exception for "normal production operations"
results in uniform application of the final standard across all
shipyard employment.
    OSHA also excluded from the final rule the proposed paragraph
(a)(2)(iii)(B) exception for hot-tap operations on transmission or
distribution systems for substances such as gas, steam, water, and
petroleum products. Bath Iron Works, Electric Boat Corporation, and the
American Shipbuilding Association said the exemption was not necessary
(Exs. 106.1; 108.2; 117.1). These stakeholders pointed out that Sec.
1915.14 requires marine chemist certification for workers performing
hot work on pipelines that contain or have contained flammable or
combustible materials. Moreover, these stakeholders noted that National
Fire Protection Association's 306 standard for the Control of Hazardous
Gas on Vessels states, "Marine Chemists are not permitted to authorize
hot tapping except in emergency situations where a vessel is in peril"
(Exs. 106.1; 108.2; 117.1). OSHA agrees with the stakeholders that 29
CFR 1915, subpart B, fully covers hot-tap operations, and that
including language in the final rule about such operations is
unnecessary and may cause confusion.
    Proposed paragraph (a)(3)(i) was not included in the final rule to
simplify the lockout/tags-plus section. The Agency believes that this
provision, which described the purpose of the lockout/tags-plus
section, is unnecessary because paragraph (b) of the final lockout/
tags-plus section provides the same information.
Paragraph (b)--Lockout/Tags-Plus Program
    This final standard requires that the employer establish and
implement a written program and procedures to control hazardous energy
during the servicing of any machinery, equipment, or system. OSHA
separated the requirements into paragraphs (b)(1) through (b)(6). The
written energy-control procedures proposed in paragraph (b)(4) were
moved to paragraph (d), Lockout/tags-plus written procedures, in this
final standard.
    Although the energy-control program applies to all employees, it is
directed primarily at those workers who have the greatest exposure to
hazardous energy, which include authorized and affected employees. The
final standard defines "authorized employees" as those employees who
execute the lockout/tags-plus procedures, install the lock or tags-plus
system, or service any machine, equipment, or system under a lockout/
tags-plus application (final Sec.  1915.80(b)(3)). "Affected
employees" include employees who normally operate the machinery or
equipment on which service is being performed as well as those
employees whose job duties require them to work in the area where the
servicing is being performed (final Sec.  1915.80(b)(2)). The
definition also specifies that affected employees become authorized
employees when they perform servicing operations on the equipment under
a lockout/tags-plus application.
    Paragraphs (b)(1) through (b)(6) specify the components of the
employer's written lockout/tags-plus program: General procedures for
the use of lockout or tags-plus systems in accordance with paragraph
(c); procedures for protecting employees involved in servicing
operations in accordance with paragraphs (d)-(m); specification for
locks or tagout hardware in accordance with paragraph (n); employee
training procedures in accordance with paragraph (o); incident
investigations procedures in accordance with paragraph (p); and program
audit procedures in accordance with paragraph (q). These procedures are
more fully explained below.
    The employer's program is required to be written. OSHA concludes
that, because the requirements in the lockout/tags-plus standard are
comprehensive, the employer's program must be in writing to assist both
employers and employees in implementing the standard's many provisions,
and to give those groups ready access to all of the requirements. OSHA
believes this is standard industry practice, and that it is essential
for employee safety. No comments were received on the requirement that
the program be in writing. OSHA is retaining this requirement in final
paragraph (b).
Paragraph (c)--General Requirements
    Paragraph (c)(1), proposed as Sec.  1915.89(b)(2), requires that,
before any authorized employee performs servicing when energization or
startup, or the release of hazardous energy, may occur, all energy
sources be identified and isolated, and the machinery, equipment, or
system rendered inoperative. This requirement means that, prior to
servicing, each source of energy must have a lock or tags-plus system
applied to it. While this is a new paragraph in the final standard, it
is not a new concept in lockout/tags-plus. Failure to identify an
energy source prior to servicing could result in serious injury and
death. For example, in 1999, an employee installing a support cable was
electrocuted when he came into contact with the energized high-voltage
line that he was servicing (Ex. 69). A secondary switch that should
have been locked open to deenergize an electric panel had been left
closed. Procedures to isolate all hazardous-energy sources may have
prevented this accident (72 FR 72452, 72485, Dec. 20, 2007). No
comments were received disputing the fact that machinery, equipment, or
systems need a lock or tagout application before servicing.
    A primary tool for providing protection under the standard is the
energy-isolating device, which is the mechanism that prevents the
transmission or release of energy and to which locks or tags are
attached. The energy-isolating device guards against equipment startup
or reenergization of equipment during servicing. For purposes of this
final standard, there are two types of energy-isolating devices: Those
that are capable of being locked, and those that are not. How energy
must be controlled depends on whether the energy-isolating device can
accommodate a lock.
    The term "capable of being locked out" is being retained from the
proposal, and is defined at Sec.  1915.80(b)(4). An energy-isolating
device is considered "capable of being locked out" if it: Has a
locking mechanism built into it; has a hasp or other means of
attachment to which, or through which, a lock can be affixed (for
example, a lockable electric disconnect switch); or can be locked
without dismantling, rebuilding, or replacing the energy-isolating
device, or permanently altering its energy-control capability (such as
using a lock/chain assembly on a pipeline valve, a lockable valve
cover, circuit-breaker lockout, or fuse block-out devices).
    As discussed in the major issues section of this preamble, OSHA
recognizes that there are many important elements of any energy-control
program, and that the choice of lockout versus tagout is just one of
these elements. Further, OSHA also acknowledges that, in isolation, the
attachment of a lockout device to an energy-isolating device will
provide greater protection against reactivation than the attachment of
a tag. Thus, in final paragraph (c)(2), OSHA requires that when an
energy-isolating device is capable of being locked, a lock must be used
unless the employer can demonstrate that the use of a tags-plus system
will provide "full employee protection" equivalent to the protection
obtained by using a lock. This requirement was proposed as Sec.
1915.89(b)(2)(ii), and is being included in the final rule.
    During the public hearing for this rulemaking, Amy Duz of iWorkWise
stated: "I have a general preference for locks, but I realize they
can't always be used" (Ex. 199, p. 186). When asked whether he would
support locks for fishing vessels, Chris Kline of Icicle Seafoods,
Inc., responded: "I would absolutely. It's the only real way to
[ensure safety when] you have individuals working around equipment"
(Ex. 199, p. 246). Asked the same question, Alan Davis of American
Seafoods Company stated: "Yes. When I'm climbing into a piece of
equipment, I want to make sure my lock is on it, because it is a very
sure way of making sure that someone can't activate it without a
willful act of malice" (Ex. 199, pp. 302-303). Allen Rainsberger of
Puget Sound Shipbuilder's Association agreed: "Whenever it's capable
of being locked up, that's the preferred method, yes." After
considering these employers' comments, OSHA has concluded that applying
a lock will provide workers with the most efficient means of protection
and the highest degree of confidence in their personal safety.
    However, there are also data in the record on programs that
effectively use tags-plus systems. Northrop Grumman--Newport News and
Bath Iron Works stated that they believe their tags-plus systems are
"as effective" as locks (Ex. 168, p. 340). While OSHA has
historically preferred locks over tags, the Agency will defer to
employers who use the latter, as long as they can demonstrate that
their tags-plus system offers full employee protection equivalent to
that provided by a lock.
    In evaluating whether to implement lockout or tags-plus systems,
the employer should use the following clarifications. First, as a
general rule, lockout must be implemented as part of the overall
energy-control program for machinery, equipment, or systems that are
"capable of being locked out." Machinery, equipment, or systems that
have a hasp or other attachment capable of accepting a lock, or that
incorporate a locking mechanism, are obviously considered to be
"capable of being locked out." However, other equipment without such
a locking capability may still be considered "capable of being locked
out," but only if lockout can be achieved without the need to
dismantle, rebuild, or replace the energy isolating device, or
permanently alter its energy-control capability.
    Second, for machinery, equipment, or systems that are capable of
being locked out, OSHA recognizes that employers may, nonetheless,
prefer to implement a tagout program instead of lockout. OSHA will
allow the use of tagout programs as an alternative to locks only if the
employer can demonstrate that its complete tagout program will provide
full employee protection. In most cases, for OSHA to consider a tagout
program to be sufficiently protective, the elements of such a program
will need to be detailed and intensive, and will necessitate far more
commitment and day-to-day vigilance to make it effective than will a
lockout program. This approach is necessary because a tag serves only
as a warning and not as a positive restraint on hazardous energy. The
final rule establishes criteria that OSHA will evaluate in determining
whether a given tagout program does, in fact, provide full employee
protection. Thus, when machinery, equipment, or systems are capable of
being locked out, OSHA believes it will be easier for employers to use
that capability than to bypass it in favor of a tagout program.
    Paragraph (c)(3) states that a tags-plus system must be used when
the energy-isolating devices are not capable of being locked out. If
the employer wishes to perform modifications of the equipment to
accommodate a locking device, OSHA encourages, but does not require,
such modifications.
    New provisions in paragraph (c)(4) describe the basic components of
the tags-plus system. As required by paragraph (c)(4)(i), a tags-plus
system includes an energy-isolating device, which is a mechanical
device on a machine, equipment, or system that physically prevents the
release or transmission of energy. Examples of energy-isolating devices
are manually operated electrical circuit breakers, disconnect switches,
line valves, blocks, or similar devices, but do not include push
buttons, selector switches, or other types of control-circuit devices.
Each energy-isolating device must have a tag affixed to it. The second
component, required in paragraph (c)(4)(ii) of the tags-plus system, is
at least one additional safety measure. This additional measure
provides an impediment (in additional to the energy-isolating device)
to the energization or startup of the equipment being serviced, or the
release of hazardous energy. Some examples of additional safety
measures include, but are not limited to:
     Removing an isolating circuit element, such as removing a
fuse;
     Blocking a control switch, including blocking a circuit
breaker with clips;
     Opening an extra disconnecting switch;
     Using a blocking device, such as a tie wire on a valve
handle;
     Blocking, blanking, or bleeding a line; including bolting
a blank flange on a line;
     Removing a valve handle or wiring it in place; or
     Shutting a second valve (double-valve isolation).
    As a last-resort option, an employer could choose to use an
attendant as an additional safety measure. While this would not be a
preferred method, this could be used should an employer not be able to
identify an additional safety measure that would be feasible at that
time. Phil Dovinh of Sound Testing, Inc., presented a long list of
additional measures that he called "positive measures" in his
testimony:

    When shipyard industry refers to lockout and tagout, we normally
mean a positive measure of some kind is to be used, not only just to
lockout or tagout, but also closing valves, removing handles, splash
zoning, blanking, plugging, ballooning, stuffing with a rag,
wedging, capping, drill, tap, plug, bandaging, securing manholes,
closing doors and hatches, shutting portholes and ventilation ducts,
tying ropes, duct-taping, guarding machinery, posting signs in
confined space entry when hot work remains, reenergize, disconnect,
pull the plug, tank cleaning, isolation, building containment, jerry
rigging, hanging fire blankets, water blanketing, et cetera (Ex.
198, pp. 150-151).

    While not endorsing all of the suggested "positive measures"
listed by Mr. Dovinh as acceptable additional safety measures, OSHA
appreciates the numerous ways that extra precautions can be taken
during servicing operations. In addition, Sound Testing, Inc.,
confirmed that most employers are taking extra precautions, and are
proactive in protecting their employees, including while they are
performing servicing operations. Moreover, testimony from several
commenters advocated taking an extra step, regardless of whether locks
or tags were being used (Exs. 168, pp. 100-101; 198, pp. 39-40, 150-
151; 199, p. 248). OSHA appreciates these comments, and believes that
these additional provisions will not be burdensome for employers to
implement.
    A note \2\ has been added to paragraph (c)(4) to explain that when
the Navy ship's force maintains control of the machinery, equipment, or
systems on a vessel and has implemented such additional measures it
determines are necessary, the provisions of paragraph (c)(4)(ii) of
this section do not apply, provided that the employer complies with the
verification procedures in paragraph (g) of this section. Following the
deenergization, isolation, and application of a lock or tag of any
machinery, equipment, or system, the authorized employee must verify
deenergization and isolation prior to beginning the servicing
operation. In a group servicing situation, the employer's primary
authorized employee must verify, and all of the employer's authorized
employees must be given the option to verify, deenergization and
isolation prior to beginning the servicing operation. This procedure
will ensure that the employees who are not in control of the machinery,
equipment, or system, are protected from the uncontrolled release of
hazardous energy.
---------------------------------------------------------------------------

    \2\ See rationale for this note in the summary and explanation
above.
---------------------------------------------------------------------------

    Paragraph (c)(5), which was carried over from proposed paragraph
(b)(2)(iii), requires the employer to ensure that each energy-isolating
device is designed to accept a lock whenever the machinery, equipment,
or system undergoes extensive repairs, renovation, or modification, or
whenever new machinery, equipment, or systems are installed. In the
preamble to the general industry rule, OSHA explained that such
modifications are most effectively and efficiently made as part of the
normal equipment replacement or renovation cycle (72 FR 72452, 72494,
Dec. 20, 2007).
    American Seafood Company expressed concern over this requirement:

    It is also unlikely that [shipyards] will be able to insist that
their customers perform a complete Hazardous Energy Control Plan and
retrofit prior to getting serviced in a shipyard. * * * While all
agree that as overhauls and replacements occurs it makes sense to
upgrade to Lockable Disconnects, the scope and enormity of
attempting to do so in anything other than a major refitting of a
ship's system is financially daunting (Ex. 105.1).

    However, Manitowoc Marine Group testified that they are already
moving toward updating equipment during repairs:

    No, that is exactly what we do going forward. We have an
electric superintendent. He has pretty much taken the job of the
electrical technician for the new vessels, and he does the work and
testing on some of the older vessels as well. And his main priority
is to align ourselves with the up-to-date material and equipment,
and so that we are in compliance going forward, for the vessel, for
us, when we actually do the work (Ex. 168, pp. 119-120).

    Atlantic Marine raised the following issue regarding shipyards that
do not own the vessel under construction:

    It is typical for ownership of a vessel under construction to be
the shipyard's until delivery of the vessel or some other
contractually agreed-upon date. Many of these machines, equipment,
and systems are owner furnished materials. How does an employer
comply with this paragraph if the customer does not want a lockable
system on the vessel? (Exs. 115.1; 118.1).

    OSHA understands that, in some situations, shipyard employers do
not control the equipment to the extent that they can have locks
installed as the main energy-isolating device. The proposed rule, in
paragraph Sec.  1915.89(b)(2)(iii), made clear that this requirement
would only apply to machines, equipment, and systems the shipyard
employer owns. OSHA agrees that compliance with the requirement to
install locks may not be possible when the shipyard employer does not
own the machines, equipment, or systems, and is including this
exception in paragraph (c)(5)(i) of this final rule. In addition, the
Agency included a second exception, paragraph (c)(5)(ii), specifying
that the requirement for installing or converting to lockable systems
does not apply when a shipyard employer builds or services a vessel or
vessel section according to customer specifications. Both Bath Iron
Works and Northrop Grumman--Newport News testified that they must
purchase materials and equipment for the vessels on which they perform
construction. The vessel owners, who may not be subject to OSHA's
authority, could specify that they do not want lockable systems. OSHA
acknowledges this dilemma, and concludes that the two exceptions to
installing locks are appropriate, especially since the tagout
requirement will cover all systems that cannot be locked. By setting
forth these exceptions in this final standard, shipyard employers will
know when they are not required to modify energy-isolating devices to
be lockable. In all other circumstances, however, the requirement in
paragraph Sec.  1915.89(c)(5) for lockable energy-isolating devices must
be followed.
Paragraph (c)(6)--Full Employee Protection
    Final paragraph (c)(6) clarifies the requirements when employers
use a tags-plus system in lieu of a lock when a machine, piece of
equipment, or system is capable of being locked. These provisions,
proposed under Sec.  1915.89(b)(3)(i) and (ii), are organized in this
final rule to eliminate any misunderstanding of what OSHA requires for
"full employee protection" under the control of hazardous energy.
    Paragraph (c)(6)(i) requires that when a tag is affixed to an
energy-isolating device instead of a lock, the tag must be attached at
the same location that the lock would have been attached. As discussed,
tags are prominent warning devices that provide protection by
identifying the energy-isolating device as a source of potential
danger. Improper placement of a tag could result in a serious injury.
    Final paragraph (c)(6)(ii), which was proposed as paragraph
(b)(3)(ii), requires an employer to demonstrate that a tags-plus system
will provide a level of protection equivalent to that of a lock.
Paragraph (c)(6)(ii)(A) requires that employers demonstrate full
compliance with all tagout-related provisions of this subpart.
Paragraph (c)(6)(ii)(B) requires that employers also implement such
additional safety measures as are necessary to provide the equivalent
safety available from using a lock.
    The requirement for an additional safety measure(s) is a key
element in demonstrating that the tagout program provides equivalent
protection to a lockout program. In other words, at least one added
safety measure must be used in addition to tagging the energy-isolating
device to prevent unexpected reenergization. This independent,
additional measure protects an employee from injury or death through
the inadvertent activation of an energy-isolating device caused by
human error, inadvertent contact, the loss or detachment of a tag, or
from any other limitation of tags. As discussed above, additional
safety measures might include, but are not limited to: Closing a second
in-line valve (for example, double block and bleed); removing a valve
handle to minimize the possibility that machines or equipment might be
inadvertently energized or started; removing an additional isolating
circuit element (for example, fuse); opening an extra disconnecting
device (for example, disconnecting switch; circuit breaker); opening
and then racking out a circuit breaker; grounding an electrical circuit
if the grounding practice protects the employee should the tagged
isolating device be activated; or locking, blocking, or barricading a
controlling switch.
    Any additional safety measure used must be integrated into an
energy-control program through sound hazard-specific analyses on a
case-by-case basis. For example, blocking a control switch as an
additional safety measure to tagging an electrical disconnect may be an
effective second layer of protection for preventing the mechanical
activation of a machine, but this block may be an inadequate additional
safety measure for the same machine's hydraulic or pneumatic hazardous-
energy sources. In short, this additional control measure provides the
authorized employee using a tagout program with a "second layer of
protection" in the event the tagout device for the primary isolating
device is defeated.
    In paragraph (c)(6), a note \3\ has been included to explain that
when the Navy ship's force maintains control of the machinery,
equipment, or systems on a vessel and has implemented such additional
measures it determines are necessary, the provisions of paragraph
(c)(6)(ii)(B) of this section do not apply, provided that the employer
complies with the verification procedures in paragraph (g) of this
section. Following the deenergization, isolation, and application of a
lock or tag of any machinery, equipment, or system, the authorized
employee must verify deenergization and isolation prior to beginning
the servicing operation. In a group servicing situation, the employer's
primary authorized employee must verify, and all of the employer's
authorized employees must be given the option to verify, deenergization
and isolation prior to beginning the servicing operation. This
procedure will ensure that the employees who are not in control of the
machinery, equipment, or system, are protected from the uncontrolled
release of hazardous energy.
---------------------------------------------------------------------------

    \3\ See rationale for this note in the summary and explanation
above.
---------------------------------------------------------------------------

Paragraph (c)(7)--Lockout/Tags-Plus Coordination
    Paragraph (e)(3)(ii)(C) of the proposal assigned responsibility to
an authorized employee to coordinate affected work forces and ensure
continuity of protection in a group lockout/tags-plus situation (that
is, when servicing is performed by a crew, craft, department, or other
group). During the comment period and at the public hearings, OSHA
learned that shipyard employers use different, more comprehensive
approaches such as a tiered approach, systems experts, or databases to
provide coordination in extremely complex shipboard environments.
iWorkWise stated:

    What a tiered approach to me is, the more complicated it gets,
maybe the more qualified or the more people that need to be
involved. So if I am going to lock out a pump and the pump has one
220 breaker, that is pretty simple, and it says Pump 1. You know,
almost anyone can be trained to do that. But when you start getting
back into the engine rooms and the control panels of these places,
there * * * [are] going to have to be multiple people involved or a
system expert, I should say, and when you are pulling in contractors
and shipyard employees, there has to be a lot of coordination. So I
think of it almost like the incident command system (Ex. 168, pp.
416-417).

Bath Iron Works uses a tiered approach when using a tag system:

    Every one of the tags, Joe, once a system's expert decides to
tagout a system, we use a three-part carbon copy, so each tag has
multiple copies, if you will. One goes to the supervisor, one goes
into a log box that is transferred over to an administrator, who
logs in all those tags, whatever information is on it, date, time,
specific reason why we are tagging out, puts onto a log sheet that
is reviewed at the operation level. The reverse is the same, when
you go to take them off (Ex. 168, pp. 276-277).

When questioned about their log system, Bath Iron Works stated:

    The tag itself has a carbon copy, it is snapped off, put into a
box. That box is sent up to an administrative clerk who enters all
that information into a database. So, anytime, at that point, if
someone has to get into that system or either secure it or non-
secure it, has to go back to the supervisor, and they have logs of
who has got the thing tagged out, and follow through that way (Ex.
168, p. 277).

    In addition, a National Shipbuilding Research Program study (NSRP
Study (Ex. 61)) entitled, "Review of Current and Best Practices for
Hazardous Energy Control (Tagout) in Shipyards, June 30, 2004," which
advocates a systems-expert approach, notes that a general industry-type
lockout/tags-plus program does not work in shipyard environments
because:
     The means of isolation are typically complex involving
many points of isolation and types of energy. The points of isolation
may require modification during the course of the work (roll back or
roll forward).
     The employees who perform the work on a particular system
are unlikely to have the capability of identifying all energy sources,
either initially based on engineering drawings and schematics or physically
on the ship.
     The employees who perform the work on a particular system
are unlikely to have the capability of coordinating the interface
between multiple jobs that have overlapping points of isolation (Ex.
61).
The NSRP Study also stated:

    Due to the complexity of shipboard systems, system experts are
relied upon to identify and isolate systems to permit the safe work
by non-system expert employees. * * * This process of using system
experts is similar to the use of competent persons for a variety of
other hazards (Ex. 61).

    OSHA finds these comments and testimony persuasive, and concluded
that employers must be given a different, more comprehensive method to
coordinate servicing in complex conditions. Based on the information in
the comments above, the findings of the NSRP Study, and OSHA's own
expertise, the Agency added a requirement for a lockout/tags-plus
coordinator and log in two situations: (1) When multiple employees
service the same machinery, equipment, or system at the same time on
vessels, in vessel sections, or at landside facilities; and (2) when
employees service multiple machinery, equipment, or systems at the same
time on the same vessel or vessel section.
    Final paragraph (c)(7)(i)(A) requires the coordination of all
lockout/tags-plus applications when employees are servicing multiple
machinery, equipment, or systems at the same time on vessels and in
vessel sections. This requirement for a lockout/tags-plus coordinator
(hereafter referred to as "coordinator) applies when employees,
whether contract or host employees, are performing separate, but
concurrent, servicing operations on different machinery, equipment, or
systems. Because of the complexity of machinery, equipment, and systems
used in vessels and vessel sections, as well as the existence of shared
and redundant energy sources, the Agency concluded that a requirement
for coordination would heighten employee protection. For example, a
generator aboard a U.S. Navy combatant vessel may supply power to the
vessel's weapons system and to the lighting system for a particular
part of a vessel. If the generator is secured for the servicing of both
these systems, and the employee servicing the weapons system restores
power to the generator for testing or troubleshooting, an employee
servicing the lighting system at the same time would be at risk of
electrocution. The presence of a coordinator, who would oversee removal
of the lockout/tags-plus system for the two operations, would eliminate
such a possibility.
    Paragraph (c)(7)(i)(A) does not require that a coordinator be used
when servicing multiple machinery, equipment, or systems at the same
time at landside facilities. The Agency concluded that machinery,
equipment, and systems at landside facilities do not have the same
complexities and redundant or shared energy sources as those aboard
vessels and in vessel sections. Further, machinery, equipment, or
systems at landside locations often have their own individual
disconnect or cutoff mechanisms that completely isolate them from other
machinery, equipment, or systems. In such cases, a coordinator is not
necessary because hazardous energy to a machine, piece of equipment, or
system can be controlled through a single source that will not affect
other machinery, equipment, or systems.
    Paragraph (c)(7)(i)(B) requires a coordinator when employees,
whether employed by the host employer or a contract employer, are
performing multiple servicing operations on the same machinery,
equipment, or systems at the same time on vessels, in vessel sections,
and at landside facilities. Such a situation might arise during
landside servicing operations, for example, when an electrician secures
the power on a portable crane so that a machinist can inspect the
crane's wire rope while ironworkers repair the crane's structural
members. Another situation, while servicing is being performed on a
vessel, could occur when two or more sets of employees work on high-
pressure steam lines. In such a situation, the energy source would be
secured, possibly using a single blank, in order for the piping to be
repaired in one location, such as the forward location of a machinery
space, while additional repairs are being performed in another separate
location (i.e., aft location of the machinery space two levels below
the forward location). By complying with the requirement to have a
coordinator, who would be aware of the status of each separate
servicing operation, the employer can avoid situations when an employee
servicing one part of a system is injured because another employee
working on another part of the system, without knowledge of the first
employee, restores power to that system.
    As defined in Sec.  1915.80, the lockout/tags-plus coordinator is
an employee designated by the employer to coordinate and oversee all
lockout/tags-plus applications for (a) multiple servicing operations on
the same machinery, equipment, or system at the same time, whether on
vessels, in vessel sections, or at landside facilities, and (b)
servicing operations on multiple machinery, equipment, or systems on
the same vessel or vessel section at the same time (Sec.
1915.80(b)(15)). Paragraph (c)(7)(ii) requires that the coordination
process include both the lockout/tags-plus coordinator and a lockout/
tags-plus log. In addition, the lockout/tags-plus log must be specific
to each vessel, vessel section, or landside work area. The specific
requirements for the lockout/tags-plus log are discussed below in
paragraph (c)(7)(iv).
    OSHA has not specified the number of servicing operations that must
be taking place or the number of employees performing the servicing
before a coordinator must be designated, nor does the Agency specify
that the coordinator may only be responsible for the lockout/tags-plus
coordination and log. By not including such specifications, OSHA is
giving employers the flexibility to make decisions based on the need in
their facilities to ensure employee protection. OSHA believes employers
are in the best position to assess this need. However, employers must
base this application on the complexity of vessels under construction
or repair. For example, a large vessel that is undergoing extensive
repairs and upgrades, with multiple contract employers and multiple
servicing operations, will likely have one employee with the sole
responsibility to be the lockout/tags-plus coordinator for that
particular vessel. On the other hand, if an employer has two smaller
vessels on adjacent piers with minimal servicing operations, that
employer may choose to either have one coordinator for both vessels, or
have an employee on each vessel with the collateral duty to serve as
the lockout/tags-plus coordinator.
    In paragraphs (c)(7)(iii)(A), (B), and (C), OSHA specified several
responsibilities of the lockout/tags-plus coordinator. These three
provisions require, respectively, the coordinator to oversee and
approve: The application of each lockout and tags-plus system; the
verification of hazardous-energy isolation prior to any servicing
performed on any machinery, equipment, or system; and the removal of
each lockout or tags-plus system. This requirement ensures that one
coordinator is responsible for approving these three phases of the
lockout/tags-plus process.
    Paragraphs (c)(7)(iii)(A), (B), and (C) requires the coordinator to
oversee and approve the application of each lockout/tags-plus system,
the verification of hazardous energy isolation before servicing begins,
and the removal of each lockout/tags-plus system. This oversight and approval
authority will require the coordinator to work closely with the authorized
person for each lockout/tags-plus application. The coordinator will review
the authorized person's plan and either approve or deny the request. Once
the coordinator approves a request, the authorized person, in consultation
with the coordinator, will apply the lock or tags-plus system, verify isolation
of the hazardous energy, and remove the lockout/tags-plus system.
    In addition to coordinating all lockout/tags-plus applications, the
coordinator must maintain the lockout/tags-plus log. In paragraph
(c)(7)(iv), OSHA specified six items that the coordinator must maintain
in the log, including: The location and the type of the machinery,
equipment, or system (paragraphs (c)(7)(iv)(A) and (B)); the name of
the authorized employee applying the lockout/tag-plus system (paragraph
(c)(7)(iv)(C)); the date that the lockout/tags-plus system was applied
(paragraph (c)(7)(iv)(D)); the name of the authorized person removing
the lock or tags-plus system (paragraph (c)(7)(iv)(E)); and the date
that the lockout/tags-plus system was removed (c)(7)(iv)(F)). This
information is needed so that the lockout/tags-plus coordinator can
effectively oversee all lockout/tags-plus applications prior to
servicing operations to ensure the safety of each authorized and
affected employee. Inclusion of this information in the log will permit
the coordinator to know, at all times, which systems are under lockout/
tags-plus and which authorized person is responsible for each lockout/
tags-plus application.
    As stated previously, the Agency is aware of cases in which the
U.S. Navy will designate its ship's force to coordinate and/or apply
the lock or tags-plus systems on Navy vessels being serviced in a
private-sector shipyard, and also to maintain control of the lockout/
tags-plus log, rather than a shipyard-assigned employee. In those
instances, OSHA believes that having a Navy-designated coordinator and
authorized person who applies the lockout/tags-plus systems fulfills
certain requirements as set forth in "Notes" in the applicable
sections of the regulatory text and achieves the level of protection
required by this section. In paragraph (c)(7), a note \4\ has been
included to explain that when the Navy ship's force is the lockout/
tags-plus coordinator and maintains control of the lockout/tags-plus
log, the employer will be in compliance with paragraph (c)(7) of this
section when coordination occurs between the ship's force and the
employer to ensure that applicable lockout/tags-plus procedures are
followed and documented. Here, the term "employer" refers to the host
employer, any of its contractors, or any employer contracted directly
by the military. In these cases, all employers performing servicing
work must coordinate all aspects of the lockout/tags-plus program with
the Navy ship's force. The host employer should perform this
coordination for all host employer personnel and for contractors and
other personnel hired by the host employer.
---------------------------------------------------------------------------

    \4\ See rationale for this note in the summary and explanation
above.
---------------------------------------------------------------------------

Paragraph (d)--Lockout/Tags-Plus Written Procedures
    Paragraph (d), Lockout/tags-plus written procedures, is a departure
from the proposal (Sec.  1915.89(b)(4)), which was based on the general
industry standard. Changes from the proposal primarily involve the
recognition that servicing machinery, equipment, and systems in the
shipyard environment often entails complexities that require a
different approach regarding documentation of procedures.
    Paragraph (d)(1) requires that employers establish and implement
written energy-control procedures to prevent energization or startup,
or the release of hazardous energy, during the servicing of machinery,
equipment, or systems. This provision was proposed as paragraph
(b)(4)(i). The written procedures must include all information
employees must know in order to control hazardous energy during
servicing.
    OSHA received several comments requesting clarification whether
OSHA was proposing to require a written procedure for every machine,
piece of equipment, or system. Accordingly, a group of commenters,
including Lake Union Drydock Company, American Seafoods Company, Puget
Sound Shipbuilders, Dakota Creek Industries, North Pacific Fishing
Vessel Owners Association, and iWorkWise, inquired: "How are they to
require or generate such written procedures for all equipment when as
shipyards they will not work on most of it, and they have no control
over the existing equipment installations?" (Exs. 101.1; 105.1; 124;
126; 128; 130.1). Prowler LLC and Ocean Prowler LLC commented: "Will
[ship]yards have to write procedures for every piece of equipment they
work on?" (Ex. 100).
    As OSHA stated in the proposal the standard does not require
separate procedures to be written for each and every piece of equipment
(72 FR 72452, 72493, Dec. 20, 2007). Similar machines and/or equipment
(such as those using the same type and magnitude of energy) that have
the same or similar types of controls can be covered with a single
procedure. For example, employers may develop one set of procedures for
all steering gear systems, ship's lighting systems, ship's
refrigeration systems, fire-suppression systems, grinders, or lathes if
the type and magnitude of energy and type of controls are the same or
similar for the particular systems, and as long as the procedure
satisfactorily addresses hazards and the steps that must be taken to
control these hazards. However, if unique conditions are present, such
as multiple energy sources or different means of connection, then the
employer must develop specific energy-control procedures to address
these conditions to ensure that employees are protected. For example,
if a system requires that a unique shutdown sequence be followed,
specific energy-control procedures will be required for that system.
    OSHA added a note to paragraph (d)(1), specifically addressing this
issue, which explains that employers only need to develop a single
procedure for a group of similar machines, equipment, and systems if
the machines, equipment, or systems have the same type and magnitude of
energy and the same or similar type of controls, and if a single
procedure can satisfactorily address the hazards and the steps to be
taken. Under those circumstances, a separate procedure need not be
written for each and every machine or piece of equipment.
    Prowler LLC and Ocean Prowler LLC asked the following question:
"If the ship has not clearly labeled their equipment or disconnects,
will the [ship] yard then have to write a procedure prior to working on
it as they are not 'readily identifiable'?" (Ex. 100). OSHA believes
that whether a vessel undergoing repair is in a shipyard for a few
weeks, a few months, or a few years, it is the responsibility of the
shipyard employer to develop procedures that will cover all machinery,
equipment, or systems on which it will perform servicing operations.
OSHA understands that vessels typically do not return for repairs to
the shipyards in which they were built, and that some vessels,
particularly foreign-built vessels, may have components that are
difficult to identify. However, the release of hazardous energy is a
serious hazard, and OSHA concludes that employers must not exclude any
machinery, equipment, or systems from their lockout/tags-plus programs.
In this regard, it is the employer's responsibility to correctly identify
all energy sources and the means to control them. When the shipyard employer
cannot identify and control all energy sources, the entire systems may need
to be shut down.
    Manitowoc Marine Group described how its employees assist in this
process:

    What we have tried to do is we have tried to somewhat model the
general industry to a point. We will identify the energy sources as
best we can with the crew. We usually have the crew members with us,
walking through the processes. And what we try to do with this is,
we identify a "boat boss," for lack of better phrase. He will
actually shut the entire systems down, because in most cases, we are
not working with the systems. We are doing physical repair of the
vessel. All of these complex systems and beltings are all locked out
physically, from pneumatics, hydraulics, whatever the case may be,
identified, and placement of the locks (Ex. 168, pp. 110-111).

    Paragraph (d)(1)(i) requires that the written energy control
procedures include a clear and specific outline of the scope and
purpose of the lockout/tags-plus procedures. As proposed (proposed
paragraph (b)(4)(ii)), this provision would have required the procedure
to have an outline of the scope, purpose, authorization, rules,
techniques used to control hazardous energy, and the means to enforce
compliance. After reviewing accident reports, comments, and testimony
on conditions in shipyard employment, OSHA concluded that requiring
documentation of the authorization and rules regarding the control of
hazardous energy is not necessary or appropriate (see preamble
discussion above). However, because the consequences of the release of
hazardous energy can be serious, the Agency included the provision
requiring a means of enforcement in paragraph (d)(1)(ii) of this final
rule; this paragraph addresses the employer's enforcement
responsibility. This requirement does not specify how an employer must
enforce employee compliance with the lockout/tags-plus program and
procedures, only that the employer must do so. OSHA made this
requirement performance-based, allowing employers to establish
disciplinary programs that will be effective under the unique
conditions of each shipyard. OSHA believes this requirement will ensure
that employers and employees understand the importance of following the
established lockout/tags-plus procedures. At the same time, this
provision will provide employers with flexibility to tailor their
enforcement programs to their shipyard conditions.
    Paragraph (d)(1)(iii) requires employers to provide the steps
employees must follow when using each of the procedures specified by
paragraphs (d)(1)(iii)(A) through (I). OSHA included paragraphs (A)
through (E) in the proposal. These paragraphs specify, respectively,
the following procedures: Preparations for shutting down and isolating
the machinery, equipment, or system to be serviced in accordance with
paragraph (e) of this section; application of the lockout/tags-plus
system in accordance with paragraph (f) of this section; verification
of isolation in accordance with paragraph (g); testing the machinery,
equipment, or system in accordance with paragraph (h); and removing
lockout/tags-plus systems in accordance with paragraph (i).
    In addition to these procedures, OSHA added the procedures
specified by paragraphs (d)(1)(iii)(F) through (I) to the final
standard. Accordingly, employers are to provide the steps employees
must follow when using each of these procedures. Paragraphs (F) through
(I) specify: Starting up the machinery, equipment, or system in
accordance with paragraph (j) of this section; applying lockout/tags-
plus systems in group servicing operations in accordance with paragraph
(k); addressing multi-employer worksites involved in servicing
machinery, equipment, or systems in accordance with paragraph (l); and
addressing shift or personnel changes during servicing operations in
accordance with paragraph (m).
    During the Washington, DC public hearing, Northrop Grumman--Newport
News emphasized the benefit of training employees on their procedures,
further illustrating how important a single set of standards can be:

    They [land-side employees] do go on-board and often the workload
shifts, we will bring work into the shops and we will work in the
shops, and we will take it back and reinstall it, so there is some
movement back and forth between shop and ship, so it's not like
there is never the twain shall meet. Furthermore, as there has been
integration, for example, Newport News has been integrated with our
Gulf Coast yards, and we are moving people back and forth between
the Gulf yards and Newport News, and we think it is important, if we
can get there, to have a consistent set of standard or standards
that would apply across the board, so I don't have to retrain Gulf
employees in my procedures and/or vice versa (Ex. 168, pp. 264-265).

    OSHA agrees that, by establishing procedures that include all of
the steps necessary for identifying each source of hazardous energy,
applying the lockout/tags-plus system, releasing the energy, testing
the equipment, removing the lockout/tags-plus system, and starting up
the machinery, equipment, or system, the employer will have a
comprehensive and easy-to-administer lockout/tags-plus program. In
addition, employers will be able to establish the basic provisions of a
lockout/tags-plus program throughout their facilities and with the
entire workforce, which OSHA believes will enable employees to better
protect themselves.
    OSHA acknowledges that circumstances may arise when an employer
must develop specific procedures that apply to only one work situation.
Manitowoc Marine Group testified on a recent procedure it developed:

    We just recently developed a lockout procedure specifically for
a self-unloading belt system, because of a potential that we did
discover. But that is only as good as that system for that vessel.
And that is where I guess where we struggle the most is the
different types of exotic systems that come in here, identifying and
developing the procedures. It will be wonderful if we identify all
of these vessels and have all these procedures in place, and they
would come back year after year. But as you well know, those things
change season to season (Ex. 168, p. 111).

    Paragraph (d)(2) provides an exception to the requirement to have
written control procedures for particular machinery, equipment, and
systems. In the proposal, OSHA specified the conditions limiting
application of the exceptions in a note to paragraph (b)(4)(i). The
note was lengthy, detailed, and composed of small print. To promote
easy access to, and improve understanding of, these exceptions, OSHA
included them in the text of paragraph (d)(2) of this final standard.
Under these exceptions, employers need not have a written procedure for
equipment when all of the following conditions exist: (1) The machine,
equipment, or system has no potential for the release or re-
accumulation of hazardous energy after shutting down or restoring
energy; (2) the machine, equipment, or system has a single energy
source that can be readily identified and isolated; (3) the isolation
and locking out of the energy source will completely deenergize and
deactivate the machine, equipment, or system, with no potential for re-
accumulation of energy; (4) the machine, equipment, or system is
isolated from that energy source and secured during servicing; (5) a
single lock will achieve a locked-out condition; (6) the lock is under
the exclusive control of the authorized employee performing the servicing;
(7) the servicing does not create hazards for other employees; and (8)
the employer, in utilizing this exception, has had no accidents
involving the activation or reenergization of this type of machinery,
equipment, or system during servicing. The exception is the same as the
proposed exception, and OSHA continues to believe it is warranted as
there is little or no risk to employees when applied correctly. To
require a written procedure under these conditions would divert
resources from other, high-risk, situations. OSHA believes that this
exception will primarily apply to landside facilities, not ship's
machinery, equipment, or systems, due to the latter's complex nature.
Paragraphs (e)--(j) Procedures for Lockout/Tags-Plus
    These paragraphs establish procedures that authorized employees
must follow when applying energy controls. The energy-control
procedures must include procedures for:
     Shutdown and isolation (paragraph (e));
     Application of lockout/tags-plus systems (paragraph (f));
     Verification of deenergization and isolation (paragraph
(g));
     Testing (paragraph (h));
     Removing lockout/tags-plus systems (paragraph (i)); and
     Startup (paragraph (j)).
Paragraph (e)--Procedures for Shutdown and Isolation
    Paragraph (e) establishes the provisions for the safe shutdown of,
and the isolation of hazardous energy to, machinery, equipment, or
systems. The procedures for shutdown and isolation were proposed as
Sec. Sec.  1915.89(c)(1)-(c)(3). Final paragraph (e)(1)(i) requires
that, before any authorized employee shuts down any machinery,
equipment, or system, the authorized employee must have knowledge of
the source, type, and magnitude of the hazards associated with
energization or startup of the machinery, equipment, or system; the
hazards associated with the release of hazardous energy; and the means
to control those hazards. American Seafoods Company stated: "The
employee(s) performing the work typically [do] not have the expertise
to determine all types and magnitudes of hazardous energy" (Ex.
105.1). OSHA understands that the machinery, equipment, and systems on
vessels and vessel sections are complex and sometimes have multiple
sources of energy. Under such conditions, the release of hazardous
energy presents a grave risk to employees. This risk is the primary
reason why OSHA retained the training requirements in paragraphs
(o)(4)(i) and (o)(4)(ii): All authorized employees must have training
so they know the types of energy sources and the magnitude of the
energy present at the worksite. In addition, all authorized employees
must know the means and methods necessary for effective isolation and
control of hazardous energy. OSHA believes that authorized employees
must have this knowledge prior to servicing operations to protect
themselves and other employees. Therefore, OSHA is retaining this
language for the final standard.
    Paragraph (e)(1)(ii) of the final rule retains the proposed
requirement (proposed Sec.  1915.89(b)(9)) to notify affected employees
when machinery, equipment, or systems are being shut down and a
lockout/tags-plus system is being applied. OSHA has moved this
requirement into the procedures for shutdown and isolation to emphasize
the importance of this step in the process of safely shutting down and
isolating machinery, equipment, or systems that are going to be
serviced. OSHA has concluded that notification is necessary to protect
affected employees who may not be aware that shutdown will take place
and that the machine, equipment, or system they normally work on will
be taken out of service for a period of time. When affected employees
\5\ are not aware of the shutdown condition, they may take actions that
are not consistent with safe practices, such as attempting to restore
power to the system. For example, some systems may run the length of
the vessel and pass through several decks, or span several spaces
within the vessel. Affected employees may be working on a system in
various locations, or they may be working near where the servicing is
taking place. These affected employees must be notified of the lockout/
tags-plus application to ensure that they are aware that they must not
energize or start up the machinery, equipment, or system because it is
being serviced, that they must not remove or disable the lockout/tags-
plus application, and that they cannot use the machinery, equipment, or
system to perform their regular job until after they are notified that
the lockout/tags-plus application has been removed. Without such
notification, affected employees may inadvertently energize or start a
piece of machinery, equipment, or system, thus endangering any
authorized employee performing servicing.
---------------------------------------------------------------------------

    \5\ As a reminder, affected employees are those employees who
either normally operate the machinery, equipment, or system that is
being serviced, or who work in the area where the servicing is
taking place.
---------------------------------------------------------------------------

    Paragraph (e)(2) requires that the machinery, equipment, or system
be shut down according to the written procedures that the employer
established pursuant to paragraph (d). This action is the starting
point for all subsequent steps necessary to put the machinery,
equipment, or system in a state that will allow employees to work on or
near it safely. As discussed above, the employer must establish and
implement procedures for all machinery, equipment, or systems. The
authorized employee must follow these procedures. Paragraph (e)(3)
requires that an orderly shutdown be used to prevent exposing any
employee to additional or increased hazards resulting from the release
of energy. Paragraphs (e)(2) and (e)(3) were proposed as paragraph
(c)(2). OSHA received no comments on the proposed requirement to shut
down machinery, equipment, or systems in an orderly manner. OSHA is
therefore retaining these critical first steps in the shutdown process
in this final rule.
    Paragraph (e)(4), which was proposed as paragraph (c)(5), requires
the employer to ensure that the authorized employee relieves,
disconnects, restrains, or otherwise renders safe all potentially
hazardous energy that is connected to the machinery, equipment, or
system that will be serviced. This requirement emphasizes that the
authorized employee must ensure that every possible source of energy to
the machinery, equipment, or system being serviced is deenergized. Thus
if a system is deactivated but stored, residual, or otherwise hazardous
energy remains, the authorized employee must relieve or disconnect that
energy to fully protect the employees who will be servicing the system.
Paragraph (e)(1)(i) is, of course, a prerequisite to paragraph (e)(4),
since the authorized employee must fully understand all sources of
potential energy associated with the machinery, equipment, or system
that will be serviced. No comments were received on this provision, and
OSHA retained it in the final rule.
    A note \6\ has been added to paragraph (e) describing that, when a
Navy ship's force shuts down machinery, equipment, or systems and
relieves, disconnects, restrains, or otherwise renders safe all
potentially hazardous energy connected to the machinery, equipment,
or system, the employer will be in compliance with paragraph
(e) when the employer's authorized employee verifies that the
machinery, equipment, or system being serviced has been properly
shutdown, isolated, and deenergized. Here, the term "employer" refers
to the host employer, any of its contractors, or any employer
contracted directly by the military.
---------------------------------------------------------------------------

    \6\ See rationale for this note at the summary and explanation
of the note to paragraph (c)(7), above.
---------------------------------------------------------------------------

Paragraph (f)--Procedures for Applying Lockout/Tags-Plus systems
    Once the machinery, equipment, or system has been shutdown, the
next step is to apply the lock or tags-plus system. These procedures
were proposed in Sec.  1915.89(c)(4). The lock or tags-plus system
(which is a tag attached to the energy-isolating device and an
additional safety measure) must be located and applied in such a manner
as to isolate the machinery, equipment, or systems from all energy
source(s).
    Paragraph (f)(1) requires that only the authorized employee apply
the lock or tags-plus system. This provision was proposed as paragraph
(c)(4)(i). Paragraph (f)(2), proposed as paragraph (c)(4)(ii), requires
that when a lock is used, the authorized employee must affix the lock
so that the energy-isolating device is held in a safe or off position.
Paragraphs (f)(3) and (f)(4), which were proposed as paragraphs
(c)(4)(iii)(A) and (B), specify the requirements for the use of tags.
When a tags-plus system is used, tags must be affixed by the authorized
employee directly to the energy-isolating device. The placement of
these tags must clearly indicate that the removal of the device from
the safe or off position is prohibited. When a tag cannot be affixed
directly to the energy-isolating device, it must be located as close as
possible to the device in a safe and obvious position. These
requirements also are included in the training of both affected and
authorized employees, as discussed in paragraph (o) below. OSHA did not
receive any comments opposing the requirements in paragraphs (f)(3) and
(f)(4). OSHA is retaining the language as proposed for this final
standard because these steps constitute safe practices that are common
and essential to all effective lockout/tags-plus programs.
    Paragraph (f)(5), proposed as paragraph (c)(3), contains the
requirements for energy-isolating devices. The employer is required to
ensure that these devices control the energy to the machinery,
equipment, or systems, and ensure that the device is effective in
isolating the machinery, equipment, or system from all potentially
hazardous-energy sources. The purpose of lockout/tags-plus is to
eliminate or control hazardous energy, and the devices used to do so
are critical to the success of the employer's program. Hazardous energy
includes stored or residual energy. This type of energy presents a
unique hazard to employees when, for example, the energy becomes
trapped in a system or develops from gravity exerting pressure on
spring-loaded components. As stated in the preamble to the general
industry standard, such stored or residual energy cannot be turned on
or off; it must be dissipated or controlled (54 FR 36677, Sept. 1,
1989). Nevertheless, there are ways to render this energy harmless. To
control this potentially hazardous energy, the authorized employee may
need to use blanks, blocks, bleed valves, or other physical components.
Finding, and rendering safe, all potentially hazardous energy sources
with appropriate energy-isolating devices and additional safety
measures is essential to the success of all lockout/tags-plus programs.
No comments were received on this provision; therefore, OSHA is
retaining the language in this final standard.
    As stated above there are instances when the Navy ship's force
maintains control of the lockout/tags-plus program. For these
instances, OSHA has included a note \7\ to paragraph (f) that explains
that when the Navy ship's force applies the lock or tag, instead of the
employer's authorized employee, the employer will be in compliance with
paragraph (f) of this section when the employer's authorized employee
verifies the application of the lockout/tags-plus system or device.
Here, the term "employer" refers to the host employer, any of its
contractors, or any employer contracted directly by the Navy.
---------------------------------------------------------------------------

    \7\ See rationale for this note in the summary and explanation
above.
---------------------------------------------------------------------------

Paragraph (g)--Procedures for Verification of Deenergization and
Isolation
    Paragraph (g)(1), which was proposed as paragraph (c)(6), requires
that, after the application of locks or a tags-plus system, the
authorized employee, or the primary authorized employee in a group
lockout/tags-plus application, must verify that the machinery,
equipment, or system is deenergized, and that the hazardous energy has
been isolated, before starting the servicing operation. Northrop
Grumman-Newport News agreed with this provision, stating that this was
currently a step of their lockout/tagout program. They indicated that
their "Employees are required to know how to check for residual or
potential energy when first entering into equipment or systems isolated
as a secondary check following the expert based assessment and
deenergization of systems" (Ex. 120.1). In addition, Foss Maritime
confirmed that their procedures include provisions to ensure that all
energy has been released: "I think the most important [action] that
you can do is bleed the system out to make sure there is no energy
left" (Ex. 198, p. 27). The U.S. Navy recommended that OSHA "delete
the words 'Following the application of lockout or tagout devices to
energy-isolating devices.' This leaves the key requirement that all
stored energy must be relieved, but without a required order of
performance which is not always possible" (Ex. 132.2). The Navy gave
no examples of when verification cannot be conducted. OSHA disagrees
with this commenter and believes that verification is always possible,
needs to take place after the lock or tags-plus system has been applied
to the energy-isolating device, and is necessary to ensure
deenergization. Therefore, OSHA is retaining this provision in the
final rule. OSHA added clarifying language that addresses group
lockout/tags-plus applications (see Sec.  1915.89(k)). For those
instances when there is a group lockout/tags-plus application
occurring, the primary authorized employee, rather than all of the
authorized employees working in the group application, would verify
that the machinery, equipment, or systems have been deenergized and all
energy sources isolated.
    Paragraph (g)(2) retains and expands the proposed requirement
(proposed Sec.  1915.89(c)(5)(ii)) to continue verification of
isolation. The proposed rule specified that, if there is a possibility
of reaccumulation of stored energy, verification must be continued
until servicing is completed or the possibility of reaccumulation no
longer exists. The final rule expands the verification of isolation
requirement so it is continued throughout the servicing operation.
Commenters, including Foss Maritime, said they already require
employees to verify that the system continues to be deenergized and
isolated prior to starting servicing on any machinery, equipment, or
system (Ex. 198, p. 27). OSHA believes this good industry practice
needs to be part of employers' lockout/tags-plus program and
procedures. Continuous verification of isolation will ensure the
ongoing protection of employees, particularly when a servicing
operation cannot be accomplished quickly or during a single workshift.
As stated above, OSHA included clarifying language that addresses group
lockout/tags-plus applications. For those instances
when there is a group lockout/tags-plus application occurring, the
primary authorized employee would continue the verification of
deenergization and isolation during servicing operations.
    For this final rule, OSHA added paragraph (g)(3) to ensure that
each employee working in a group lockout/tags-plus servicing operation
is offered the option to verify the deenergization and isolation of
machinery, equipment, or systems. Each employee will have this option
even when the primary authorized employee verifies isolation for the
group. This requirement has been OSHA's policy for general industry
lockout/tagout and for lockout/tagout in the electric power generation
industry. See www.osha.gov/SLTC/etools/electric_power/hazardous_energy_control_loto.html
and www.osha.gov/pls/oshaweb/owadisp.show_document?p_table=PREAMBLES&p_id=1149.
Paragraph (g)(3) simply codifies, in subpart F, that longstanding policy
as an additional protective element for authorized employees servicing
machines, equipment, or systems in a group lockout/tags-plus situation.
The option for all authorized employees to verify also applies when the
Navy ship's force controls the application of lockout/tags-plus
systems. In 1996, a shipyard employee was working on a Navy vessel. It
was the Navy's policy at the time that military personnel, not the
shipyard's authorized person, apply all tags. In this case, the
authorized person did not verify isolation of a 480-volt electrical
cabinet prior to beginning work. As a result, the disconnecting means
were not properly identified, and the circuits in the cabinet had not
been tested. The employee came into contact with energized parts in the
cabinet, was electrocuted, and died (Ex. 38). This death could have
been avoided had the shipyard's authorized person verified the
isolation.
Paragraph (h)--Procedures for Testing
    The standard allows for the temporary removal of locks or tags-plus
systems and the reenergization of equipment during the limited time
when power is needed for testing the equipment or positioning of its
components. The procedures were proposed in Sec.  1915.89(e)(1)(i)
through (v). The re-start operation must be conducted by the authorized
employee in accordance with the following sequence of steps to ensure
employees' safety when they transition equipment from a deenergized to
an energized condition, and then return to a deenergized condition: (1)
Clear the work area of tools and materials; (2) remove non-essential
employees from the work area; (3) remove the lock or tags-plus system
in accordance with the required removal procedures (see paragraph (i)
of this section); (4) energize the machinery, equipment, or system and
proceed with testing or positioning; and (5) when testing or
positioning is completed, deenergize and shut down the machinery,
equipment, or system, and reapply the locks or tags-plus systems in
accordance with the required control application procedures (see
paragraphs (e) through (h) of this section). Machine guarding or other
safety equipment need not be replaced before energizing the system for
testing, unless the employer establishes such a requirement in the
lockout/tags-plus program and procedures. However, when servicing is
completed, the safety equipment, including restraints and guarding,
must be fully restored prior to reenergization.
    OSHA added a note \8\ to paragraph (h), similar to the notes for
paragraphs (c), (e), and (f), that clarifies the employer's role when
the Navy ship's force serves as the lockout/tags-plus coordinator,
performs the testing, and maintains control over the lockout/tags-plus
applications. During testing, the employer will be in compliance with
paragraph (h) when the employer's authorized employee acknowledges to
the lockout/tags-plus coordinator that the employer's personnel and
tools are clear and the machinery, equipment, or system being serviced
is ready for testing; and upon completion of the testing, verifies the
reapplication of the lockout/tags-plus systems. Here, the term
"employer" refers to the host employer, any of its contractors, or
any employer contracted directly by the military.
---------------------------------------------------------------------------

    \8\ See rationale for this note in the summary and explanation
above. See rationale for this note at the summary and explanation of
the note to paragraph (c)(7), above.
---------------------------------------------------------------------------

    OSHA received no comments on any of the provisions in paragraphs
(h)(1) through (h)(5), which the Agency believes are necessary for the
safe testing of machinery, equipment, and systems. These provisions
permit the employer to conduct interim testing and still protect
employees by ensuring that the procedures are orderly and complete.
Therefore, OSHA is retaining these provisions in paragraphs (h)(1)
through (h)(5) in this final standard.
Paragraph (i)--Procedures for Removal of Lockout and Tags-Plus Systems
    Paragraph (i) establishes the procedures that authorized employees
must follow when removing locks or tags-plus systems (i.e., when the
equipment is being released from lockout or tagout status). These
procedures will assist the employer in returning the machinery,
equipment, or system to an effective operating condition without
exposing employees to the risk of injury while the lockout/tag-plus
system is being removed or when the machinery, equipment, or system is
reenergized. With the exception of minor editorial changes, the
provisions in final paragraph (i) are the same as proposed paragraph
(d).
    Paragraph (i)(1) requires the employer to ensure that, before the
lock or tags-plus system is removed and energy restored to the
machinery, equipment, or system, the authorized employee takes three
specific steps. The first step, set forth in paragraph (i)(1)(i),
requires the authorized employee to notify all other authorized and
affected employees in the work area that the lockout/tags-plus system
will be removed. This provision was proposed as paragraph (d)(2)(ii),
which required that the affected and authorized employees be notified
after the lockout or tagout devices were removed but prior to starting
the equipment. OSHA modified the language in the final standard to
simplify the requirements and to clarify that the notification must
take place prior to the lock or tags-plus system being removed.
    Paragraph (i)(1)(ii), the second step, requires the authorized
employee to ensure that all employees in the work area have been safely
positioned or removed. This step is critical to guaranteeing that these
employees are not harmed when the equipment is reenergized. Examples of
methods employers may use to alert employees that they need to either
be safely positioned or leave the work area may include conducting
visual inspections, or using buzzers, bells, alarms, or whistles.
    The final step, set forth in paragraph (i)(1)(iii), requires the
authorized employee to inspect the work area to ensure that
nonessential items have been removed and that the equipment components
are operationally intact. A visual inspection may be sufficient to meet
this requirement; however, the employer may choose to use a checklist,
depending on the complexity of the equipment.
    Paragraph (i)(2), proposed as (d)(3), requires that the lock or
tags-plus system be removed by the authorized employee who applied it.
This requirement ensures that the authorized employee, who is in direct
control of the lockout/tags-plus device, and who also is exposed to
potential injury while servicing operations are in progress, remains
in full operational control of the machinery, equipment, or system.
Ensuring that the authorized employee who applied the device is the only
employee permitted to remove it emphasizes the importance of the authorized
employee and the employer's lockout/tags-plus program. Further, this
provision will help prevent other employees from removing the device,
either intentionally or accidentally.
    Paragraph (i)(3) specifies that when the authorized employee who
applied the lockout/tags-plus system is not available to remove it, the
lockout/tags-plus system may be removed by another employee who is an
authorized employee and is working under the direction of the employer.
However, the employer must take specific actions prior to removal of
the system by another authorized employee. As stated in the proposal,
and now in paragraph (i)(3) of this final standard, the employer must
develop and incorporate specific procedures and training in the
lockout/tags-plus program that address removal of the system by another
authorized employee. In addition, the employer must demonstrate that
the procedures provide a level of safety that is equivalent to removal
by the initial authorized employee.
    Paragraphs (i)(3)(i) through (iii) establish the sequence of events
that must take place prior to the removal of the lockout/tags-plus
system by another authorized employee. As required in (i)(3)(i), the
employer must first verify that the authorized employee who applied the
lockout/tags-plus system is not in the facility. Paragraph (i)(3)(ii)
requires the employer to make all reasonable efforts to contact the
absent authorized employee to inform him/her that the lockout/tags-plus
system has been removed. Finally, paragraph (i)(3)(iii) requires the
employer to ensure that the absent authorized employee who applied the
lock or tags-plus system knows that the lock or tags-plus system has
been removed prior to the authorized employee resuming work. This
provision does not apply to an absent authorized employee who is simply
on a break, is using a sanitation facility, or is temporarily doing
other work. In addition, the substitution of another authorized
employee should not occur just because the original authorized employee
left at the end of his/her workshift. Employers may apply this
provision only in emergency situations, or when the absent authorized
employee is on vacation or will not be returning to the worksite for an
extended period of time (for example, employee is sick and is not able
to return for the next assigned workshift). Finally, substitution of
one authorized employee for another would not be a typical occurrence
but, rather, would be a rare event. These provisions were proposed in
paragraph (d)(3)(i) through (iii).
    OSHA has added a note \9\ to paragraph (i), similar to the notes
for paragraphs (c), (e), (f), and (h), that clarifies the employer's
role when the Navy ship's force acts as lockout/tags-plus coordinator
and removes the locks or tags-plus systems. The employer will be in
compliance with all of the provisions in paragraph (i) when the
employer's authorized employee informs the lockout/tags-plus
coordinator that the procedures in paragraph (i)(1) of this section
have been performed. Here, the term "employer" refers to the host
employer, any of its contractors, or any employer contracted directly
by the military. It is imperative for employee protection that the
lockout/tags-plus coordinator be informed that all employees servicing
the machinery, equipment, or system have been notified, all employees
are safely positioned or removed, and the work area is clear of
nonessential items before the Navy ship's force removes the lockout/
tags-plus system.
---------------------------------------------------------------------------

    \9\ See rationale for this note in the summary and explanation
above. See rationale for this note at the summary and explanation of
the note to paragraph (c)(7), above.
---------------------------------------------------------------------------

    As stated earlier, this final paragraph (i) was proposed as
paragraph (d). No comments were received on any of the proposed
provisions. OSHA concludes that, because the employer needs to be able
to remove a lockout/tags-plus application in the event that the
authorized employee is unavailable to remove it, the requirements in
paragraph (i) are necessary for the safety of employees. OSHA is
retaining the provisions as proposed with only minor editorial changes
in final paragraph (i).
Paragraph (j)--Procedures for Startup
    For this final standard, OSHA added a new paragraph that
establishes the procedures for startup of machinery, equipment, or
systems. OSHA believes that paragraph (j) will assist employers and
authorized employees to understand how to safely restart machinery,
equipment, or systems after servicing operations are completed. Some of
these provisions, which were implicit in the proposal, are similar to
those described in paragraph (i), Procedures for removal of lockout/
tags-plus systems. OSHA concludes that setting forth the procedures
required for each step involved in servicing equipment safely will
assist employers in developing programs that represent all actions that
must be taken from start to finish in lockout/tags-plus applications.
    Paragraph (j)(1) requires that, after servicing is completed and
before an authorized employee turns on or reenergizes any machinery,
equipment, or system, the authorized employee understand the source,
type, and magnitude of all hazards associated with the energization
process, and the means to control these hazards. This requirement
specifies an important duty of the authorized employee; this
requirement is integral with paragraphs (o)(4)(ii) and (iii), which
provide that the authorized employee must be trained to know this
information prior to the start of servicing operations.
    Paragraph (j)(2) requires that an orderly startup must be
implemented to prevent or minimize any additional or increased hazards
to employees. As described previously, authorized employees may be
servicing complex or large systems while other employees are in the
area. An orderly startup will ensure that all of these employees are
safe when the machinery, equipment, or system is reenergized.
    Startup must consist of at least the following three steps, as
specified in paragraphs (j)(2)(i) through (iii): (i) Tools and
materials must be cleared from the work area; (ii) all non-essential
employees must be removed from the work area; and (iii) the machinery,
equipment, or system must be started according to the detailed
procedures the employer established for that machinery, equipment, or
system. The employer must comply with the first two requirements either
by using a checklist or by having supervisors or foremen ensure, by
inspection or any other effective means, that the work area is cleared
of all tools, materials, and non-essential employees. OSHA did not
include a provision in this paragraph that required that all guards be
replaced prior to reenergization. The Agency believes that such a
requirement is not necessary since employers know that having
operationally intact machinery, equipment, or system means that the
machine guarding or other safety components must be replaced. In
addition, this condition is covered by other applicable provisions (29
CFR Sec.  1910, subpart O) that address machine guarding. Therefore,
OSHA concludes that these procedures for start-up are necessary to
protect employees while reenergizing machinery, equipment, or systems.
    OSHA has added a note \10\ to paragraph (j), similar to the notes
for paragraphs (c), (e), (f), (h) and (i), that clarifies the
employer's role when the Navy ship's force serves as the lockout/tags-
plus coordinator and maintains control over lockout/tags-plus during
startup of the machinery, equipment, or systems, and the employer is
prohibited from starting up the machinery, equipment, or system, the
employer will be in compliance with all of the provisions in paragraph
(j) provided that the employer's authorized employee informs the
lockout/tags-plus coordinator that the procedures in paragraph
(j)(2)(i) and (j)(2)(ii) of this section have been performed. Here, the
term "employer" refers to the host employer, any of its contractors,
or any employer contracted directly by the Navy. It is imperative for
employee protection that the employer's authorized employee ensures,
and communicates to the Navy's lockout/tags-plus coordinator, that the
work area is clear of tools, materials, and nonessential employees
before the machinery, equipment, or system is restarted.
---------------------------------------------------------------------------

    \10\ See rationale for this note in the summary and explanation
above. See rationale for this note at the summary and explanation of
the note to paragraph (c)(7), above.
---------------------------------------------------------------------------

Paragraph (k)--Procedures for Group Lockout/Tags-Plus
    Paragraph (k) establishes the provisions for group lockout/tags-
plus. Group lockout/tags-plus occurs when more than one employee is
working on the same machinery, equipment, or system simultaneously. The
term "employee" encompasses ship's crew, different yard crafts or
departments, or employees from another employer (i.e., contract
employees). These group lockout/tags-plus procedures were proposed as
paragraph (e)(3) and required that the employer designate an authorized
employee to coordinate affected work forces (proposed paragraph
(e)(3)(ii)(C)), and that each authorized employee affix a personal lock
or tag to a group lockout device, group lockbox, or comparable
mechanism (proposed paragraph (e)(3)(ii)(D)).
    Several commenters expressed concerns with the group lockout/tags-
plus proposal. Electric Boat commented on the impracticality of having
each authorized employee attach his or her own tag to the energy-
isolating device:

    This is one instance where trying to apply a general industry
standard to the shipbuilding and repair industry does not make sense
or increase safety. Electric Boat requests that OSHA consider
changing or removing this requirement where each person working on a
tagged system must place an individual tag(s) on the system. This
proposed method would not provide any additional safety to a proven
system and would present a substantial increase in the cost of
repair, installation and testing for shipyards (Ex. 108.2).

    OSHA received comments that several employers are using "systems
experts" to perform a function similar to the group's authorized
employee, and they would like to continue this practice. Trident
Seafoods testified:

    It wouldn't make sense to have 10, 15 processors trudging
someplace else in the vessel to go do a lockout, and then come back
when we have system experts that can guarantee they're locked out.
They go back in before they let people work and make sure
everything's secured. They can push any button, turn any valve they
want that may energize to assure themselves that it is locked out.
And then they let them do their cleanup, do the work if it's on a
dock side maintenance job, do their work. And then when they come
back, get ready to reenergize, it has to go back to the system
expert to reenergize and redo things (Ex. 199, p. 160).

    Manitowoc Marine Group agreed, and noted that they also use one
individual for multiple group lockout/tags-plus systems:

    The SCA member shipyard requires that the authorized employee,
because of his or her training and designation, must interface with
the authorized operator of said energized system to ensure that all
energy is contained prior to commencing work on that job. This is
far more effective at ensuring the safety of a group of employees
such as laborers, who know nothing of those systems, to affect a
lockout in an area such as a thruster tunnel (Ex. 125).

    During his testimony, Roy Martin described how Manitowoc Marine
Group performs group lockout/tag-plus on both construction and repair
jobs:

    Well, on the construction or the repair side of it, we usually
take leaders and supervision in each department as the vessels come
in. And they all meet, they talk about the different types of work
that they will be doing. Each one of those will place a lock on that
system prior to any work taking place. And once again, as work
progresses--and obviously, the reason for doing that is, as someone
finished and they removed their locks, it is still physically locked
out. So as far as the repair side of it goes, there is a group
locking procedure, to where we actually have representatives from
each one of the different departments place their locks on it (Ex.
168, pp. 128-129).

    The U.S. Navy commented: "When using an expert representative as
the authorized employee for group tagout applications, these experts
will require training on ship's systems and equipments, and the energy
control process, including device and tag attachment applications"
(Ex. 132.2).
    Based on the comments and testimony received, OSHA made several
changes to this paragraph in the final standard, including reorganizing
the provisions for clarity. This section has been divided into two
sections: primary authorized employees and authorized employees.
    Paragraph (k)(1) specifies the procedures for primary authorized
employees that must be implemented in group lockout/tags-plus
operations. First, paragraph (k)(1)(i) requires that the employer
assign responsibility to one authorized employee (the primary
authorized employee) for each group of authorized employees working on
the same machinery, equipment, or system. For example, if three groups
of employees are working on the fire-suppression system, there must be
three primary authorized employees--one for each group. Each primary
authorized employee will ensure that the members of the group have
applied their own locks, have signed a group tag, or have otherwise
complied with the employer's procedures for group servicing operations.
This requirement was proposed as paragraph (e)(3)(ii)(A).
    Second, paragraph (k)(1)(ii) requires the employer to develop and
implement procedures for determining the safe exposure status of
individual group member, and for taking appropriate measures to control
or limit that exposure. This requirement was proposed as paragraph
(e)(3)(ii)(B). The primary authorized employee, whether he or she has
been called an expert representative or systems expert, must be
designated the primary authorized employee and meet all the
requirements in this standard for a primary authorized employee,
including determining potential exposures to hazardous energy of the
group's employees, regardless of the size or complexity of a worksite.
If work needs to be conducted on a ship's system with which the primary
authorized employee has no experience, it is the employer's
responsibility to ensure that, prior to any servicing operation, the
primary authorized employee receives the necessary training in
accordance with paragraph (o)(4) of this standard. Knowledge of
systems, and the ability to determine whether fellow employees are
exposed to hazardous energy during servicing, are critical skills
needed by the individual whom the employer designates as the primary
authorized employee.
    Third, paragraph (k)(1)(iii) is a requirement that recognizes the
responsibilities and duties of the lockout/tags-plus coordinators and
the role they play in group lockout/tags-plus applications. This
paragraph differs from proposed paragraphs (e)(3)(ii)(C), which
required that one authorized employee be assigned control of the
overall job-associated lockout/tags-plus process, and to coordinate
efforts among all of the groups. OSHA believes that, when there are
multiple groups or individuals performing servicing operations on the
same machinery, equipment, or system at the same time, which is a
common occurrence in shipyards, a lockout/tags-plus coordinator, who
approves each group's lockout/tags-plus system, will be more effective
in managing all lockout/tags-plus systems. Each primary authorized
employee must obtain approval from the lockout/tags-plus coordinator
before applying and removing each lock or tags-plus system when
required by paragraph (c)(7)(i) of this section. In addition, paragraph
(k)(1)(iv) requires that the primary authorized employee coordinates
each servicing operation with the coordinator. Involvement of the
coordinator will ensure that the safety of other authorized employees
who are servicing equipment is taken into account, which is critical
when an energy source that has been, or will be, isolated provides
power to more systems than the one being serviced.
    Paragraph (k)(2) includes the provisions for the authorized
employees working in a group lockout/tag-plus operation. The provision
specifies that, when servicing is performed by multiple authorized
employees, the employer must either (i) have each authorized employee
apply a personal lockout or tags-plus system, or (ii) use a procedure
that the employer can demonstrate affords each authorized employee a
level of protection equivalent to the protection provided by having
each authorized employee apply a personal lockout/tags-plus system.
These procedures must incorporate a means for each authorized employee
to have personal control of, and accountability for, his or her own
protection. This is similar to proposed (e)(3)(i). OSHA believes that
the final language makes clear that employers have two options when
more than one employee is working on the same machinery, equipment, or
system at the same time: either each authorized employee applies his/
her own lock or tags-plus system, or the employees must use another
method that is just as protective as each authorized employee applying
a personal lockout/tags-plus system.
    Proposed paragraph (e)(3)(ii)(D) required each authorized employee
to affix a personal lockout/tags-plus device to the group lock when
they began work, or to use a group lockbox. Bath Iron Works gave an
example of how they used lockboxes at their facility:

    On a group lockout/tagout, we were using multiple clips. I will
give an example. If we do a substation lockdown for a weekend where
we check all the substations out, it typically happens twice a year.
On a group lockout we have had these clips, sometimes you would have
25 locks on these things. We have gone to a lockbox now, put the
locks inside the box and have one authorized person doing that, so
we have evolved into that (Ex. 168, p. 278).

    During the public comment period, OSHA received testimony that
employers would have difficulty complying with the group lockout
requirements as proposed. Trident Seafoods Corporation explained why
following a lockout/tagout program that was modeled after the general
industry standard would be inappropriate:

    It's very difficult to meet the group lockout/tagout, whether
it's working on our dock side on some of the vessels, or whether
it's doing cleanups for the processing decks. * * * Some of the
breaker boxes and isolation points for hydraulics are located in
other areas. So it wouldn't make sense to have 10, 15 processors
trudging someplace else in the vessel to go do a lockout * * * (Ex.
199, pp 159-160).

    OSHA determined that, in certain situations, the safety of the
servicing employees will be maximized if each employee in the group
affixes his/her personal lockout or tags-plus system device as part of
the group lockout. First, the placement of a personal lockout or tags-
plus system device gives the employee a degree of control over his/her
own protection. Second, the presence of an employee's lockout or tags-
plus system will inform all other persons, including the other
servicing employees and supervisors, that the employee is still working
on the machinery, equipment, or system. Third, as long as the device
remains attached, the primary authorized employee in charge of the
group lockout or tagout knows that the job is not completed and that it
is not safe to reenergize the machinery, equipment, or system. Fourth,
the servicing employee will continue to be protected by the presence of
his/her device until he/she removes it. The primary authorized employee
is not to remove the group lockout device until each employee in the
group has removed his/her personal device, indicating that employees
are no longer exposed to the hazards from the servicing operation.
    However, OSHA acknowledges that it is not always possible for each
authorized employee to affix his or her own lock or tag to an energy-
isolating device, especially when multiple employees are working on a
highly complex system. Therefore, OSHA has clarified, in paragraph
(k)(2)(ii), that the employer, as an alternative to having each
employee apply a personal lockout/tags-plus system, may use a procedure
that the employer can demonstrate affords each authorized employee a
level of protection equivalent to that provided by having each
authorized employee apply a personal lockout or tags-plus system. This
level of protection requires each employee to take some sort of
affirmative step, such as, but not limited to, a master or group
lockbox or a group tag signed by each authorized employee, before
servicing is started (sign-on) and after servicing is completed (sign-
off).
    If a single lock or set of lockout devices are used to isolate the
machinery, equipment, or system from the energy sources, each
authorized employee is afforded a means to utilize his/her personal
lockout or tagout device so that no one employee has control of the
means to remove the group lockout or tagout devices while employees are
still servicing the machinery, equipment, or system. This requirement
can be accomplished by the use of a group lockbox or other similar
appliance. Once the machinery, equipment, or system is locked out, the
key is placed into the lockbox, and each authorized employee places
his/her lockout or tagout device on the box. When each individual
authorized employee completes their portion of the work, they remove
their lockout or tagout device from the group lockbox. After all of the
personal lockout or tagout devices have been removed, the key for the
group lockout devices for the machinery, equipment, or system can be
used to remove the group lockout device. This method provides
protection for all employees working under a particular group lockout/
tags-plus device.
    For employers who choose to implement a group tags-plus system
using a group tag, such a system works similarly to the group lockout
system in the sense that all authorized employees must take the
affirmative action of signing the group tag. After the tag is properly
placed, the employer must ensure that each authorized employee "signs
on" by signing the tag. As each authorized employee completes his/her
portion of the servicing, he/she will "sign off" by initialing or
signing the tag. Once all employees have signed off, the primary authorized
employee will be able to proceed with removing the tag.
    OSHA notes that paragraph (k)(2)(ii) gives employees flexibility to
develop a system equivalent to the group lockout/tags-plus systems
described above by including paragraphs (k)(2)(ii)(A) and (B) as
examples of how employers can implement this system. The Agency
included as examples signing a group tag or tag equivalent, attaching a
personal identification device to a group lockout device, or performing
some comparable action before servicing is started. Following the
servicing operation, employees must then sign off the group tag or
equivalent, detach their personal identification devices, or perform a
comparable action that signifies they completed their work. Some
employers may choose to use work permits or other systems for providing
protection to employees in group servicing situations. Employers who
elect that option must be able to demonstrate that their systems
protect each authorized employee to the same degree as a personal lock
or personal tags-plus system. That level of protection is significant;
thus, the employer would need to develop well-designed and carefully
monitored procedures that include "sign on" and "sign off" by each
authorized employee, and provide thorough training to all authorized
employees and lockout/tags-plus coordinators.
    A note \11\ to paragraph (k)(2) was added for those situations when
the Navy ship's force maintains control of the machinery, equipment, or
systems on a vessel and prohibits the employer from applying or
removing the lockout/tags-plus system or starting up the machinery,
equipment, or systems being serviced. In these specific instances, the
shipyard employer is in compliance with the requirements in paragraphs
(k)(1)(iii) and (k)(2) provided that the employer ensures that the
primary authorized employee takes the following steps in the following
order: (1) Before servicing begins and after deenergization, (a)
verifies the safe exposure status of each authorized employee, and (b)
signs a group tag (or a group tag equivalent) or performs a comparable
action; and (2) after servicing is complete and before reenergization,
(a) verifies the safe exposure status of each authorized employee, and
(b) signs off the group tag (or the group tag equivalent) or performs a
comparable action.
---------------------------------------------------------------------------

    \11\ See rationale for this note in the summary and explanation
above.
---------------------------------------------------------------------------

    The U.S. Navy uses a system that incorporates procedures from the
Navy's Tagout User's Manual (TUM) and Work Authorization Form (WAF) for
controlling hazardous energy during servicing. This system requires the
employer's primary authorized employee, but not each authorized
employee, to sign the WAF. As discussed above, the Navy ship's force
maintains control of the machinery, equipment, and systems during
servicing, which removes control from the individual shipyard
employers. Since it is the shipyard employer's authorized employees who
perform the servicing operations and who are thus exposed, it remains
the responsibility of the shipyard employer to ensure the safety of the
authorized employees.
    The requirement in this final standard for affirmative steps to be
taken by each authorized employee in a group lockout/tags-plus
situation duplicates requirements in OSHA's lockout/tags-plus standards
for general industry and the electric power industry. As OSHA noted in
the preamble to the final electric power generation standard, the
fundamental premise of lockout or tagout is "personal protection." 59
FR 4319, 4360, Jan. 31, 1994. However, the Agency agreed that some
"modification of the general rule" for employees to apply their own
personal locks or tags is warranted under specific circumstances,
including, to a limited extent, in group lockout or tagout situations.
59 FR at 4360. Accordingly, OSHA promulgated Sec.  1910.269(d)(8)(ii),
which includes the following provision:

    (8) Additional requirements.
    * * *
    (ii) When servicing or maintenance is performed by a crew,
craft, department, or other group, they shall use a procedure which
affords the employees a level of protection equivalent to that
provided by the implementation of a personal lockout or tagout
device. Group lockout or tagout devices shall be used in accordance
with the procedures required by paragraphs (d)(2)(iii) and
(d)(2)(iv) of this section including, but not limited to, the
following specific requirements:
    * * *
    (D) Each authorized employee shall affix a personal lockout or
tagout device to the group lockout device, group lockbox, or
comparable mechanism when he or she begins work and shall remove
those devices when he or she stops working on the machine or
equipment being serviced or maintained.

Sec.  1910.269(d)(8)(ii)(D) (emphasis added).

    In the preamble to the final electric power generation standard,
OSHA explicitly rejected a system that did not specify the use of
individual locks or tags by the individual employees of a group but,
rather, accorded to a single authorized employee the responsibility for
all employees in the group. 59 FR at 4361. OSHA acknowledged the
difficulty of addressing LOTO when complex equipment is serviced by
numerous employees extending across multiple workshifts. Id.
Nonetheless, the Agency stressed its basic approach of requiring
individual responsibility for application and removal of lockout or
tagout devices, stating:

    (1) [I]rrespective of the situation, the requirements of the
final rule specify that each employee performing maintenance or
servicing activities be in control of hazardous energy during his or
her period of exposure.
    (2) The procedures must ensure that each authorized employee is
protected from the unexpected release of hazardous energy by
personal lockout or tagout devices. No employee may affix the
personal lockout or tagout device of another employee.
    (3) The use of such devices as master lock and tags are
permitted and can serve to simplify group lockout/tags-plus
procedures.* * * In a tagging system, a master tag may be used, as
long as each employee personally signs on and signs off on it and as
long as the tag clearly identifies each authorized employee who is
being protected by it.

Id. at 4261-62.

    The Occupational Safety and Health Commission addressed the group
lockout/tags-plus provisions in the electric power generation standard
in Exelon Generating Corp., 2005 OSHRC No. 17 (Apr. 26, 2005). There,
the Commission upheld a citation issued to Exelon for Exelon's failure
to require each employee to affix a personal lock or tag to a group
lockout/tags-plus device or sign on/off a master tag. Id., slip op. at
1. As the Commission noted:

    Beginning with the general industry standard and carried forward
into the power generation standard, the core concept of lockout/
tags-plus is personal protection, that each individual worker
controls his/her own lock or tag. This fundamental requirement does
not convert the standard from performance oriented to a
specification standard. Rather, individual control over the lockout/
tags-plus devices constitutes a core performance requirement of the
standard.

Id. at 5 (emphasis in original). Accordingly, the Commission rejected
Exelon's contention that OSHA agreed to substitute verbal notification
of the application and removal of LOTO protection for the requirement
of individual worker sign on/off. Id. at 6. The Commission also
referred to OSHA's compliance directive, which approved the use of a
work permit or master tag in a group LOTO situation, provided each
employee takes the physical step of personally signing on and off the
job. Id. at 7.

    OSHA developed compliance directives for the control of hazardous
energy both in general industry (CPL 02-00-147, Feb. 11, 2008) and in
electric power generation, transmission, and distribution (CPL 2-1.38,
June 18, 2003). Both directives describe alternatives to individual
locks or tags in group situations. Whether a shipyard employer adopts
an alternative system described in a compliance directive, or develops
its own, the employer must demonstrate that the control and
accountability procedures provide a level of protection to authorized
employees that is at least equivalent to the protection afforded to
them when they affix their own lock to the energy-isolating device.
Such a system would comply with the group lockout/tags-plus provisions
in shipyard employment.
Paragraph (l)--Procedures for Multi-Employer Worksites
    Paragraph (l) of Sec.  1915.89 sets forth requirements for
exchanging information and coordinating responsibilities for a lockout/
tags-plus program among host and contract employers.\12\ These
requirements are fundamental to any effective and safe lockout/tags-
plus program on a multi-employer worksite.
---------------------------------------------------------------------------

    \12\ OSHA also replaced the proposed terms "outside employer"
and "on-site employer" with "contract employer" and "host
employer," respectively. These terms are used throughout the
industry and in other OSHA regulations. To assist employers and
workers, the Agency added definitions in Sec.  1915.80(b) for both
contract and host employers. For purposes of this subpart, a
"contract employer" is often a subcontractor with employees who
provide specialized trade services to the shipyard such as painting,
joinery, carpentry, or scaffolding. The contract employer is under
contract to the host employer, or to another employer under contract
to the host employer at the host employer's worksite. This
definition excludes employers providing incidental services not
related to shipyard employment (such as mail delivery or office
supply services). A "host employer" is an employer in charge of
coordinating work or hiring other employers to perform shipyard-
related work or to provide shipyard-related services at a multi-
employer worksite.
---------------------------------------------------------------------------

    The multi-employer requirements are necessary because the existence
of additional employers and their employees at a workplace makes
addressing safety and health conditions at the workplace complex. For
example, one employer may introduce hazards into the workplace where
employees of other employers are exposed. Because these situations
cannot be prevented, the host employer must establish and implement
procedures that will protect all workers. All employers need
information about relevant hazards present at the worksite to enable
them to fulfill their obligations to protect workers. For these
reasons, communication and coordination among employers are essential.
    The following accident description highlights the need for
employers to understand and follow a host employer's energy control
program. In 1987, a fatality occurred aboard a grain-carrying ship that
was equipped with wing tanks on each side of the ship. A screw conveyor
ran through each wing tank. At the time of the accident, two of the
wing tanks were being washed. Simultaneously, a marine chemist and a
shipyard employee were inside another wing tank that was not being
washed. The shipyard employee was standing on the conveyor when it was
turned on by a member of the ship's crew who was unaware that the
employee and chemist were inside the other wing tank. The screw
conveyor crushed the shipyard employee to death. Although a lockout
procedure was in effect for the employees washing the tanks, this
information was not conveyed to the other employees, nor was there any
coordination between employers or tasks (72 FR 72452, 72496, Dec. 20,
2007).
    Such tragic events, and the increased reliance on contractors
throughout the shipyard industry, led OSHA to conclude that
responsibilities for the control of hazardous energy must be assigned
to all employers, and all employers must be held accountable for
discharging those responsibilities properly. It is common practice to
hire contractors for non-routine, specialized work, or as workloads
fluctuate. Shipyard employers provided testimony on the use and number
of contractors hired by shipyards. For example, Roy Martin of Manitowoc
Marine Group testified:

    [Just] in my experience, you know, it can range as small as two
different types of subcontractors up to four or five, just depending
on the type of work, especially when you are discussing new
construction versus repair, you will see a lot of multi-employer[s]
in the repair end of the business (Ex. 168, p. 81).

Similarly, Trident Seafoods commented that it "employ[s] over 190
subcontractors at various times throughout the year at both locations"
(Ex. 198, p. 70).

    As a result of its analysis of the entire rulemaking record, OSHA
made several changes to the proposed provisions affecting multi-
employer worksites. Proposed paragraph (e)(2)(i) required that, when
outside personnel, such as contractors or ship's crew, perform
servicing operations at a worksite, the on-site employer and the
outside employer must inform each other of their respective lockout or
tagout procedures. Proposed paragraph (e)(2)(ii) required the on-site
employer to ensure that his/her employees and contractors understand,
and comply with, all restrictions and prohibitions of the outside
employer's energy-control program. The purpose of the proposal was to
ensure that each employer at a multi-employer worksite be responsible
for the control of hazardous energy according to that employer's own
lockout or tagout procedures, and communicate those procedures to other
employers at the worksite. However, echoing the comments of other
employers, American Seafoods Company stated that the host employer, and
not the contract employer, should be responsible for lockout/tags-plus:
"The employees or contractors who perform work on a particular system
are unlikely to have the capability of identifying all energy sources,
either initially based on engineering drawings and schematics or
physically on the ship" (Ex. 105.1). OSHA finds American Seafoods'
argument persuasive, and concludes that the control of hazardous energy
must be assigned to the host employer, not outside employers. Thus,
OSHA modified this section to place control of hazardous energy under
the on-site, or host, employer. In response to comments requesting
clarification of the roles of shipyard employers and contractors in
lockout/tags-plus situations, OSHA added new provisions to paragraph
(l) that specify, and differentiate between, the responsibilities of
the host employer and the contract employer. Paragraph (l)(1) requires
that the host employer establish and implement procedures to protect
employees from hazardous energy in multi-employer worksites. The
procedures must specify the responsibilities for both the host employer
and the contract employer(s). The responsibilities of the host employer
are established in Sec.  1915.89(l)(2). Paragraph (l)(2)(i) requires
the host employer to inform each contract employer about the contents
of the host employer's lockout/tags-plus program and procedures, which
may also include training. The host employer, in conjunction with the
contract employers, must decide which employees to train. Manitowoc
Marine Group testified that it will train employees of contract
employers when necessary:

    And I have even seen cases where you will have another company--
this is really important about the multi-employer work site where
you actually have to deal with these other employees so that they
know there are other ways--even if you lockout, there are other ways to
bypass some of these older systems and energize. So it is very
important that we not only train our employees and safeguard them
against the energies, we have to come in and train the contractors
and actually get them, with our supervision, to understand what they
are doing, what their processes are, and put in place our best
practices (Ex. 168, pp. 113-114).

    Paragraph (l)(2)(ii) requires that the host employer instruct each
contract employer to follow the host employer's lockout/tags-plus
program and procedures. Shipyard employers provided testimony on how
they are already implementing this requirement at their facilities.
Foss Maritime testified: "Subcontractors go through our supervision to
do the lockout/tags-plus measures" (Ex. 198, p. 14). Trident Seafoods
described how contract employers working on Trident vessels follow
Trident's hazardous-energy control program:

    We've developed a set of contractor safety guidelines that we
have our subcontractors sign, and in that they have to follow, for
instance, on like a tagout specifically, they have to come on and
actually use the lockout/tagout on Rule 1910.1[4]7 on our vessels
when they perform work for us (Ex. 198, p. 90)

    Paragraph (l)(2)(iii) requires the host employer to ensure that the
lockout/tags-plus coordinator knows about all servicing operations and
communicates with each contract employer. This communication must
involve each contract employer with employees servicing machinery,
equipment, or systems, or working in an area where servicing is being
performed. The lockout/tags-plus coordinator should communicate with
contractors about the host employer's lockout/tags-plus program and
procedures and the role of the lockout/tags-plus coordinator.
Establishing open lines of communication between the lockout/tags-plus
coordinator and contractors is important because the contractor is
responsible for alerting the employer (i.e., lockout/tags-plus
coordinator) of any new lockout/tags-plus hazards the coordinator
identifies.
    Bath Iron Works explained how contract employers must comply with
Bath Iron Works' program, and report to Bath's system experts to apply
a lock or tags-plus system:

    Under our program at Bath * * * we have contractors come in, but
they follow our standard, we have systems experts located within a
facility on those halls that control hazardous energy. For example,
our electricians, we have 500 electricians in the plant. Only 50 of
those, 45 or 50 are what we call system experts. So, anytime anybody
works on those ships, whether it is our own employees, contractors,
vendors, anybody, they have to follow the guideline and the
authority of that particular ship system expert. So, we lockout, we
will tagout that particular system for that contractor. He validates
it, so do we (Ex. 168, p. 252).

    The comments and testimony cited above demonstrate that some
shipyards are already successfully controlling hazardous energy by
requiring contractors to follow the host employer's procedures. These
and other comments in the record convinced OSHA that having contractors
follow the host employer's lockout/tags-plus program and procedures is
appropriate and provides the most reliable protection for all workers.
Therefore, in paragraphs (l)(1) and (l)(2) of the final rule OSHA
revised the multi-employer worksite procedures to now require
contractors to follow the host employer's program rather than the
reverse, as OSHA proposed (proposed Sec.  1915.89(e)(2)).
    Paragraphs (l)(3)(i) through (iii) set forth the requirements for
contract employers. Under paragraph (l)(3)(i), the contract employer
must follow the host employer's lockout/tags-plus program and
procedures. As stated previously, OSHA believes that the ultimate
responsibility for lockout/tags-plus must remain with the host
employer. However, the contract employer has the important
responsibility to ensure that its employees know and understand the
host employer's lockout/tags-plus program and procedures. Adherence to
the program will result in contract employees protecting themselves and
others during potentially dangerous work involving hazardous energy.
    Paragraph (l)(3)(ii) requires the contract employer to inform the
host employer about any lockout/tags-plus hazards associated with the
contract employer's work, and any abatement steps being taken by the
contract employer to correct such hazards. Manitowoc Marine Group
provided testimony regarding how it interacts with contract employers,
and particularly how its shipyards obtains information regarding the
work the contractor employer will perform, when it first arrives at the
worksite:

    When they come on site, we have a quick orientation with
everybody that steps in the facility, myself or any of my staff will
actually, once the general orientation is over with, try to get a
grasp of what their work scope is, to identify the different
processes. And if it is identified that there will be a lockout
procedure or work near equipment that has been locked out, we will
go through our process, what we expect, and ensure that they follow
our procedure (Ex. 168, p. 124).

    OSHA added paragraph (l)(3)(iii) to require that contract employers
inform host employers (i.e., lockout/tags-plus coordinators) of any
previously unidentified lockout/tags-plus hazards the contractor
employer and employees identify at the worksite. As commenters
explained, servicing operations on vessels are often complex, involving
many employees and multiple employers. This provision ensures that the
host employer is alerted and takes appropriate precautions if
contractors discover new hazards during the servicing operation. OSHA
believes this requirement is necessary to ensure that all employees,
regardless of their employer, are protected from hazardous energy
during servicing operations. Although OSHA did not propose this
requirement, the Agency believes it is responsive to comments received
during the rulemaking.
    Finally, OSHA added two notes to paragraph (l) for clarification.
The first note explains that the host employer may include provisions
for the contract employer to have more control over the lockout/tags-
plus program when those provisions would provide an equivalent level of
safety for both the host and contract employers' employees. There may
be situations when it is preferable for contract employees to comply
with their own employer's lockout/tags-plus program when working at a
host employer's worksite. The note acknowledges these situations, and
gives employers flexibility in how they interact with their
contractors.
    The second note to paragraph (l) clarifies that when the U.S. Navy
contracts directly with a contract employer, and the Navy ship's force
maintains control of the lockout/tags-plus systems or devices, the
contract employer shall consider the Navy to be the host employer for
purposes of Sec.  1915.89(l)(3). There are situations when the Navy
will contract directly with a subcontract employer instead of the
shipyard. As defined in Sec.  1915.80, a host employer is in charge of
coordinating work or hires other employers to perform shipyard-related
work, or provide shipyard-related services. During these situations,
that contract employer would follow the Navy lockout/tags-plus program
and procedures, inform the Navy ship's force of any lockout/tags-plus
hazards associated with their work, and inform the Navy ship's force of
any previously unidentified hazards.
Paragraph (m)--Procedures for Shift or Personnel Changes
    The standard requires that the employer's lockout/tags-plus program
include specific procedures to ensure the continuity of lockout or
tagout protection during workshift and personnel changes. In final
paragraph (m), OSHA adopted proposed paragraph (e)(4), and added a new
requirement.
    OSHA is cognizant that this standard covers servicing of complex
machinery, equipment, and systems, and that work can extend across
several workshifts. Under the basic approach of this standard, each
authorized employee is responsible for the application and removal of
his/her own lockout or tagout device. However, servicing of some of the
larger vessels may take weeks or months, and require that hundreds or
thousands of lockout/tags-plus devices to be used.
    Paragraph (m) of this final rule requires that specific procedures
be utilized to ensure the continuity of lockout/tags-plus protection
for employees during shift or personnel changes. Paragraph (m)(1),
which is adopted from the proposed rule, requires that the employer
establish procedures for the orderly transfer of lockout/tags-plus
systems between authorized employees when starting and ending their
workshifts, and when there are personnel changes. It is essential that
locks or tags-plus systems be maintained on energy-isolating devices
through transition periods involving shift or personnel changes so that
no employee is exposed to uncontrolled energy hazards associated with
servicing machinery, equipment, or systems.
    In paragraph (m)(2), OSHA clarified and expanded the application of
proposed Sec.  1915.89 (e)(4). Paragraph (m)(2) requires, for workshift
or personnel changes, there be an orderly transfer of lockout/tags-plus
protection between authorized employees coming onto, and leaving, a
workshift. Paragraph (m)(2) specifies what basic steps must be included
to ensure that workshift changes ensure continuity of lockout/tags-plus
protection.
    This provision was written in performance-based language so that
the employer can conduct shift or personnel transitions in any manner
that the employer determines is appropriate, safe, and effective. As
stated in the preamble to the general industry standard, the transfer
of responsibility can be accomplished by the on-coming shift's
authorized employee accepting the control of the machinery, equipment,
or system involved prior to the off-going authorized employee
relinquishing such control (54 FR 36682, Sept. 1, 1989). Some employers
may choose to have only one shift conduct work on any particular
machinery, equipment, or system so that there will be no transfer of
responsibility. Although such a restriction may not be practical for
shipyards having at least two work shifts, it may be a reasonable
alternative for some employers.
    An alternative means of transfer may involve the on-coming
authorized employee accompanying the off-going authorized employee to
inspect and verify isolation, and to ensure that the lock or tags-plus
system is still intact. This alternative provides the on-coming
authorized person the assurance that the machinery, equipment, or
system has been deenergized prior to work. The oncoming authorized
employee may also initial the lockout/tags-plus log and tag after
verifying isolation, or apply his/her own lock or tags-plus system.
This action will inform all authorized employees who are working on the
machinery, equipment, or system of the change in personnel.
    There may be occasions when the authorized employee who applied the
lock or tags-plus system is not the employee who completes the job.
Because the authorized employee applying the lock or tags-plus system
is being protected by that device or system, it is important that the
device or system not be removed by anybody else. However, if removal by
another authorized employee occurs at anytime, including during another
workshift, the employer must comply with the requirements of paragraphs
(i)(3)(i) through (i)(3)(iii) of this section.
    Many shipyard employment employers commented that their lockout/
tags-plus programs already include procedures for the orderly transfer
of lockout/tags-plus systems and verification of isolation during
workshift and personnel changes (Exs. 105.1; 116.2; 120.1). These
comments indicate that employers consider such procedures to be
essential to fully protect employees involved in servicing operations.
Therefore, the final rule includes these procedures.
Paragraph (n)--Lockout/Tags-Plus Materials and Hardware
    Paragraph (n) addresses the locks and tags-plus system hardware
used to isolate, secure, or block hazardous- energy sources to any
machinery, equipment, or system. When attached to energy-isolating
devices, both locks and tags are tools that protect employees from
hazardous energy. A "lock" (proposed as "lockout device"), as
defined in the final standard, provides protection by holding the
energy-isolating device in a safe position, thus preventing the release
of energy and the startup or energization of the machinery, equipment,
or system (Sec.  1915.80(b)(13)). A tag (proposed as "tagout device")
is a prominent warning device that provides protection by identifying
the energy-isolating device as a source of potential danger (Sec.
1915.80(b)(30)). The tag is used to indicate that the energy-isolating
device, and the equipment being controlled by such device, may not be
activated until the tag is removed by an authorized employee. An
additional safety measure provides a barrier to the release of energy
(Sec.  1915.80(b)(1)). When the use of tags is combined with an energy-
isolating device and an additional safety measure, a tags-plus system
is established (see the summary and explanation for paragraph (c)(4)
above).
    Whether a lock or tags-plus system is used, paragraph (n)(1)
requires that the employer provide materials and hardware to block
hazardous energy. With the exception of minor editorial changes, this
requirement is the same as the requirement proposed in Sec.
1915.89(b)(5)(i). OSHA removed the examples of such materials and
hardware from proposed paragraph (b)(5)(i), and added them to the
definition of "lockout/tags-plus materials and hardware" (Sec.
1915.80(b)(16)). These examples are not exhaustive; rather, they
exemplify hardware and materials that currently exist. Employers may
use other hardware or materials that effectively isolate hazardous
energy from the machinery, equipment, or systems being serviced.
    Final paragraph (n)(2) retains the same provision as proposed
(b)(5)(ii), which required that each lock and tag be uniquely
identified for lockout/tags-plus applications. One way for employers to
comply with this requirement would be to use the same color lock, or
tag, for all lockout/tags-plus applications. For example, the employer
could select red locks for lockout applications only. This measure also
would meet the requirements of paragraph (n)(3)(ii) that each lock be
standardized in either color, shape, or size. Use of, for example, red
locks will assist employees and contractors in a shipyard facility to
immediately recognize that servicing is taking place under a lockout
application. In addition, all employees and contractors would recognize
that they are not to use red locks for any other purpose while in the
shipyard. No comments were received on these provisions, and the final
rule retains this practice to protect employees.
    The remainder of paragraph (n) specifies the requirements for locks
and tags. These requirements specify that these items must be durable,
standardized, substantial, and identifiable.
    Durable--Paragraph (n)(3)(i)(A), proposed Sec.
1915.89(b)(5)(ii)(A)(1), requires that locks and tags be able to
withstand the environmental conditions to which they are exposed for
the maximum duration of expected exposure. Proposed paragraphs
(b)(5)(ii)(A)(2) and (3) were combined in this final standard as
paragraph (n)(3)(i)(B), which states that each tag must be constructed
and printed so that it does not deteriorate or become illegible in wet
or damp environments, or when used in environments where corrosives
(for example, acid and alkali chemicals) are used or stored. OSHA
believes that combining these provisions into one paragraph simplifies
the requirements for tags. No comments were received on either of these
provisions, and OSHA is retaining the requirements in this final
standard.
    Standardized--Paragraph (n)(3)(ii) requires that locks and tags be
standardized. Both locks and tags must be standardized in at least
color, shape, or size so they are readily recognized and associated
with the control of hazardous energy. As described above, an employer
could elect to use red locks only for lockout and train employees in
such use, thus meeting the requirements of Sec. Sec.  1915.89(n)(2),
(n)(3)(ii)(A) and (o)(2)(ii). In addition, tags must be standardized in
print and format (paragraph (n)(3)(ii)(B)).
    Several commenters stated that standardizing locks and tags would
be difficult to accomplish in a shipyard (Exs. 101.1; 105.1; 117.1;
124; 126; 128; 130.1). American Seafoods Company and Lake Union Drydock
Company asked: "How will shipyards ensure that [LOTO] devices are
standardized within the facility in at least color, shape or size when
working with hundreds of vessel crews and contractors? Wouldn't it be
more appropriate and just as effective to ensure all devices are
distinctive, [and] readily identifiable?" (Exs. 105.1; 101.1). Both
Northrop Grumman-Gulf Coast and the American Shipbuilding Association
stated: "[T]he lockout device standardization requirement * * * [is]
an undue impediment to selecting the most effective devices for
controlling hazardous energy" (Exs. 112.1; 117.1). The Agency
disagrees with these commenters. The shipyard employer has control over
work performed in its facility, and should never permit the use of
unsafe tools or work practices. The requirement for standardized locks
and tags enhances safety in shipyards, which may have hundreds, or even
thousands, of employees. These employees, who may include ship's crew
and contractors, will best be served if they can immediately recognize,
by seeing standardized locks or tags, that the machinery, equipment, or
system is being serviced.
    Substantial--For this final standard, proposed paragraphs
(c)(5)(ii)(C)(1) and (2) were divided into four provisions,
(n)(3)(iii)(A) through (D), for clarity. Paragraph (n)(3)(iii)(A)
requires that each lock be sturdy enough to prevent removal without the
use of excessive force or special tools such as bolt cutters or other
metal-cutting tools. Paragraph (n)(3)(iii)(B) requires that each tag
and tag attachment be sturdy enough to prevent inadvertent or
accidental removal. Paragraph (n)(3)(iii)(C) requires that the tag
attachment have the general design and basic safety characteristics
equivalent to a one-piece nylon cable tie that will withstand all
environmental conditions, and paragraph (n)(3)(iii)(D) requires that
the tag attachment be non-reusable, attachable by hand, self-locking,
and non-releasable. It must also have a minimum unlocking strength of
50 pounds. Paragraphs (n)(3)(iii)(B) through (D), discussed above, were
proposed as paragraph (c)(5)(C)(2). No comments were received on these
provisions. OSHA continues to believe that all lockout/tags-plus system
hardware and materials must be durable enough to prevent inadvertent
removal and, therefore, has retained the requirements in this final
standard.
    Identifiable--Paragraph (n)(3)(iv), proposed (c)(5)(D), requires
that each lock and tag clearly identify the authorized employee who
applied it. Paragraph (n)(3)(v) (proposed paragraph (c)(5)(ii))
requires that tags warn of hazardous conditions that could arise if the
machine or equipment is energized, and include a legend such as one of
the following: DO NOT START; DO NOT OPEN; DO NOT CLOSE; DO NOT
ENERGIZE; DO NOT OPERATE. Stamping the authorized employee's name or
identification number on the lock will allow individuals to quickly
identify who applied the lock. Manitowoc Marine Group testified that
employees' names are on the locks (Ex. 168, p. 129). If an employer
chooses not to have names, identification numbers, or other employee
identifiers on the lock, the employee must apply a tag to the lock that
contains identifying information. In such a case, the authorized
employee's name or identification number may be written in indelible
ink or with any medium that will withstand the conditions to which the
tag will be exposed. No comments were received on these two provisions.
OSHA believes that having the authorized employee's name or
identification number on the lock or tag is necessary for the
protection of all involved employees. Therefore OSHA retained this
requirement in the final standard.
Paragraph (o)--Information and Training
    Paragraph (o) sets forth the lockout/tags-plus training
requirements. OSHA revised the training requirements to address the
incorporation of the lockout/tags-plus approach to the final rule. The
revisions also ensure that employees have adequate training targeted
for their level of exposure and responsibilities under the lockout/
tags-plus program. These new training provisions are as equally
important whether the employee(s) involved in the servicing of
machinery, equipment, or systems are employees of the host or contract
employer. In the event that a contract employee is involved in the
servicing of machinery, equipment, or systems, it is the contract
employer's responsibility to provide the necessary training for the
control of hazardous energy in accordance with the host employer's
lockout/tags-plus program.
    Commenters said that many employers in shipyard employment already
have implemented hazardous-energy training. For example, Amy Duz of
iWorkWise described lockout/tags-plus training programs are set up for
fishing vessels:

    The training basically consists of orienting to whatever the
procedure is used on the boat, whatever those procedures are within
the scope of what their job is. So, for instance, you know, training
for an engineer would be a little bit different. There'd be some
hands on, some on-the-job training, as well as some initial
orientation and, you know, going over drawings and what not, and a
processing employee would only, you know, would be trained to the
affected employee level, and if it is in their procedures that they
would perform lockout, then they would be trained what to do in that
regard. Getting them, for instance, to verify that energy has been
disabled is a trick because they don't know what they are doing [or]
working on (Ex. 168, pp. 428-429).

    Roy Martin described Manitowoc Marine Group's lockout/tagout
training program:

    It is a video portion--we actually do the video--but after the
conclusion of a video, we will take out the lockout/tagout
procedures that we have, the facility procedures, as well as the
ones that we have developed on some of the vessels, especially if we
are getting close to the repair time frame, and we will go through
these procedures pretty much line item by line item, so they
understand exactly what we need to do. We will actually present them
with the entire booklet of all the machine specifics that are in the
facility itself. And then we will look at our lockout/tagout devices
and ensure that they understand that and there are no issues. There
will be a question-and-answer period, a general discussion, and at that
point, pretty shortly after that, we will start our process of annual
review to ensure that they are following the procedures. And we identify
just specific people that are authorized lockout/tagout personnel (Ex.
168. pp. 122-123).

    These and other comments discussing lockout/tags-plus training
substantiate the importance of including lockout/tags-plus training in
this final rule.
    Paragraph (o)(1) specifies when employers must provide lockout/
tags-plus initial training. It requires that employers complete initial
lockout/tags-plus training for employees no later than 180 days after
the effective date of this final rule (i.e., 180 days after publication
of the final rule in the Federal Register). A number of commenters said
that it would take time for them to develop lockout/tags-plus programs
and procedures, and to provide training to all affected employees,
authorized employees, and lockout/tags-plus coordinators. OSHA believes
that allowing employers 180 days to accomplish lockout/tags-plus
training for employees will ensure that all employers, including small
employers, have sufficient time to develop a training program.
    OSHA believes training for new employees is common in shipyard
employment. For instance, Dakota Creek Industries commented on its
initial and ongoing training of employees:

    It depends on the new crew that might be coming in. But for
anybody new coming into the yard, they go through an orientation
process in general which touches on that, and at the craft level
they do regular monthly training sessions as needed as new people
come in and join the staff (Ex. 198, p. 110).

    In paragraphs (o)(2) through (o)(5), OSHA identified four
categories of employees who must receive lockout/tags-plus training:
Employees whose work operations are or may be in an area where a
lockout/tags-plus system is in effect, affected employees, authorized
employees, and lockout/tags-plus coordinators. With the exception of
the lockout/tags-plus coordinator, these are the same categories that
OSHA included in the proposed rule (proposed paragraphs (b)(7)(i)-
(iii)).
    Paragraphs (o)(2) through (o)(5) establish tiered training
requirements for each employee category based on employees' level of
exposure to hazardous energy and their duties and responsibilities
under the employer's lockout/tags-plus program. All employees whose
work operations are or may be in a lockout/tags-plus area receive the
first level of training (paragraph (o)(2)). Since the work operations
of affected employees, authorized employees, and lockout/tags-plus
coordinators also are in a lockout/tags-plus area, they also must
receive first-tier training. Northrop Grumman-Newport News supported
this approach: "We concur with the need to provide a robust training
program for all employees who work directly with or in the vicinity of
isolated systems/equipment" (Exs. 116.2; 120.1).
    In addition to first-level training, affected employees must have
second-level of training (paragraph (o)(3)). Authorized employees
receive the first, second, and third levels of training (paragraph
(o)(4)); and lockout/tags-plus coordinators receive all four levels of
training (paragraph (o)(5)). The relative degree of knowledge that
authorized, affected, and other employees must acquire varies. The
lockout/tags-plus coordinator and authorized employees need the most
extensive training because of their responsibilities, respectively, for
the entire lockout/tags-plus program and procedures, and for
implementing energy control procedures (for example, shutting down and
isolating energy sources, applying and removing locks and tags-plus
systems) to perform servicing operations.
    The U.S. Navy suggested the idea of tailoring training to
employees' job duties under the lockout/tags-plus program:

    Warship shipboard hazardous energy control program requires
specific training of all personnel who execute process steps. It
also requires general training for all workers on generic energy
control issues which could be affected by any worker. Requiring all
workers to be trained in aspects of the program for which they have
no involvement or authority to apply is cumbersome (Ex. 132.2).

    The U.S. Navy also recommended limiting the amount of training
depending on the employees' duties. For example, in reference to
training on attaching tags, the Navy said that "only personnel
authorized to attach tags should require this training" (Ex. 132.2).
OSHA agrees that focusing training on the information that is most
essential to the employee's specific job duties will help to increase
employees' proficiency in the work practices that are necessary to
ensure they are able to safely perform their jobs and not expose others
to hazardous energy.
    To illustrate, the final rule requires that all affected employees
and employees whose job requires them to pass through or briefly visit
a lockout/tags-plus area be trained about the prohibitions against
applying, tampering, or removing any lockout/tags-plus system and
against starting up machinery, equipment, or a system that is under
lockout/tags-plus. This information is critical for their protection,
as well as the protection of authorized employees performing the
servicing. However, in contrast to the proposal, the final rule does
not require that those employees be trained so they know that tags and
their means of attachment be made of materials that can withstand
environmental conditions or be securely attached so they cannot be
accidentally or inadvertently removed. Only authorized employees and
lockout/tags-plus coordinators are authorized to apply tags; therefore,
only they need to know what type of materials must be used for tags or
how they must be attached. It is much more critical that all affected
employees and employees passing through or briefly visiting a lockout/
tags-plus area know and correctly follow the prohibition against
applying or removing any lockout/tags-plus system, or starting
equipment that is being serviced.
    Similarly, the training requirements have been revised so they are
more directly applicable to the lockout/tags-plus approach OSHA
incorporated in the final rule. For example, since the final rule
requires that employers use lockout/tags-plus systems, it is essential
that employees be trained about the three basic components of those
systems. At the same time, it reduces the need to train employees who
work in a lockout/tags-plus area that tags may evoke a false sense of
security because the final rule prohibits employers from using tagout
alone.
    As mentioned earlier, paragraph (o)(2) specifies the training
requirements for all employees who are, or may be, in an area where a
lockout/tags-plus system is used. As indicated by the phrase "all
employees who are, or may be, in an area," this provision applies to
employees who are incidentally exposed to a lockout/tags-plus system,
as well as affected employees, authorized employees, and lockout/tags-
plus coordinators; for example, employees passing through, or briefly
visiting, an area where such a system is being, or may be, applied are
covered by this provision. Each of these employees must know (i) The
purpose and function of the employer's lockout/tags-plus program and
procedures; (ii) the unique identity of the locks and tags that will be
used, as well as the standardized shape, size, or color of these
devices; (iii) that tags-plus systems are comprised of an energy-isolating
device with a tag affixed, and an additional safety measure; (iv) that
lockout/tags-plus applications are not to be tampered with or removed;
and (v) that machinery, equipment, and systems are not to be restarted
or reenergized while being serviced.
    Most of the training elements in paragraph (o)(2) were in the
proposed rule, but OSHA also expanded, added, and deleted some
requirements. For example, the proposed rule required that employees be
trained that tags must be legible and understandable to employees. The
final rule (paragraph (o)(2)(ii)) expands that provision to require
that employees be trained in the unique identity of locks and tags used
in lockout/tags-plus applications. Such training ensures that employees
know what energy-control locks and tags look like versus other types of
locks and tags, thereby ensuring that they know which locks and tags
they must not remove. Training employees in the identity of locks and
tags also will ensure that they have a better understanding of the
components of tags-plus systems and their purpose in the overall
lockout/tags-plus program.
    OSHA also replaced the proposed requirement that employees be
trained that tags may evoke a false sense of security, and that tags
need to be understood as part of an overall energy-control program.
Instead, the final rule (paragraph (o)(2)(iii)) requires that employees
be trained that a tags-plus system includes an energy-isolating device
with a tag affixed and at least one additional safety measure. OSHA
made this change so the training requirements in the final rule would
better address the types of measures employers must use to control
hazardous energy. Moreover, since the hazardous-energy program in the
final rule does not permit the use of tags alone, there is less need to
train employees about the limitations of tags.
    OSHA added a requirement in the final rule that employees working
in or passing through a lockout/tags-plus area be trained that they are
prohibited from starting or energizing any machinery, equipment, or
system under lockout/tags-plus. This requirement reinforces the concept
that only authorized employees, not employees working in or passing
through the lockout/tags-plus area, are authorized to activate
machinery, equipment, or systems that are under lockout/tags-plus. OSHA
believes that this requirement, along with the prohibition against
removing a lockout/tags-plus system, are the two most critical work
practices that these employees must understand and follow.
    Finally, as explained above, OSHA deleted three training
requirements (proposed Sec.  1915.89(b)(7)(ii)(A), (E), and (F)) that
focused on tags-plus systems rather than lockout/tags-plus systems.
OSHA believes it is more important for employees to know all components
of the lockout/tags-plus systems being used rather than the limitations
of tags in tags-plus systems, especially since the use of tags alone is
not allowed in this final rule.
    OSHA believes the training components in paragraph (o)(2) are
important to ensure employees' complete understanding of the lockout/
tags-plus program and procedures, as well as their awareness of what is
occurring around their work areas so that they can protect themselves.
    Paragraph (o)(3) sets forth additional training requirements for
affected employees. An affected employee is any employee who normally
operates, for production purposes, the machinery, equipment, or system
that is going to be serviced. Working in a lockout/tags-plus area
increases exposure to hazardous energy. Since the definition of
affected employee also includes an employee whose job requires working
in a servicing area, the training requirements for affected employees
are almost identical to those of employees whose work operations are,
or may be, in the lockout/tags-plus area. In addition to being trained
in the requirements in paragraph (o)(2), paragraph (o)(3) also requires
that affected employees be trained in the use of the employer's
lockout/tags-plus program and procedures, which was in the proposed
rule (proposed Sec.  1915.89(b)(7)(i)(B)). OSHA believes that affected
employees need to know the essential components of the employer's
lockout/tags-plus program and how they work so they know that
machinery, equipment, or systems are not to be operated while under a
lockout/tags-plus application. Affected employees also need to
understand which activities are servicing operations covered by Sec.
1915.89, which of these servicing activities must be left to authorized
employees, and which servicing activities they can perform.
    Paragraphs (o)(3)(ii) and (iii) require that affected employees be
trained to understand that they may not apply or remove lockout/tags-
plus systems, and that lockout/tags-plus systems are not to be
bypassed, ignored, or otherwise defeated. These two requirements are
the most critical ones that affected employees need to understand to
ensure their safety, as well as the safety of the authorized employees
servicing the particular machinery, equipment, or system.
    Paragraph (o)(4) specifies the training authorized employees must
receive in addition to the training in paragraphs (o)(2) and (o)(3).
Most of these training requirements were in the proposed rule.
    Paragraph (o)(4)(i) (proposed Sec.  1915.89(b)(7)(i)) requires that
authorized employees be trained in the steps that are necessary for the
safe application, use, and removal of lockout/tags-plus systems. Since
authorized employees apply and remove locks or tags-plus systems, it is
crucial that they fully understand the procedures and steps they must
follow to safely accomplish those tasks. Paragraph (o)(4)(ii), which
was in the proposed rule, requires that authorized employees be trained
in the type of energy sources, and the magnitude of the energy
available, in the workplace. Both of these provisions are particularly
important for servicing operations onboard vessels, where several types
of energy may be present (for example, electrical, steam, hydraulic),
and where energy may be provided by off-vessel sources. The presence of
multiple energy sources and multiple locations of energy sources
heightens the potential for exposure to hazardous energy, and adds
complexity to servicing operations. As such, OSHA believes that
authorized employees need to understand the types, sources, and
magnitude of available energy to successfully execute the necessary
steps to prevent energization, startup, or the release of hazardous
energy.
    Paragraph (o)(4)(iii), which also was in the proposed rule,
specifies that authorized employees be trained in the means and methods
necessary for effective isolation and control of hazardous energy. OSHA
retained this provision because the final rule now requires authorized
employees to lock machinery, equipment, or systems that are capable of
being locked, as well as apply both energy-isolating devices and
additional safety measures if the machinery, equipment, or system
cannot be locked. It is important that authorized employees understand
this new control framework to ensure that employees are protected from
hazardous energy during servicing operations.
    Paragraph (o)(4)(iv), which is a new provision, requires that the
authorized employee designated as a group's primary authorized employee
be trained to know the means for determining the exposure status of
other employees in the group. Since both the proposed and final rules
require that the primary authorized employee determine the exposure
status for those employees in the group, OSHA believes that primary
authorized employees need to receive training in this task to ensure
their assessments are accurate. The training needs to provide the primary
authorized employee with information necessary to understand how to
determine whether, how, and to what extent employees in the servicing
group are exposed to hazardous energy. This is a critical skill that
primary authorized employees must possess because they have responsibility
for the employees in the group, and for coordinating the lockout/tags-plus
application with the lockout/tags-plus coordinator. If primary authorized
employees are not trained to accurately determine the exposure status for
the employees performing the servicing operation, their determinations may
be incomplete, thereby leaving employees exposed to hazardous energy.
    Paragraph (o)(4)(v), which was in the proposed rule (proposed Sec.
1915.89 (b)(7)(ii)(C)), requires that authorized employees be trained
so they know that tags must be written so as to be legible and
understandable to all employees. Authorized employees are responsible
for writing the information on the tags, and this requirement will
ensure that they carefully write the information so other employees can
read and understand the tag, thereby increasing the protection afforded
to employees performing servicing operations. OSHA did not receive any
comments on this provision, but the Navy generally suggested that
training on other similar provisions be limited to authorized employees
and lockout/tags-plus coordinators (Ex. 132.2), which the final rule
does.
    Paragraph (o)(4)(vi), which was in the proposed rule (proposed
Sec.  1915.89(b)(7)(ii)(D)), requires that authorized employees be
trained so they know that tags must be made of materials which will
withstand the environmental conditions encountered in the workplace.
Tags must be constructed so that they do not deteriorate or become
illegible in wet or damp environments, or when used in environments
where corrosives are used or stored.
    Paragraph (o)(4)(vii), which also was in the proposed rule
(proposed Sec.  1915.89(b)(7)(ii)(F)), requires that authorized
employees be trained so they know they must securely attach tags to
energy-isolating devices to prevent them from becoming detached during
servicing. This training is particularly important in shipyard
employment, where servicing operations may take place in all types of
weather and environmental conditions. If tags are not firmly attached,
they may fall off if there are strong winds. Also, many servicing
operations in shipyard employment take place in tight and confined
spaces where employees passing by a tag could knock it off if it is not
firmly attached. Since it is the authorized employee's responsibility
to ensure that the tag is attached, OSHA believes that they are the
employees who must receive such training.
    Paragraph (o)(4)(viii) requires authorized employees to be trained
that tags are warning devices and do not provide the same physical
barrier against the energization or startup or the release of hazardous
energy that locks or additional safety measures provide. Similarly,
paragraph (o)(4)(ix) requires authorized employees to understand that,
because tags may evoke a false sense of security, they must be used in
conjunction with energy-isolating devices. Both provisions were in the
proposed rule. Once again, OSHA is limiting training on these
provisions to authorized employees (and lockout/tags-plus coordinators)
since they are the employees who apply lockout/tags-plus systems. OSHA
believes they need to understand why OSHA is requiring employers to use
lockout/tags-plus systems instead of tags alone. OSHA did not receive
any comments opposing the proposed provisions.
    Finally, paragraph (o)(4)(ix) requires that authorized employees be
trained so they know that tags must be used in conjunction with energy-
isolating devices to prevent energization, startup, or release of
hazardous energy. OSHA proposed a similar provision, but revised it to
better address the lockout/tags-plus system that the final rule
requires. OSHA did not receive any comments opposing this provision.
    Paragraph (o)(5) addresses the training that lockout/tags-plus
coordinators must have in addition to the training in paragraphs
(o)(2), (o)(3), and (o)(4). The requirements in paragraph (o)(5) are
new provisions that apply to the lockout/tags-plus coordinator position
that OSHA added to the final rule. The job of lockout/tags-plus
coordinator is critical because it directly affects the safety of
employees working in complex shipyard environments. The position
requires a high degree of skill and expertise. The lockout/tags-plus
coordinator is responsible for overseeing all servicing operations and
lockout/tags-plus applications in those operations. As such, the
lockout/tags-plus coordinator must have a thorough working knowledge of
the employer's lockout/tags-plus program and procedures, as well as the
available energy sources. In addition, the coordinator needs to have a
full understanding of the machinery, equipment, and systems that
employees are servicing, including the energy-isolating devices and
additional safety measures that will need lockout/tags-plus
applications. This coordination job will necessitate being able to read
plans and schematics of the machinery, equipment, and systems to ensure
that all sources of energy are identified. Once sources of energy are
identified, the coordinator also must know the means of isolation that
will be needed. To ensure that the coordinator has the critical
knowledge and is proficient in all of the steps necessary to protect
employees from hazardous energy, the final rule requires that the
coordinator receive all tiers of lockout/tags-plus training that other
employees must receive, plus training geared specifically to the
coordinator position.
    Paragraph (o)(5)(i) requires that lockout/tags-plus coordinators be
trained so they know how to identify and isolate any machinery,
equipment, or system that is being serviced. As mentioned previously,
machinery, equipment, and systems used in shipyard employment may
involve several different energy sources. The coordinator must be able
to identify all of the energy sources so the sources can be shutdown
and isolated. If any sources are missed, employees performing the
servicing operation may be exposed to hazardous energy. Therefore, the
coordinator must be able to accurately identify all energy sources,
because they will be overseeing and authorizing, and possibly applying,
the lockout/tags-plus systems necessary to protect authorized
employees.
    Paragraph (o)(5)(ii) requires the coordinator to be trained so he/
she knows how to accurately document the lockout/tags-plus system and
maintain the lockout/tags-plus log. Whatever methods and procedures the
employer has established for the lockout/tags-plus log, the coordinator
will need to be trained in them so the log is accurate. For example, if
the employer uses an electronic log, the coordinator will need to be
trained to operate that program.
    In this final standard, paragraph (o)(6) specifies when employees
must be retrained or receive additional training. The employer must
retrain each employee applicable whenever:
     A change in the employee's job assignment presents a new
hazard or requires a greater degree of knowledge about the employer's
program or procedures (paragraph (o)(6)(i)(A));
     A change in machinery, equipment, or systems presents a new hazard for
which the employee has not received training (paragraph (o)(6)(i)(B));
     A change is made in the employer's lockout/tags-plus
program or procedures (paragraph (o)(6)(i)(C)); and
     It is necessary to maintain the employee's proficiency
(paragraph (o)(6)(i)(D)).
    OSHA did not receive any comments opposing lockout/tags-plus
retraining in general, and some commenters support the need for it.
Northrup Grumman's--Newport News' comments were representative of
stakeholders: "Periodic retraining ensures that lessons learned are
shared with all employees" (Ex. 116.2).
    In the final rule, OSHA clarified and expanded the scope of the
proposed retraining requirements. The final rule states that paragraph
(o)(6)(i) requires employers to retrain "employees as applicable."
The proposed rule limited these retraining requirements to affected and
authorized employees. The final rule clarifies that retraining must be
provided to those employees whose jobs, tasks, or responsibilities may
be affected by the changes. Thus, if changes in the lockout/tags-plus
program or procedures affect any employee whose work operations are, or
may be, in a lockout/tags-plus area, then all four categories of
employees would need to be retrained. However, if the program or
procedure changes pertain only to authorized employees and lockout/
tags-plus coordinators, such as changes in communication procedures
between these employees, then the retraining can be limited to those
two categories of employees. OSHA believes these changes will assist
employers to appropriately direct their retraining efforts.
    The proposed rule (proposed Sec.  1915.89(b)(7)(iii)(A)) required
that employees be retrained whenever there was any change in their job
assignment. Northrop Grumman--Newport News commented opposing that
approach:

    [W]e do not believe it is feasible or necessary to retrain
employees whenever there is a change in job assignment or equipment.
By nature, vessel construction and repair is a dynamic environment
and equipment and job assignments change regularly. We believe
initial and periodic refresher training is the most practical and
beneficial means to maintain employee proficiency and knowledge.
Periodic training ensures that lessons learned are shared with all
employees, not just those that had a job assignment (Exs. 116.2;
120.1).

    The U.S. Navy raised similar concerns: "In the re-training section
the words 'whenever there is a change to their job assignment' is too
ambiguous. Recommend adding to this--whenever there is a change to
their job assignment that changes their role or responsibility in
performance of the energy program" (Ex. 132.2).
    OSHA recognizes that there may be some changes in job assignments
for which it may not be necessary to retrain employees. For example, if
authorized employees are assigned to service the same types of
machinery, equipment, or systems on a different vessel, they may not
need to be retrained. In this case, additional program knowledge
appears not to be required, and it does not appear that the employees
will be exposed to new energy-release hazards. Likewise, if authorized
employees are assigned to work on similar machinery, equipment, or
systems in another area of the vessel, their current training may be
sufficient.
    Based on the record, OSHA modified the final language to specify
that employers provide retraining when a new job assignment presents a
new energy-release hazard or requires a greater degree of knowledge
about the employer's lockout/tags-plus program or procedures. For
example, if an affected employee is newly assigned to be an authorized
employee, it is clear that the employee would need additional training
because the new tasks and responsibilities require greater knowledge of
the employer's lockout/tags-plus program. In addition, the job likely
also would involve additional hazards as the employee's new
responsibilities would include shutting down and isolating energy
sources, applying lockout/tags-plus systems, and performing servicing
on machinery, equipment, or systems that are under a lockout/tags-plus
system.
    Paragraph (o)(6)(i)(B), like the proposed rule, requires that
employers retrain employees as applicable when there is a change in
machinery, equipment, or systems that presents a new hazard. As with
changes in job assignment, some changes in machinery, equipment, or
systems are minor, and the hazards those jobs pose are within the scope
of the employee's previous training. In such cases retraining may not
be necessary. However, when there are substantial changes in the
machinery, equipment, or systems being serviced, or the employee is
unfamiliar with the new machinery, equipment, or system, retraining is
necessary to prevent exposure of employees to hazardous energy.
    Paragraph (o)(6)(i)(C) requires that employers retrain employees as
applicable when there is a change in the employer's lockout/tags-plus
program or procedures. The proposed rule included this provision.
    In paragraph (o)(6)(i)(D), OSHA added a requirement that employers
must retrain employees as "necessary" to maintain proficiency.
Commenters generally supported retraining to maintain employee
proficiency. Some commenters said they provide annual energy-control
retraining. For example, Bath Iron Works and Northrop Grumman-Newport
News stated that they provide annual lockout/tags-plus training (Ex.
168, p. 349). In addition, James Thornton explained that Northrop
Grumman disseminates "reminders," and conducts refresher training on
an as-needed basis:

    For example, during the year, if we have seen a lot of near
misses, we might put out to the yard for general distribution, a
communication that says okay, we saw a number of these kinds of
things, be sensitive to this particular operation, and so it is not
just the formal training, but it is also refresher training and a
reminder if we have had near-misses and that sort of thing (Ex. 168,
p. 349).

    That said, OSHA notes that this provision is not a requirement to
provide annual retraining. Rather, employers must provide retraining
when it is necessary so their employees maintain proficiency. OSHA
understands that many shipyard employees have long careers, and that it
is not unusual for employees to continue in the same craft during their
entire career. These employees may have been implementing lockout/tags-
plus procedures for an extended period of time. It is likely that these
employees maintain a high degree of expertise and proficiency based on
their long experience. However, to the extent that routine and habit
may lead to risky shortcuts or missed steps in procedures, this
provision requires retraining to restore and refresh the high degree of
proficiency essential to prevent employees from being exposed to
hazardous energy during servicing operations. Therefore, employers will
need to assess their workplaces and workforce to determine the
appropriate retraining frequency necessary to maintain employee
proficiency.
    In sum, OSHA believes that the specific frequencies of training and
retraining required in the final rule, as opposed to annual retraining,
are correlated with the key times and situations in which employees
need lockout/tags-plus training. Requiring annual retraining may not be
adequate to ensure that employees have the critical information at the
time they need it to perform their jobs safely. For shipyard employment
worksites where servicing operations change frequently, it may be possible
that employees will receive training more frequently than once a year.
    Paragraph (o)(6)(ii) requires retraining employees as applicable
when an incident investigation or audit indicates there are deviations
from or deficiencies in the lockout/tags-plus program or procedures,
and when there are inadequacies in an employee's knowledge or use of
the lockout/tags-plus program or procedures. The proposed rule
(proposed Sec.  1915.89(b)(7)(iii)(B)) required that employees receive
retraining when a periodic inspection reveals, or the employer has
reason to believe, that there are deviations or inadequacies in the
employee's knowledge or use of energy-control procedures. The final
rule expands the requirement to require retraining when an employer's
lockout/tags-plus program or procedures, as opposed to employees, have
deficiencies. Requiring retraining when either employee knowledge or
employer programs or procedures are deficient is necessary to
adequately protect workers during servicing operations.
    OSHA believes that the retraining requirement in paragraph
(o)(6)(ii) implicitly requires employers to implement the corrective
actions identified in incident investigations and program audits. In
many cases, the appropriate corrective action will be retraining.
    Paragraph (o)(6)(iii), as with the proposal (proposed Sec.
1915.89(b)(7)(iii)(C)), requires the employer to ensure that retraining
establishes employee knowledge and proficiency in the employer's
lockout/tags-plus program and procedures, and in any new or revised
procedures. This performance-based requirement gives employers
flexibility to determine effective methods and means to attain employee
efficiency. For example, employers could test employee proficiency, or
have employees demonstrate safe practices, before they begin or resume
servicing activities.
    Also implicit in this provision is the requirement that employers
provide retraining using methods and language that employees are able
to understand. The Agency recognizes that workers in the shipyard
employment industry have different backgrounds, languages, ethnicities,
and literacy levels. The employer will need to tailor the training to
the particular demographics of their employees to ensure that the
retraining establishes employee knowledge.
    Throughout paragraph (o), OSHA specifically states that employers
must train or retrain employees so they know or understand the required
content (see, for example, paragraph (o)(6)(iii)). This requirement
means that employers must ensure that training is provided in ways that
enable their employees to understand the information, know its meaning,
and use that information to ensure their safety under hazardous-energy
conditions. There are many ways employers can provide effective and
understandable training to a diverse workforce. iWorkWise explained how
fishing-vessel operators ensure that their Spanish-speaking employees
understand training:

    It might be conducting the training in both English and Spanish,
for instance, although there are a lot of other languages [besides]
Spanish on fishing vessels. It might be, you know, watching them do
it the first time, showing them how to do it physically. All of
those things, I think, are used by every vessel, quite well. I mean,
that is how they are able to do their job at all and show up when
they are supposed to. So everything possible, I guess, is the
answer, and I have seen it employed in a training program to get
people to understand what they need to do (Ex. 168, p. 430).

    Bath Iron Works commented on how it ensures training is
understandable to all employees:

    On our end, for the most part, they are all English-speaking,
but we also do a validation exam, make sure they understand the
material, and then we go through the answers to make sure everybody
understands that. * * * Sometimes we have had some folks who are
illiterate, and we have done some one-on-one training with those
folks, so they understand (Ex. 168, pp. 350-351).

    Finally, paragraph (o)(7), like the proposal, requires the employer
to keep a record that training has been accomplished and is current.
OSHA revised this paragraph to require that the employer include at
least the employee's name, date(s) of the training, and the subject of
the training. The proposed rule only required that the record include
the employee's name and date of training. OSHA believes that the record
also must include the subject of the training to be a useful record.
Employers are free to determine the form of the record. For example,
some employers may retain training course sign-in sheets while other
employers may maintain individual employee training records.
Paragraph (p)--Incident Investigation
    In paragraph (p), OSHA added provisions requiring employers to
investigate each incident that resulted in, or reasonably could have
resulted in, the energization or startup, or the release of hazardous
energy. SESAC recommended that a shipyard lockout/tags-plus standard
require the employer to conduct incident investigations when accidents
or near-misses occur (Docket SESAC 1993-3, Ex. 8, p. 7). SESAC also
recommended that employers conduct such investigations to identify
deficiencies in the lockout/tags-plus program, and then correct any
problems or deficiencies in the program.
    In the proposal, OSHA requested input from shipyard employers as to
whether Sec.  1915.89 should include an incident-investigation
requirement. Northrop Grumman--Newport News, the U.S. Navy, and Puget
Sound Shipbuilder's Association agreed that such a requirement would be
an important, if not critical, component of a lockout/tags-plus program
(Exs. 116.2; 132.2; 168 p. 392). Northrop Grumman stated:

    A best practices study on hazardous energy control in shipyards
noted that most successful programs included a provision for
incident investigation. This provision was determined to be one of
several strengths typically found in Shipyard Employment hazardous
energy programs, which are absent from the General Industry
standard. The investigation should be documented, including a cause
analysis and corrective actions (Ex. 116.2).

    The U.S. Navy stated that it agrees "that [the requirement for]
incident investigation[s] is an appropriate requirement to be included
in the standard * * * [i]n order to maintain a level of quality and
frankness necessary to assist in the continuation of a successful
proactive program" (Ex. 132.2). In addition, Puget Sound Shipbuilder's
Association testified: "The essential elements listed on this slide
are the foundation for a new hazardous-energy control standard that
will serve the employees in the shipyard industry well. * * * [Element]
nine [addresses] incident investigations and regular inspections" (Ex.
168, pp. 390-392).
    It is long-standing OSHA policy to encourage, and in some instances
to require, incident reports, accident assessments, and other types of
reports that document an investigation of an incident that could, or
does, compromise safety. According to an OSHA Safety and Health
Management System fact sheet entitled "Accident/incident
Investigation":

    Near miss reporting and investigation allow you to identify and control
hazards before they cause a more serious incident. Accident/incident investigations
are a tool for uncovering hazards that either were missed earlier or have
managed to slip out of the controls planned for them. It is useful only when
done with the aim of discovering every contributing factor to the accident/incident
to "foolproof" the condition and/or activity and prevent future occurrences. In
other words, your objective is to identify root causes, not to primarily set blame.
(See http://www.osha.gov/SLTC/etools/safetyhealth/mod4_factsheets_accinvest.html.)

    OSHA believes that requiring shipyard employers to implement
incident investigations will result in a decrease in incidents and
near-misses. Based on the Agency's expertise and existing policy, and
the comments from SESAC and members of the regulated community
addressing the importance of incident investigation and reports, OSHA
added paragraph (p), Incident investigation, to this final standard.
    Paragraph (p)(1) requires the employer to investigate each incident
that resulted in, or could reasonably have resulted in, energization or
startup, or the release of hazardous energy. OSHA believes that
investigating "near misses" in addition to actual incidents is an
important proactive measure to maintain an effective lockout/tags-plus
program. Investigating near misses can prevent incidents and keep small
or minor problems from becoming major problems. Further, successfully
identifying and addressing root causes of incidents is the most
effective way to prevent fatalities and injuries from occurring.
    Paragraph (p)(2) requires that, within 24 hours of the incident,
the employer initiate the investigation and notify each employee who
was, or could reasonably have been, affected by the incident. Paragraph
(p)(3) requires that the investigation be conducted by at least one
employee who has knowledge of, and experience in, the employer's
lockout/tags-plus program and procedures. This employee also must have
knowledge of, and experience in, investigating and analyzing incidents
involving the release of hazardous energy. OSHA understands that some
employers use outside safety and health consultants to perform various
services, such as inspections, program development, and incident
investigations. Thus, paragraph (p)(3) permits employers to use
additional individuals to participate in incident investigations. Such
individuals may include co-workers, outside consultants, or other
ship's forces or crafts. However, the responsibility for the incident
investigation rests with the employer, regardless of whom the employer
may designate to assist with the task.
    Paragraph (p)(4) specifies that the employer prepare a written
report of the investigation. This report must include the following
seven items (paragraphs (p)(4)(i) through (vii)): the date and time of
the incident; the date and time the incident investigation began; the
location of the incident; a description of the incident; the factors
that contributed to the incident; a copy of any lockout/tags-plus log
that was current at the time of the incident; and any corrective
actions that the employer must take as a result of the incident. OSHA
believes that all of these items will assist the employer in
identifying causes of the incident, as well as unsafe practices. In
this regard, the U.S. Navy stated:

    The Navy has a robust program for formal investigations of
energy control problems on board Navy vessels. * * * It is this
intense focus on and formal resolution of smaller problems that
results in the elimination of more serious problems. All safety
programs need to include a formal investigation process which should
include documented problem definition, cause analysis and corrective
action determination (Ex. 132.2).

    OSHA believes that incidents or near misses may occur as a result
of procedural mistakes, lack of knowledge, or employee error. It is
from examining incidents that the employer can determine which
corrective actions to take so that such incidents do not recur.
    Paragraph (p)(5) requires that the employer review the written
incident report with each employee having job tasks related to the
findings of the incident investigation. This review must include
contract employees, when applicable. This review will provide employers
with an opportunity to discuss and reinforce the importance of
corrective actions and to identify any training or other deficiencies
not included in the written report.
    Paragraph (p)(6) requires that the investigation and report be
completed, and any necessary corrective actions taken, within 30 days
of the incident. OSHA believes that 30 days is ample time for employers
to assess the incident and, in most cases, implement corrective
measures. Otherwise, the employer runs the risk of a repeat incident.
However, there will be some situations that cannot be corrected within
30 days. In those situations, paragraph (p)(7) requires the employer to
prepare a written abatement plan that explains the circumstances of the
delay, a proposed timeline for corrective actions to be implemented,
and a summary of the interim steps that the employer will take to
protect employees. Thus, when the employer cannot take corrective
actions within 30 days of the incident, the employer must take positive
steps to do so in a timely manner.
Paragraph (q)--Program Audits (Proposed Sec.  1915.89(b)(6))
    The standard requires that the employer perform periodic audits at
least annually to ensure that energy-control procedures are working
properly. OSHA explained in the preamble to the proposed standard that
the audit (referred to as "inspection" in the proposal) must make
four findings: (1) Whether the steps in the energy-control procedures
are being followed; (2) whether the employees involved know their
responsibilities under the procedures; (3) whether the procedures are
adequate to provide the necessary protection; and (4) what changes, if
any, are needed to correct identified deficiencies (72 FR 72452, 72494,
Dec. 20, 2007).
    OSHA proposed this section as "periodic inspection," but changed
the title to "program audits" for this final standard since many
commenters referred to the inspections as audits. OSHA proposed that
periodic inspections of "each" energy-control procedure be conducted
at least annually, to ensure that the procedures were being followed,
and to correct any deficiencies. OSHA received several comments
regarding the change from Sec.  1910.147(c)(6) that required an
inspection of "the" energy-control procedure (Exs. 105.1; 116.2;
120.1). American Seafoods Company commented:

    It is not clear why OSHA has added the language, "conduct a
periodic inspection of each procedure." This is a change from the
General Industry standard which requires a periodic inspection of
"the energy control procedure" [1910.147(c)(6)]. How will a
facility inspect each procedure? For instance, if a facility has 200
procedures, and not all of them are used every year, it is not
reasonable for an employer to have to make someone perform each
procedure just so they can inspect it. Indeed, it would be
exceedingly onerous to [expect someone to perform] each procedure
each year for a shipyard, ship repair facility, or vessel that has
hundreds of procedures even if they were performed at least once
(Ex. 105.1).

    Similarly, Northrop Grumman-Newport News also stated:

    This section requires annual inspection of each energy control
procedure and a review of certain information and responsibilities
with each authorized employee. For instance, in our Facilities-based
program alone we have approximately 10,000 energy control procedures
(because very few pieces of equipment/systems have a single source
of energy) and approximately 1,300 authorized employees.
    There are thousands of jobs on a single aircraft carrier each
day that require isolation of hazardous energy. As indicated above,
once the work is complete, the procedure (work permit and support
expert based assessment) are obsolete. Performing an inspection of
obsolete procedures annually makes no sense and the number of
distinct procedures (work permits) are too great to accomplish a full
inspection even if the procedures were not obsolete. We recommend that
this section be deleted and a section requiring an annual Hazardous
Energy Control audit be added (Ex. 116.2).

    OSHA acknowledges the validity of these concerns, and modified the
final standard in two ways. First, final paragraph (q)(1) clarifies
that the required audits apply to program and procedures currently in
use. Thus, if an energy-control program was implemented at some point
during the previous year, but the servicing has been completed and the
program discontinued, the employer need not audit the discontinued
program. Second, in final paragraph (q)(1), OSHA deleted the proposed
requirement for auditing "each" energy-control program. The employer
instead may inspect a representative sample of the equipment the
procedure cover, and consult with the authorized employees who
implement the procedure on that equipment. Accordingly, equipment that
has the same type and magnitude of hazardous energy, and has the same
or similar type of controls, may be grouped together and inspected by
type of procedure (Ex. 36, Letter to Thomas J. Civic, Mar. 9, 2004).
Moreover, as stated by OSHA in an interpretation letter regarding the
general industry requirement for periodic inspections (Ex. 35, Letter
to Lawrence P. Halprin, Sept. 19, 1995), a group of detailed individual
procedures are considered a single procedure for the purposes of
periodic inspection, provided all of the procedures have the same:
     Planned equipment use;
     Procedures for applying controls (i.e., shut down,
isolation, blocking, and securing equipment);
     Procedures for placing, removing and transferring lockout/
tags-plus devices, and identifying who has responsibility for these
procedures; and
     Requirements for testing the machinery, equipment, or
system and verifying the effectiveness of lockout/tags-plus devices and
other control measures.
    In 1993, prior to the above-mentioned Agency interpretations, SESAC
raised similar concerns about the large percentage of equipment that
employers must inspect to determine whether the energy-control
procedures are working properly and whether employees understand their
responsibilities under the procedures (Docket SESAC 1993-3, Ex. 104X,
pp. 164-169). OSHA believes the interpretations incorporated and
discussed herein address SESAC's concerns, and the concerns of the
commenters.
    Under final paragraph (d) of this section, OSHA requires procedures
to be developed for the control of hazardous energy during servicing of
any machinery, equipment, or system. However, OSHA does not require
employers to develop a procedure for every single machine, equipment,
or system for each type or class of vessel. In the Note to paragraph
(d)(1) of this section, OSHA clearly stated that employers must develop
procedures only for types of machinery, equipment, or systems.
Paragraph (d)(2) provides an exemption to the requirement for written
procedures under specified conditions. The Agency recognizes the large
number of servicing operations that occur on a large vessel such as an
aircraft carrier, and, therefore, does not require in this final
standard that employers have a procedure, or conduct an audit of every
procedure, for every servicing operation.
    A properly conducted program audit will determine whether an
employer's lockout/tags-plus program and procedures are effective, and
whether the employer is implementing the program and procedures
properly. In addition, audits will ensure that employees implementing
the program and procedures remain familiar with their responsibilities,
whether they are affected employees, authorized employees, or employees
working on the same vessel while servicing operations are being
performed. The audit will also ensure that the employer identifies any
deficiencies in the program and procedures, as well as in employee
training.
    Comments and testimony confirmed that employers already are
performing annual audits of hazardous-energy control programs and
procedures. Northrop Grumman-Newport News testified regarding audit
procedures at its landside operations:

    [A]ll of our procedures that are formal shipyard procedures
enter into what we call our quality control system, so each of those
systems is spelled out. If there is an annual requirement for
review, updating, and inspection, that is automatic, so, in other
words, we will get a trigger from the quality system that says
procedure Y1022 is now up for review, and that stimulates us then to
go and even if we have forgotten, to go and perform that review and
analysis of that procedure consistent with the requirement, our
quality control system. So, yes, even though we have a large number
of procedures, we check them out (Ex. 168, p. 324).

Foss Maritime testified that it also perform annual audits:

    At least annually. We try to do it twice a year. * * * It's
something that I do twice a year walking our facility. For my walks,
I would generate other questions. But the electricians and the
pipefitters who are probably the ones who are involved in lockout/
tags-plus are the ones I go to and let them audit the programs (Ex.
198, p. 32).

    Based on these comments stating that periodic audits are accepted
practice in some shipyards, and on OSHA's experience with periodic
audits in other industries, OSHA is retaining the requirement that
annual audits be conducted.
    Final paragraph (q)(2)(i) (proposed paragraph (b)(6)(A)) requires
that the audit be performed by an authorized employee other than the
employee using the energy-control procedures being reviewed. As an
alternative to paragraph (q)(2)(i), OSHA added final paragraph
(q)(2)(ii) to the final standard, which allows employers to perform the
required audit using other individuals knowledgeable about the
employer's lockout/tags-plus program and procedures and the machinery,
equipment, or systems being reviewed. OSHA specified a similar
alternative in final paragraph (p)(3), which allows employers to employ
outside consultants, such as safety and health professionals, to
participate in incident investigations. OSHA concludes that having such
an outside consultant is a reasonable alternative to having an employee
conduct the audit, especially since the consultant may provide a fresh
perspective on the review process. However, this individual must be
knowledgeable about the employer's program and procedures, as well as
knowledgeable about the machinery, equipment, or systems that are being
serviced on vessels and in landside facilities. OSHA did not receive
any comments on the requirements of paragraph (q)(2)(i) (proposed as
Sec.  1915.89(b)(6)(i)(A)), and is retaining these provisions, along
with the new (q)(2)(ii), in this final standard.
    In proposed paragraph (b)(6)(i)(B), OSHA required the inspection of
energy-control procedures to include a review, conducted between the
inspector and each authorized employee, of the authorized employee's
responsibilities under the energy-control program. In proposed
paragraph (b)(6)(i)(C), if the employer used a tags-plus system, the
inspector's review of employee responsibilities would include affected
employees. OSHA also proposed, for tags-plus systems, that the
inspection include a review, with authorized and affected employees, of
the limitations of tags. Northrop Grumman-Newport News stated:

    We recommend that the periodic inspection be modified to require
'a review of a statistically significant sample of procedures annually
by a person knowledgeable of the operation and energy control
procedures.' We recommend that the review of responsibilities and
other information with authorized employees be moved to a
performance-based requirement in the training section to ensure
employees are knowledgeable of their responsibilities (Exs. 116.1;
120.1).

    After reviewing the record, OSHA decided not to include these
proposed provisions in the final standard. However, similar
requirements for authorized employees are provided in the training
section of the final standard. OSHA believes that these training
requirements cover the responsibilities of the authorized employees, as
well as other crucial training elements. (See summary and explanation
of Sec.  1915.89(o)(4) above.)
    In paragraph (q)(3), OSHA revised the specifications for the
program audit. Although the proposed rule included a requirement to
review the energy-control program procedures (proposed Sec.
1915.89(b)(6)), it did not specify what records the employer needed to
review as part of the audit. The final rule identifies what records the
employer must examine as part of the audit.
    Paragraph (q)(3)(i) requires that the auditor review the written
lockout/tags-plus program and procedures. This requirement will ensure
that the employer addresses all of the machinery, equipment, and
systems and the specific procedures for energy control in the worksite,
as well as confirm that the employer is in compliance with paragraph
(b) of this section. Paragraphs (q)(3)(ii) and (iii) require the
auditor to review the current lockout/tags-plus log and verify its
accuracy. By reviewing the log, the auditor will determine if it is up
to date, if all possible sources of hazardous energy supplied to
machinery, equipment, or systems have been properly isolated, and if
the lockout/tags-plus coordinator is properly approving and authorizing
each lock or tagout application. Finally, under paragraph (q)(3)(iv),
the auditor must review any incident reports that have been completed
since the last audit. By reviewing the incident reports, the auditor
will analyze information that could lead to further incidents. This
review also will ensure that the employer implements any corrective
actions identified in the incident report, and that the employer
conducts any necessary retraining. Reviewing this information will
allow the auditor to determine whether the corrective actions were
appropriate and effective in decreasing the possibility of future near-
misses. Paragraphs (q)(3)(v) and (vi), like proposed paragraphs
(b)(6)(i)(B) and (C), require employees to ensure that the auditor
reviews with authorized employees their responsibilities under the
lockout systems being audited, and with affected and authorized
employees their responsibilities under the tags-plus systems being
audited. These requirements are essential to the auditor's
understanding of whether the employer's lockout/tags-plus procedures
are understood and being followed by the applicable employees.
    Paragraph (q)(4) of the final rule requires the employer to prepare
a written audit report that includes, among other things, audit
findings and recommendations for corrective actions. The final rule
expands the requirement in the proposed rule, which was limited to
certifying the date of the inspection, the equipment inspected, the
employees included in the inspection, and the person performing it. The
proposed rule did not require that the certification include the
inspection findings and recommendations for corrective action, which
OSHA believes to be the heart of the audit. OSHA believes the final
rule provides more useful information to employers and will assist them
to maintain an effective lockout/tags-plus program. For example, if a
more detailed audit report is available, employers can refer to it when
investigating subsequent incidents or near misses. A detailed report
also provides employers with information that will assist them to
determine, during the next program audit, whether they have improved
the effectiveness of their lockout/tags-plus program. Finally,
requiring a detailed audit report also ensures that the employer uses a
systematic approach in evaluating the lockout/tags-plus program.
    Paragraphs (q)(4)(i) and (ii) require the employer to ensure that
the auditors prepare, and deliver to the employer, a written audit
report that includes the date of the audit and the identity of the
individual(s) performing the audit. The auditors must prepare and
deliver the report within 15 days after completing the audit. Paragraph
(q)(4)(iii) requires that the written report contain the identity of
the procedure, and the applicable machinery, equipment, or system,
being audited. Paragraph (q)(4)(iv) requires the written audit report
to contain the findings of the program audit and all recommendations
for correcting deviations or deficiencies identified during the audit.
Paragraph (q)(4)(v) specifies that the written audit report also must
contain any incident-investigation reports prepared since the previous
audit (see Sec.  1915.89(p)). Finally, paragraph (q)(4)(vi) requires
the report to contain a description of any corrective actions that the
employer performed in response to the findings and recommendations of
any incident reports prepared since the previous audit.
    Paragraphs (q)(5) and (q)(6) require that the employer promptly
communicate the audit report findings and recommendations to each
employee having a job task that may be affected by the audit and,
within 15 days following receipt of the audit report, correct any
deviations or inadequacies in the lockout/tags-plus program. These two
paragraphs are new in the final standard. OSHA believes that it is
important for employers to promptly communicate the findings of the
report to employees, and to have a set period of time in which to
correct the deviations and deficiencies, thereby protecting workers
from the release of hazardous energy. OSHA designed the program audits
to provide feedback to employers on hazardous-energy control programs
so that the employers will correct promptly any deviations or
deficiencies found in the lockout/tags-plus program. These audits also
serve to ensure that employers are implementing the procedures
properly, and that all employees receive information about the status
of the program and procedures. OSHA believes that program audits permit
employers to monitor significant safety procedures, and ensure
compliance with the requirements of this section.
Paragraph (r)--Recordkeeping
    Paragraph (r), which is a new paragraph in the final standard,
consolidates in a single location the records in this section that
employers must retain, and the period of time they must retain these
records. Table 3 to subpart F, "Retention of Records Required by Sec.
1915.89," provides a summary of these recordkeeping requirements. OSHA
discussed each of these records in the respective sections of the
summary and explanation. In developing these recordkeeping
requirements, OSHA balanced the need to review records relating to the
employer's lockout/tags-plus program with the burden of retaining
outdated records.
    As required by final paragraphs (b) and (d), the employer must
establish and implement a written lockout/tags-plus program and
procedures. OSHA concluded that employers must maintain these documents
until they are replaced by updated programs or procedures. Employers
should have no difficulty meeting this requirement as it does not impose
a significant document maintenance burden. Rather, it ensures that
documentation of the employer's lockout/tags-plus program, and the resulting
safety to employees, continues uninterrupted, even if the program and/or
procedures change. Paragraph (o)(7) requires the employer to maintain
records that employees accomplished training on lockout/tags-plus, and
that this training is current. The employer must maintain these records
until replaced by updated records for each type of training. Paragraph
(o)(1) requires that employees receive initial training at whatever
level they are working (i.e., employee, affected employee, authorized
employee, or coordinator), and paragraph (o)(6) requires retraining as
necessary. Over the course of an employee's career, he/she may
participate in numerous training sessions. OSHA concluded that
employers need to document various types and levels of training that
employees receive pursuant to the lockout/tags-plus standard to prevent
any omission in training required for an employee. This requirement
will also aid employers to determine when retraining is necessary. This
requirement should not impose an undue burden on employees since the
standard, at final paragraph (o)(7), requires only that the training
record contain the employees' names, dates of training, and the subject
of training received.
    Paragraph (p)(4) requires the employer to prepare a written
incident-investigation report. The employer must maintain this report
at least until completing the next program audit. This requirement will
aid auditors in determining whether the employer successfully adopted
the corrective actions recommended in the investigation report.
Furthermore, paragraph (q)(4)(v) specifically requires that audit
reports include, among other information, incident-investigation
reports generated since the previous audit. To comply with paragraph
(q)(4)(v), the employer must retain all investigation reports prepared
since the previous audit.
    Finally, paragraph (q)(4) requires that the employer prepare a
written audit report. OSHA concluded that employers must maintain this
report for at least 12 months after being replaced by the next audit
report. Since audits must be conducted at least once a year, the
retention of audit reports for one year after being replaced by the
next audit report provides the employer with at least two audit reports
at any one time. Inspection of these reports will give the employer an
indication of safety trends in the workplace, as well as information
about components of the employer's lockout/tags-plus program that may
need improvement.
Paragraph (s)--Appendices
    This final standard includes a non-mandatory appendix that
employers and employees can use to implement the requirements of this
section. The appendix also provides other information on the control of
hazardous energy. OSHA included this appendix in the proposal. In this
final standard, OSHA updated the appendix to include changes to the
final lockout/tags-plus provisions. None of the information in this
appendix adds or detracts from any of the requirements of this section.

Appendix A to Sec.  1915.89 (Non-Mandatory)--Typical Minimal Lockout/
Tags-plus Procedures

General

Lockout/Tags-Plus Procedure

Lockout/Tags-plus Procedure for
-----------------------------------------------------------------------

[Name of company for single procedure or identification of
machinery, equipment, or system if multiple procedures used.]
-----------------------------------------------------------------------

Purpose

    This procedure establishes the minimum requirements for the
lockout/tags-plus application of energy-isolating devices on vessels
and vessel sections, and for landside facilities whenever servicing
is done on machinery, equipment, or systems in shipyards. This
procedure shall be used to ensure that all potentially hazardous-
energy sources have been isolated and the machinery, equipment, or
system to be serviced has been rendered inoperative through the use
of lockout or tags-plus procedures before employees perform any
servicing when the energization or start-up of the machinery,
equipment, or system, or the release hazardous energy could cause
injury.

Compliance with This Program

    All employees are required to comply with the restrictions and
limitations imposed on them during the use of lockout or tags-plus
applications. Authorized employees are required to perform each
lockout or tags-plus application in accordance with this procedure.
No employee, upon observing that machinery, equipment, or systems
are secured using lockout or tags-plus applications, shall attempt
to start, open, close, energize, or operate that machinery,
equipment, or system.
-----------------------------------------------------------------------

Type of compliance enforcement to be taken for violation of the
above.

Procedures for Lockout/Tags-plus Systems

    (1) Notify each affected employee that servicing is required on
the machinery, equipment, or system, and that it must be isolated
and rendered inoperative using a lockout or tags-plus system.
-----------------------------------------------------------------------

Method of notifying all affected employees.
    (2) The authorized employee shall refer to shipyard employer's
procedures to identify the type and magnitude of the energy
source(s) that the machinery, equipment, or system uses, shall
understand the hazards of the energy, and shall know the methods to
control the energy source(s).
-----------------------------------------------------------------------

Type(s) and magnitude(s) of energy, its hazards and the methods to
control the energy.
    (3) If the machinery, equipment, or system is operating, shut it
down in accordance with the written procedures (depress the stop
button, open switch, close valve, etc.) established by the employer.
-----------------------------------------------------------------------

Type(s) and location(s) of machinery, equipment, or system operating
controls.
    (4) Secure each energy-isolating device(s) through the use of a
lockout or tags-plus system (for instance, disconnecting, blanking,
and affixing tags) so that the energy source is isolated and the
machinery, equipment, or system rendered inoperative.
-----------------------------------------------------------------------

Type(s) and location(s) of energy-isolating devices.
    (5) Lockout System. Affix a lock to each energy-isolating
device(s) with assigned individual lock(s) that will hold the
energy-isolating device(s) in a safe or off position. Potentially
hazardous energy (such as that found in capacitors, springs,
elevated machine members, rotating flywheels, hydraulic systems, and
air, gas, steam, or water pressure, etc.) must be controlled by
methods such as grounding, repositioning, blocking, bleeding down,
etc.
    (6) Tags-plus System. Affix a tag to each energy-isolating
device and provide at least one additional safety measure that
clearly indicates that removal of the device from the safe or off
position is prohibited. Potentially hazardous energy (such as that
found in capacitors, springs, elevated machine members, rotating
flywheels, hydraulic systems and air, gas, steam, or water pressure,
etc.) must be controlled by methods such as grounding,
repositioning, blocking, bleeding down, etc.
-----------------------------------------------------------------------

Type(s) of hazardous energy--methods used to control them.
    (7) Ensure that the machinery, equipment, or system is relieved,
disconnected, restrained, or rendered safe from the release of all
potentially hazardous energy by checking that no personnel are
exposed, and then verifying the isolation of energy to the machine,
equipment, or system by operating the push button or other normal
operating control(s), or by testing to make certain it will not
operate.
CAUTION: Return operating control(s) to the safe or off position
after verifying the isolation of the machinery, equipment, or
system.
-----------------------------------------------------------------------

Method of verifying the isolation of the machinery, equipment, or
system.
    (8) The machinery, equipment, or system is now secured by a
lockout or tags-plus system, and servicing by the authorized person
may be performed.

Procedures for Removal of Lockout/Tags-plus Systems

    When servicing is complete and the machinery, equipment, or
system is ready to return to normal operating condition, the
following steps shall be taken:
    (1) Notify each authorized and affected employee(s) that the
lockout/tags-plus system will be removed and the machinery,
equipment, or system reenergized.
    (2) Inspect the work area to ensure that all employees have been
safely positioned or removed.
    (3) Inspect the machinery, equipment, or system and the
immediate area around the machinery, equipment, or system to ensure
that nonessential items have been removed and that the machinery,
equipment, or system components are operationally intact.
    (4) Reconnect the necessary components, remove the lockout/tags-
plus material and hardware, and reenergize the machinery, equipment,
or system through the established detailed procedures determined by
the employer.
    (5) Notify all affected employees that servicing is complete and
the machinery, equipment, or system is ready for testing or use.

Section 1915.90--Safety Color Code for Marking Physical Hazards

    Section 1915.90 of the final rule, like the proposal, incorporates
by reference 29 CFR 1910.144, the general industry standard on safety
color-coding for marking physical hazards.
    The provisions of Sec.  1910.144, which already apply to shipyard
employment, both onshore and on vessels, require that the color red
shall be the basic color for the identification of dangerous conditions
such as red paint used for containers of flammable liquids, red lights
at barricades and temporary obstructions, and red danger signs. The
general industry standard also specifies that red shall be the color
used for emergency stop buttons, electric switches, and machine stop
bars. In addition, the standard requires that yellow be used as the
basic color for designating caution and marking physical hazards such
as slip, trip, and fall hazards.
    Some stakeholders raised questions about the application of the
provision on vessels (Exs. 101.1; 105.1; 124; 126; 128; 130.1; 132.2).
For instance, American Seafoods Company requested clarification about
whether employers, specifically shipyard and ship-repair employers,
would be required to color-code physical hazards on vessels undergoing
repair and maintenance in shipyards (Ex. 105.1). Other stakeholders
questioned whether shipyard employers would have to color-code physical
hazards on vessels that they do not own before they begin work (Exs.
101.1; 124; 126; 128; 130.1). One stakeholder recommended that OSHA
limit application of the provision to landside facilities and temporary
systems placed onboard vessels during repair (Ex. 132.2).
    As discussed in section I(D), "Hazards," of this preamble to the
final rule, work on vessels involves many serious hazards and dangerous
conditions. If these hazards are not marked in a uniform and readily
apparent way that is recognizable to all workers, those workers may be
at risk of serious harm. The OSH Act requires that employers provide
employees with employment and a place of employment that is free from
recognized hazards (29 U.S.C. 654). This means that shipyard employers
must ensure that their employees are protected from physical hazards
wherever they work, including onboard any vessel undergoing repair and
maintenance. Therefore, whenever the potential exists for employees to
be exposed to a physical hazard on shore or onboard any vessel,
shipyards and repair facilities are required to color-code all physical
hazards on vessels undergoing repair and maintenance.
    This standard has been applicable to shipyard employment, including
work on vessels, since OSHA adopted it pursuant to section 6(a) of the
OSH Act. Therefore, OSHA does not believe that employers should have
difficulty complying with it. In addition, the standard gives employers
flexibility in determining what methods or material they use to color-
code physical hazards. For example, employers would be free to color-
code hazards using tape, paint, ties, or other similar methods.
    American Seafoods Company indicated that OSHA should add the
requirements in Sec. Sec.  1910.144 and 1910.145 (discussed in Sec.
1915.91 of this preamble) to part 1915, subpart F, because they think
that it is "onerous" for employers to have to refer to both part 1915
and part 1910 to determine what standards are applicable to shipyard
employment (Ex. 105.1). OSHA believes that simply stating that
Sec. Sec.  1910.144 and 1910.145 apply to shipyard employment addresses
the stakeholder's concern. By specifically referencing Sec. Sec.
1910.144 and 1910.145 in Sec. Sec.  1915.90 and 1915.91, respectively,
shipyard employers will instantly know that those general industry
sections are applicable to them. It eliminates what the stakeholder
calls an "onerous" step of having to examine whether any or all of
the provisions in Sec. Sec.  1910.144 and 1910.145 apply. Moreover, the
ready availability of OSHA standards on the OSHA Web site makes it easy
for employers to obtain copies of any standards that apply to shipyard
employment, whether they are in part 1910 or part 1915.

Section 1915.91--Accident Prevention Signs and Tags

    Section 1915.91 of the final rule, like the proposed rule,
incorporates by reference the general industry standard on accident
prevention signs and tags, 29 CFR 1910.145. Section 1910.145
requirements address the classification, design, and wording of
accident prevention signs and tags. OSHA believes that incorporating
the general industry standard is necessary to provide consistent
protection whenever shipyard employees are exposed to potentially
hazardous conditions. It also ensures that important warning and danger
signs and tags are uniform in design and use, which OSHA believes will
increase their effectiveness.
    The provisions addressing accident prevention signs are already
applicable to shipyard employment on vessels and on shore (Sec.
1910.145(a) through (e)). The general industry provisions also require
that accident prevention tags be used when employees are exposed to
potentially hazardous conditions, equipment, or operations that are
"out of the ordinary, unexpected or not readily apparent" (Sec.
1910.145(f)). Tags are required to be uniform for message, legibility,
positioning/affixing, and comprehensibility. However, as explained in
the proposed rule, the general industry standard expressly excludes the
application of accident prevention "tags" to maritime (Sec.
1910.145(f)(ii)). OSHA believes that applying the requirements on
accident prevention tags to shipyard employment provides needed
protection since part 1915 does not have comprehensive, uniform
requirements for the application and use of such tags. The final rule
ensures that all of Sec.  1910.145 is applicable to shipyard
employment.
    To eliminate any confusion, the final rule both incorporates by
reference Sec.  1910.145, and removes the maritime exclusions from that
section (for example, "marine regulations" (Sec.  1910.145(a)(1)) and
"maritime" (Sec.  1910.145(f)(ii)). OSHA recognizes that the terms
"maritime" and "marine" sometimes collectively refer to shipyard
employment, marine terminals, and longshoring. Removing the maritime
and marine references from these general industry sections does not
make the general industry standard applicable to marine terminals and
longshoring. In this regard, Sec. Sec.  1910.16, 1917.1(a)(2), and
1918.1(b) exclude marine terminals (29 CFR part 1917) and longshoring
(29 CFR part 1918) from coverage under Sec.  1910.145 because Sec.
1910.145 is not incorporated into Sec. Sec.  1910.16, 1917.1(a)(2) or
1918.1(b) and, therefore, does not apply to marine terminals or
longshoring.
    OSHA believes that incorporating the general industry requirements
should not pose problems for shipyard employers since accident-
prevention tags are universally recognized. Moreover, the use of both
accident-prevention signs and tags, specified in Sec.  1910.145, is
already applicable to shipyard employment.
    Several commenters questioned whether the shipyard or repair
facility is responsible for posting signs on vessels that are
undergoing repairs or maintenance (Exs. 99; 101.1; 104.1; 107.1; 124;
126; 128; 130.1). Shipyard employers are responsible for posting
accident prevention signs and tags to identify hazards on vessels on
which their employees perform repair or maintenance work. This includes
applying accident prevention signs and tags to protect workers from
identified hazards in their work and at the workplace, regardless of
who owns the vessel on which they may be working. Therefore, whenever
there is a potential for employees to be exposed to a hazard, either on
a vessel or shoreside, the shipyard employer must post accident
prevention signs and tags to prevent potential injury, illness, or
fatality.

Section 1915.92--Retention of DOT Markings, Placards, and Labels

    In Sec.  1915.92, OSHA is retaining, with minor editorial changes,
the existing requirements in Sec.  1915.100 on the retention of DOT
markings, placards, and labels on hazardous materials the shipyard
receives. This final standard includes minor editorial changes from the
proposed rule.
    Paragraphs (a) and (b) of this section require that employers not
remove labels and markings on any hazardous materials or freight
containers, rail freight cars, motor vehicles, or transportation
vehicles that the U.S. Department of Transportation regulations require
to be marked, until the hazardous materials are removed, and that
employers clean any residue and purge any vapors to prevent potential
hazards. These requirements apply regardless of how the shipyard
receives the hazardous material packages (for example, single packages,
in bulk).
    Paragraph (c) requires that the markings, placards, and labels on
the hazardous materials be maintained so that they are "readily
visible." Paragraph (d) states that employers are considered in
compliance with this section if the markings or labels on non-bulk
packages that will not be reshipped are affixed in accordance with the
Hazard Communication standard, Sec.  1910.1200. Paragraph (e) specifies
that the definition of "hazardous materials" and other undefined
terms have the same definition as the U.S. Department of Transportation
Hazardous Materials Regulations (49 CFR parts 171 through 180).
    OSHA did not receive any comments on proposed Sec.  1915.92. The
Agency concludes that DOT markings, placards, and labels on hazardous
materials need to be visible to workers for as long as a hazard is
present so workers can protect themselves and others. Therefore, OSHA
retained these provisions in the final standard with no change.

Section 1915.93--Vehicle Safety Equipment, Operation, and Maintenance

    The purpose of this section is to address the hazards associated
with the use of motor vehicles at worksites engaged in shipyard
employment by setting forth requirements for motor vehicle safety
equipment, and for the safe operation and maintenance of motor
vehicles. Statistics provided in the proposal, collected from the
Bureau of Labor Statistics (BLS) Census of Fatal Occupational Injuries
database, reported that 27 shipyard employees were killed in
transportation accidents over an 11-year period (1993-2003) (Ex. 69).
These fatalities accounted for 17 percent of the deaths during that
time. The BLS data also reveal that since 1998, an estimated 225
shipyard employees have suffered motor vehicle-related injuries serious
enough to involve days away from work. In 2002 alone, 63 shipyard
employees suffered injuries involving days away from work in
transportation accidents (72 FR 72500-72501, Dec. 20, 2007). Due to the
significant number of reported fatalities and injuries involving
transportation accidents among shipyard employees, OSHA concluded that
the motor vehicle safety provisions are necessary, and that the
requirements set forth in Sec.  1915.93 will reduce the number of motor
vehicle-related fatalities and injuries.
Paragraph (a)--Application.
    In proposed Sec.  1915.95, OSHA defined the term "motor vehicle"
to mean any motor-driven vehicle operated by an employee that is used
to transport employees, materials, or property. The proposed definition
of "motor vehicles" included passenger cars, light trucks, vans,
motorcycles, all-terrain vehicles, powered industrial trucks, and other
similar vehicles. During the hearing, two shipyard employers testified
that they use MulesTM, which are small utility vehicles
comparable to large golf carts, for transporting employees, materials,
or property in shipyards. Northrop Grumman Shipbuilding-Newport News
stated:

    We have experimented with some things that we affectionately
call mules that [I] think is a trade name. It's a little motorized
kind of a small scooter with a little cargo box in the back, and we
have a few of those, so those are some examples of how employees get
around (Ex. 168, p. 296).

    Bath Iron Works also provided information on these vehicles,
stating: "We have recently introduced what they call the mule, the 4-
wheel drive, caboose cab with seat belts and a little place to put
material in the back to haul to job sites" (Ex. 168, p. 297). Based on
these comments, the Agency added to the final rule the phrase "small
utility vehicles" to the definition of "motor vehicle."
    Proposed paragraph (a)(1) limited the scope of this section to any
motor vehicle used to transport employees, materials, or property at
shipyards; however, the purpose of this provision was to apply to all
worksites engaged in shipyard employment. Thus, OSHA changed the scope
of this section in the final rule for clarity to include any motor
vehicle used to transport employees, materials, or property at
worksites engaged in shipyard employment. Paragraph (a)(1) also makes
clear that the requirements set forth in Sec.  1915.93 do not apply to
the operation of motor vehicles on public streets and highways. This
provision was carried over from the proposal to the final rule with no
change. OSHA did not receive any comments on this proposed provision.
    OSHA believes that Federal, State, and local laws and regulations,
such as safety belt and vehicle inspection laws, already provide
adequate protection on public roads. Thus, this section is directed to
conditions where those laws and regulations may not apply to motor
vehicles used in shipyard employment (for example, on shipyard property
when transporting employees between work areas or worksites, or when
moving materials or property). Nonetheless, OSHA believes the rule's
benefits will extend beyond motor vehicle operation at shipyard
worksites by fostering good safety, driving, and vehicle-maintenance
habits. For example, OSHA believes that an employee who is required by
an employer to wear a safety belt while riding in a motor vehicle on
shipyard property is more likely to continue to wear it when the vehicle
leaves the shipyard, even if the employee leaves the shipyard in a private
motor vehicle. Likewise, a motor vehicle that is maintained in safe
operating condition for use in shipyard employment will also be safe when
it is used on public roads.
    Paragraph (a)(2), which is carried over unchanged from the
proposal, limits most of the requirements of this section to motor
vehicles the employer provides. However, because some employers allow
employees to use their own motor vehicles to transport themselves,
other employees, and materials within the shipyard, paragraph (a)(2)
specifies that three provisions in this section also apply to motor
vehicles that employees provide. Those provisions are the requirements
that each worker riding in a motor vehicle use safety belts (Sec.
1915.93(b)(2)), that motor vehicles have seats for each employee being
transported (Sec.  1915.93(b)(4)), and that tools and materials
transported by motor vehicles be firmly secured (Sec.  1915.93(c)(2)).
OSHA did not receive any comments on proposed paragraph (a)(2).
    OSHA concludes that these safety provisions are necessary to
protect workers using or riding in motor vehicles during shipyard
employment. The requirements ensure that employers are providing their
workers with safe and serviceable motor vehicles. In addition, this
section enhances the safety of workers using their own vehicles on the
job by requiring employers to ensure safe driving practices while those
employees are on shipyard property.
    Paragraph (a)(3) specifies that the motor vehicle safety equipment
requirements in paragraph (b)(1) through (b)(3) apply to the operation
of powered industrial trucks (for example, forklifts) in shipyards.
Employers must ensure that powered industrial trucks used in shipyard
employment be equipped with safety belts (paragraph (b)(1)); that
employees use safety belts while operating powered industrial trucks
(paragraph (b)(2)); and that safety equipment is not removed from
powered industrial trucks (paragraph (b)(3)). In addition, employers
must replace safety equipment that is removed from any powered
industrial truck (paragraph (b)(3)). OSHA did not receive any comments
on proposed paragraph (a)(3).
    The provisions in paragraph (b)(1) through (b)(3) supplement
requirements in the general industry standard on powered industrial
trucks (29 CFR 1910.178) that are applicable to shipyard employment
through 29 CFR 1910.5(c)(2). Section 1910.178 does not require powered
industrial trucks to be equipped with safety belts. Much of the general
industry standard was promulgated pursuant to section 6(a) of the OSH
Act (29 U.S.C. 655(a)), which permitted OSHA in the first two years
after the effective date of the OSH Act (April 28, 1971) to adopt as
OSHA standards any established Federal occupational safety and health
standards or national consensus standards. The OSHA powered industrial
truck standard was drawn from the ANSI standard on low-lift and high-
lift trucks in effect at the time (ANSI B56.1-1969). The 1969 ANSI
standard did not have a safety belt requirement, but when the ANSI
standard was revised in 1993, provisions were added to it requiring
that powered industrial trucks manufactured after 1992 be equipped with
safety belts, and also requiring that operators use them. The current
ANSI/ASME standard has the same requirements. Although the general
industry standard has not been updated to include safety belt
requirements, OSHA, when issuing its 5(a)(1) enforcement policy, said
that the provisions in ANSI/ASME B56.1-1992 demonstrate "recognition
of the hazard of powered industrial truck tipover and the need for the
use of an operator restraint system" (Ex. 25, Memorandum dated October
9, 1996, to Regional Administrators from John Miles). Paragraph (a)(3)
codifies OSHA's enforcement policy. OSHA believes that applying
paragraphs (b)(1) through (b)(3) to powered industrial trucks used in
shipyard employment supplements applicable general industry
requirements with important protection for workers.
    Paragraph (a)(3) indicates that the seating requirements in
paragraph (b)(4) do not apply to powered industrial trucks since some
powered industrial trucks are manufactured to operate in a standing
position and are not equipped with seats. In addition, paragraph (m)(3)
of Sec.  1910.178 already requires that a safe place to ride be
provided in situations in which riding is permitted.
    Paragraph (a)(3) also makes clear that employers must continue to
comply with the maintenance, inspection, operation, and training
requirements for powered industrial trucks in Sec.  1910.178;
therefore, the motor vehicle operation and maintenance requirements in
this section do not apply to powered industrial trucks. The
requirements in Sec.  1910.178 are more comprehensive and provide more
specific protection to employees using powered industrial trucks than
the more general motor vehicle operation and maintenance requirements
described in Sec.  1915.93 (see 29 CFR 1910.5(c)(1)).
Paragraph (b)--Motor Vehicle Safety Equipment
    Paragraph (b) of the final rule requires employers to ensure that
motor vehicles used in shipyard employment are equipped with motor
vehicle safety equipment and that the safety equipment is used while
motor vehicles are operated.
    Paragraph (b)(1), which is identical to the proposed rule, requires
that employers ensure that each motor vehicle acquired by the employer
or put in service for the first time after the final rule becomes
effective is equipped with a safety belt for each employee operating or
riding in the vehicle. It is well documented that safety belts reduce
the risk of injury and death; therefore, OSHA believes this requirement
is necessary and appropriate (Exs. 12; 14, p. 61; 15, p. 6; 16; 17; 18;
21; 28). There have been injuries and fatalities in shipyard employment
and in other industries resulting from not using safety belts while
operating or riding in motor vehicles, including powered industrial
trucks and other off-road vehicles (Ex. 19). Recognition of the hazards
of operating motor vehicles without safety belts is also shown by the
national consensus standards that require motor vehicles to be equipped
with operator restraints, and that specify that operators and
passengers use them (Ex. 38 at Ex. 3-13, SAE J386--1997, Operator
Restraint Systems for Off-Road Work Machines, and Ex. 3-10, ANSI/ASME
B56.1-2000, Safety Standard For Low Lift and High Lift Trucks).
Requiring the use of safety belts makes this section consistent with
those standards.
    Paragraph (b)(1) limits the application of this requirement to
motor vehicles acquired or put into initial service by the employer
after the final rule becomes effective. Although OSHA believes that the
vast majority of motor vehicles acquired or put into initial service
after the effective date of the final rule will be new vehicles
manufactured with safety belts, paragraph (b)(1) also requires that any
used motor vehicle that an employer acquires and uses for the first
time after the effective date also must have safety belts. Uniformly
applying this section to all motor vehicles acquired or used for the
first time after the effective date ensures that employees operating
these vehicles will have full protection regardless of which motor vehicle
they operate or ride in.
    Several stakeholders said they already require the use of safety
belts in motor vehicles, including powered industrial trucks used in
shipyard employment at their facilities. Northrop Grumman Shipbuilding-
Newport News stated: "Seatbelts are required and worn when operating
forklifts and other mobile equipment" (Exs. 116.2; 120.1). Todd
Pacific Shipyards Corporation testified that it requires workers to use
safety belts when operating forklifts and battery-powered carts at its
facility (Ex. 198, pp. 53-54). Additionally, Trident Seafoods
Corporation commented that workers who operate forklifts must wear
seatbelts. Trident's enforcement policies are described as:

    We have a progressive system in place there that our shipyard
competent person at our facility and manager, and any manager at
that facility is encouraged to support, [and] that [is] if you see
someone not wearing a seatbelt, we have a chit system where we write
them up and put [the write-ups] in their files (Ex. 198 p. 135).

    OSHA believes that the record supports including the safety belt
requirement in the final rule, and that employers will not have any
difficulty meeting these provisions. Therefore, the Agency believes the
requirements set forth in paragraph (b)(1) are necessary and will
prevent workers from being injured or killed if they are in a motor
vehicle accident while working.
    Paragraph (b)(1) includes an exception to the safety belt
requirement for those motor vehicles not originally manufactured with
them (for example, buses). This exception relieves employers of the
burden of retrofitting those motor vehicles, already in service, that
were not originally manufactured with safety belts. However, if safety
belts have been removed from any motor vehicle manufactured with them,
the employer must replace the safety belts or remove the motor vehicle
from service.
    Paragraph (b)(2) of the final rule is a companion to (b)(1).
Identical to the proposed rule, it requires the employer to ensure that
employees use safety belts at all times while operating or riding in a
motor vehicle. As mentioned above, motor vehicle accidents are a
significant cause of employee injury and death, and safety belts have
been shown to reduce that risk. OSHA notes that the requirement in
paragraph (b)(2) applies to all motor vehicles used at shipyards,
including powered industrial trucks and motor vehicles that workers
provide. Forklift trucks, for example, are particularly susceptible to
tipovers if they are operated on uneven ground, sand, or railways; hit
potholes; turn corners sharply; or strike objects with their mast.
These conditions are often found in shipyards. In many forklift tipover
accidents, operators have been injured or killed because they were
thrown from the forklift, or were struck or crushed by the forklift
when they tried to jump free. In 2001, BLS reported that, across
private industry, 35 of 123 forklift fatalities (28 percent) involved
tipovers or falling from a moving forklift. In contrast, in many cases
when forklift operators were wearing safety belts, the injuries were
more limited. In one tipping accident, an OSHA inspector noted that the
operator was wearing a safety belt, and the injuries were limited to
four fingers on one hand (Ex. 69).
    In the preamble for the proposed rule, OSHA requested comment on
concerns that some forklift operators have raised about using safety
belts when operating the trucks near water (72 FR 72500-72501, Dec. 20,
2007). Northrop Grumman Shipbuilding-Newport News said it was not aware
of such concerns, and requires the use of safety belts when operating
forklifts (Exs. 116.2; 120.1). Similarly, other stakeholders who
commented on this section said they require the use of safety belts
when operating powered industrial trucks (Exs. 135; 198, pp. 53-54).
Accordingly, OSHA is specifying in this final rule that the
requirements in paragraph (b)(2) apply whenever powered industrial
trucks are used in shipyard employment.
    Paragraph (b)(2) also requires the employer to ensure that
employees wear safety belts securely and tightly fastened at all times
while operating or riding in motor vehicles. The proposed rule
contained an identical requirement. OSHA believes this language is
necessary because, if the safety belt is not properly fastened, it may
not hold or restrain the employee within the motor vehicle compartment
in the event of an accident or tipover.
    As stated above, the safety belt requirement applies to both
employer- and employee-provided motor vehicles used to transport
employees, materials, or property on shipyard premises. The risk of
injury exists regardless of whether employees operate or ride in
employer- or employee-provided motor vehicles on shipyard property.
Applying this provision to all motor vehicles used in shipyard
employment will ensure that employees have full and uniform protection
any time they are in a motor vehicle during shipyard employment. OSHA
did not receive any comments opposing paragraph (b)(2).
    Paragraph (b)(3), which is identical to the proposal, requires
employers to ensure that motor vehicle safety equipment is not removed
from employer-provided vehicles and, if such equipment is removed, the
employer must replace it. For purposes of this paragraph, motor vehicle
safety equipment is defined in Sec.  1915.80(b) to include items such
as safety belts, airbags, headlights, tail lights, emergency/hazard
lights, windshield wipers, defogging or defrosting devices, brakes,
mirrors, horns, windshields and other windows, and locks. This
provision must be read in conjunction with paragraph (c)(1), discussed
below, which requires that employers equip motor vehicles with safety
equipment that is in serviceable and safe operating condition. OSHA did
not receive any comments on proposed paragraph (b)(3).
    Paragraph (b)(4) requires that motor vehicles used to transport
employees have a firmly secured seat for each employee being
transported. It also requires the employer to ensure that employees use
the seat when they are being transported. OSHA is aware that some
shipyards transport employees from one worksite to another in the back
of pickup trucks that are not equipped with seats. For example,
Northrop Grumman Shipbuilding-Newport News stated:

    Employees are permitted to ride seated in the bed of pickups, in
addition [to] riding in passenger vehicle seats. We enforce a
maximum speed limit of 15 mph in the shipyard. We prefer to continue
this practice within our shipyard. There have been no accidents or
injuries associated with this practice in the history of the
shipyard (Exs. 116.2, 120.1).

However, other stakeholders recognized that transporting workers in
open areas of motor vehicles without appropriate seating poses a risk
of injury or death. For instance, Bath Iron Works testified: "We don't
allow anybody riding in the back of pickups" (Ex. 168, p. 297). The
Agency believes that the practice of allowing employees to ride in the
back of pickup trucks places employees at risk of injury from falling
out of or being thrown from the vehicle, even at low speeds. In 2001,
for instance, a construction employee riding in the back of a pick-up
while placing cones on a highway fell out and was killed even though
the truck was traveling only 10 to 15 mph, which is the speed limit in
many shipyards that have established speed limits.

    OSHA believes that ensuring that employers use motor vehicles
equipped with safe seating to transport workers in shipyards will
protect them from possible injury or death. Thus, employers need to
ensure that motor vehicles used to move employees throughout the
shipyard have seats for each employee transported, and to prohibit
motor vehicles that do not have such seating from being used to transport
employees. As mentioned earlier, OSHA is applying this provision to
employee-provided motor vehicles, as well as employer-provided motor
vehicles. This requirement will ensure that every vehicle transporting
employees in shipyards provides the same protection to employees.
    Paragraph (b)(4), as in the proposal, also requires that the
seating be firmly secured. Portable seating that is not firmly attached
to the motor vehicle would not be permitted as a means to comply with
this provision. OSHA believes that employers should not have problems
complying with this provision since several shipyard employers already
use vans and automobiles that have firmly secured seats to transport
employees (Exs. 168, p. 328; 198, pp. 17-18).
Paragraph (c)--Motor Vehicle Maintenance and Operation
    Paragraph (c) covers requirements for the maintenance and operation
of motor vehicles used in shipyard employment.
    Paragraph (c)(1), which is identical to the proposal, requires
employers to ensure that each vehicle is maintained in a "serviceable
and safe operating condition." Safe operating condition refers to the
condition of equipment that directly affects the safe operation of the
vehicle. For example, motor vehicle safety equipment, which is defined
in Sec.  1915.80(b) to include items such as safety belts, airbags,
headlights, tail lights, emergency/hazard lights, windshield wipers,
defogging or defrosting devices, brakes, mirrors, horns, windshields
and other windows, and locks must be in safe working order. The term
"serviceable condition" is defined as the state or ability of a
vehicle to operate as prescribed by the manufacturer. Accordingly,
motor vehicles maintained and operated in accordance with
manufacturers' instructions and recommendations are considered to be in
compliance with this provision.
    Paragraph (c)(1) also requires that motor vehicles be removed from
service if they are not in a serviceable and safe operating condition.
The motor vehicle may not be used for shipyard employment until the
problem is resolved or the damage repaired. OSHA does not believe
employers will have difficulty complying with this provision. In this
regard, the Shipbuilders Council of America commented that motor
vehicles used by shipbuilders "are frequently inspected by in-house
Maintenance departments to ensure all functions of the vehicles are
working properly" (Exs. 202.1; see also 116.2; 120.1).
    OSHA believes that properly functioning and maintained safety
equipment in motor vehicles is essential to protect all workers who may
come in contact with the vehicle. A vehicle that is not maintained in a
serviceable and safe operating condition presents a danger to
operators, passengers, bicyclists, and pedestrians. Therefore, the
requirements of paragraph (c)(1) will protect employees from injury or
death in shipyard-employment workplaces.
    Paragraph (c)(2) requires that tools or equipment being transported
in a motor vehicle, whether employer- or employee-provided, must be
secured to prevent unsafe movement of the tools or equipment that could
endanger employees. This provision will help to reduce the risk of
injury due to heavy or sharp tools or equipment sliding into or hitting
operators or passengers. It will also prevent tools and materials from
falling or being thrown from a motor vehicle and striking workers who
may be in the area. No comments were received on this paragraph. OSHA
has included paragraph (c)(2) into the final standard with no change
from the proposal.
    Paragraph (c)(3) addresses hazards associated with intermingling
pedestrian, bicycle, and motor vehicle traffic in shipyard employment.
When pedestrians, bicyclists, and motor vehicles share shipyard
roadways, collisions may occur if motor vehicle operators do not see
pedestrians or bicyclists in time to avoid hitting them. Depending on
the size and configuration of the shipyard employment work areas or
worksites, there may be a significant mixture of motor vehicle,
bicycle, and pedestrian traffic. Narrow or unmarked roads between work
areas and worksites are likely to increase the risk of collision.
    Many employers provide bicycles or allow employees to use their own
to get from one work location to another (Exs. 116.2; 120.1; 168, p.
296). As the use of bicycles has grown, so too have reports of
collisions. For example, an employee riding a bicycle to perform
regularly assigned work tasks in a Mississippi shipyard was killed when
he collided with a motor vehicle (Ex. 11). With the intermingling of
traffic in shipyards, OSHA believes it is important to ensure that
employees riding bicycles and walking can be seen by motor vehicle
operators so they will not be injured or killed.
    Paragraph (c)(3), as proposed, required that employers implement
measures to ensure that motor vehicle operators can see and avoid
hitting pedestrians and bicyclists traveling in shipyards. The proposal
identified examples of some measures that employers may implement to
comply with the requirement. Proposed paragraphs (c)(3)(i) through
(c)(3)(vi) identified the following examples that employers might use
to protect pedestrians and bicyclists: Establishing dedicated travel
lanes for motor vehicles, bicyclists, and pedestrians; installing
crosswalks and traffic control devices such as stop signs or physical
barriers; establishing speed limits and "no drive" times; providing
reflective vests or similar gear to pedestrians and bicyclists; and
ensuring that bicycles have equipment, such as reflectors and lights,
to maximize visibility.
    Many stakeholders said that they have already implemented a number
of these measures. In addition, several stakeholders recommended that
OSHA include additional measures in the final rule. Although the
measures in proposed paragraph (c)(3) were not a complete listing of
examples, some stakeholders believed that adding additional examples
would give employers greater flexibility in protecting pedestrians and
bicyclists. For example Electric Boat stated:

    Electric Boat agrees that pedestrian safety should be addressed
in the final rule; however a performance-based regulation should be
established due to the wide range of motor vehicles used in the
facility and the site configuration. A combination of training,
procedures, barriers, and signage should be allowed to meet the goal
of pedestrian safety (Ex. 108.2).

The Shipbuilders Council of America commented:

    Shipyards are dynamic environments, and it is not uncommon for
employees to be in roadways and vehicles to be in 'walkways.' SCA
recommends some flexibility with shipyard specific operational
controls, such as 'right of way' rules, to ensure the safety of
employees (Ex. 114.1).

General Dynamics NASSCO added:

    Shipyards are dynamic environments, and it is not uncommon for
employees to be in roadways and vehicles to be in walkways. Rather
than requiring an unattainable standard, some flexibility is
recommended with shipyard specific operational controls to augment
engineering controls to ensure the safety of employees. NASSCO would
offer the following language[:]
    Establishing dedicated travel lanes or "right of way" rules
for motor vehicles, bicyclists, and pedestrians [Emphasis in
original](Ex. 119.1).

In addition, ASA provided several additional examples of effective ways
to protect pedestrians and bicyclists:

    Some of our facilities have crosswalks at high volume crossing
points and walkways in some areas. However, due to the age of some
facilities many buildings border roadways, and there is little or no
room for separate pedestrian paths. Rigorous control of speed, use
of mirrors at blind spots, operator training, and general awareness
training are the primary means used to minimize the risk of
pedestrian and vehicular collisions. These measures have proved
effective over many years of experience (Ex. 204.1).

    Further, Northrop Grumman Shipbuilding-Newport News and Bath Iron
Works said that they have established speed limits for all motor
vehicles, and "no drive" times to allow for the safe movement of
pedestrians (Exs. 116.2; 120.1; 168, pp. 294-295). Northrop Grumman
said: "We have a speed limit of 15 mph, reduced to 10 mph in certain
areas of the shipyard" (Exs. 116.2; 120.1). They also testified:

    [A]t shift change, and at lunch, we have no drive periods that
are 10 minutes around the beginning of the shift, lunch, and then
the end of the shift that all vehicular traffic stops so as to allow
pedestrians time * * * to transit, to come and go from the yard.
Also, around lunchtime so if * * * they are moving throughout that
yard to get a sandwich or something, they can do so and minimize the
risk (Ex. 168, pp. 294-295).

    OSHA agrees that implementation of the measures provided by the
stakeholders will control the hazards associated with motor vehicles,
bicyclists, and pedestrians sharing accessways in the shipyard.
Therefore, the Agency included these measures in final paragraphs
(c)(3). Specifically, paragraph (c)(3)(ii) adds mirrors at blind
intersections to the examples of traffic-control devices. Establishing
speed limits for motor vehicles and "no drive" times are included in
paragraphs (c)(3)(iii) and (c)(3)(iv), respectively. That said, OSHA
stresses that the list of measures in the final rule that employers may
use to protect pedestrians and bicyclists is not exhaustive. Thus, new
paragraph (c)(3)(vii) states that employers may also use other
effective measures to protect pedestrians and bicyclists from being
injured by motor vehicles, as long as the employer can demonstrate that
those measures are as effective as the ones specified in paragraphs
(c)(3)(i) through (vi).
    In addition to these new measures, OSHA is including in the final
rule all of the measures mentioned above that were proposed in
paragraph (c)(3). OSHA believes employers should not have difficulty
implementing these measures since employers already are using similar
measures and have found them to be effective.
    The International Safety Equipment Association recommended that
OSHA require that high-visibility safety apparel comply with "ANSI/
ISEA 107-2004, American National Standard for High Visibility Safety
Apparel and Headwear" (Ex. 113.1). OSHA decided to retain a
performance-based approach for the examples of safety measures included
in paragraph (c)(3) of the final rule. Whether employers elect to use
reflective vests or other apparel, they must ensure that motor vehicle
operators are able to see and avoid pedestrians and bicyclists. This
performance-based approach also means that employers may need to
implement more than one type of safety measure to ensure that the
required performance is met.

Section 1915.94--Servicing Multi-Piece and Single-Piece Rim Wheels

    Section 1915.94 of the final rule, like the proposal, incorporates
the general industry standard and non-mandatory appendices on servicing
multi-piece and single-piece rim wheels, 29 CFR 1910.177. The standard
applies to servicing multi-piece and single-piece rim wheels on large
vehicles such as trucks, tractors, trailers, buses, and off-road
machines, all of which are used in shipyard employment. The standard
does not apply to servicing rim wheels on automobiles, or on pick-up
trucks or vans using either automobile or "LT" (light truck) tires
(see Sec.  1910.177(a)(1)). Also, the standard establishes requirements
for the following four major areas: (1) Training for all tire-servicing
employees (Sec.  1910.177(c)); (2) the use of proper equipment such as
clip-on chucks, restraining devices, or barriers to retain the wheel
components in the event of an incident during the inflation of tires
(Sec.  1910.177(d)); (3) the use of compatible components (Sec.
1910.177(e)); and (4) the use of safe operating procedures for
servicing multi-piece and single-piece rim wheels (Sec. Sec.
1910.177(f) and (g)).
    The general industry standard exempted shipyard employment.
However, OSHA understands that shipyards use many large motor vehicles,
and was concerned that workers could be injured or killed if shipyards
were servicing the tires on those vehicles. Northrop Grumman
Shipbuilding-Newport News commented that it services multi-piece and
single-piece rim wheels, and added that it already follows the
requirements set forth in the general industry standard (Exs. 116.2;
120.1). Northrop Grumman's practice supports what OSHA noted in the
preamble to the proposed provision: shipyards that service the tires on
their vehicles are likely to be aware of and follow the safety
provisions in Sec.  1910.177. As such, OSHA believes that applying the
general industry standard to shipyards should not pose a problem for
shipyard employers.
    To avoid confusion, OSHA also amended Sec.  1910.177 to remove the
shipyard-employment exemption.

Deletions

    OSHA proposed to not include in revised subpart F the following
provisions that are currently applicable to shipyard employment. The
hazards and working conditions these provisions address are not present
in the shipyard industry.
    Section 1910.141(f)--OSHA proposed not to retain the existing
requirement to provide facilities to dry work clothing (for example,
protective clothing) before it is worn again. Information from site
visits and industry meetings indicates that the provision may not be
necessary because shipyards almost exclusively provide disposable
protective clothing. OSHA requested comments or information about
whether this provision was still needed in the shipyard industry. No
comments were received on this provision; therefore, it will be deleted
from 29 CFR part 1910.
    Section 1910.141(h)--OSHA proposed not to retain the existing
requirements addressing food handling. OSHA believes that existing
State and local health codes provide adequate protection for the
hazards this section intended to address. OSHA requested comments as to
whether this provision was still needed. No comments were received on
this provision; therefore, it will be deleted from 29 CFR 1910.
    Section 1915.97(a)--OSHA proposed not to retain the existing
requirement on controls and personal protective equipment (PPE). This
provision was adopted 30 years ago, prior to promulgation of standards
addressing specific hazards and the PPE requirements in subpart I of
part 1915. Those standards identify and require the controls and PPE
this section addresses. No comments were received on this provision;
therefore, it will be deleted from 29 CFR part 1915.
    Section 1915.97(e)--OSHA proposed to delete the existing
prohibition that minors under 18 years of age not be employed in
shipbreaking or related employments. This prohibition is the only OSHA
rule that regulates the working activities allowed for youth employees
and is duplicative of OSHA's sister agency in the Department of Labor,
the Employment Standards Administration (ESA) order 15 of the Part 570
subpart E, which prohibits minors from working in all occupations in
wrecking, demolition, and shipbreaking operations. These operations are
defined as "all work, including clean-up and salvage work, performed at
the site of the total or partial razing, demolishing, or dismantling of
a building, bridge, steeple, tower, chimney, other structure, ship or
other vessel" (Sec.  570.66).
    In addition to regulations set by ESA, States also have numerous
rules regulating work conditions for youth employees. OSHA asked for
comments on the provisions of this section as to the extent to which
youth employees are working in the shipyard industries, what
occupations they work in, data on work-related injuries and illnesses
occurring to youth employees, and whether the Sec.  1915.97(e)
prohibition was needed to protect youth employees. No comments were
received on this provision. However, after further reexamination by the
Agency, OSHA believes it worthwhile to retain this provision to ensure
that the regulations set by ESA are widely understood and followed.
Therefore, the provision in Sec.  1915.97(e) will be retained in the
final standard with no change.

IV. Final Economic Analysis and Regulatory Flexibility Act Analysis

A. Introduction

    The OSH Act requires OSHA to demonstrate the technological and
economic feasibility of its rules. Executive Order (EO) 12866 and the
Regulatory Flexibility Act (RFA), as amended in 1996 (5 U.S.C. 601 et
seq.), require Federal agencies to analyze the costs, benefits, and
other consequences and impacts, including small business impacts, of
their rules. Consistent with these requirements, OSHA prepared a Final
Economic Analysis (FEA) and RFA analysis for the final rule.
    OSHA determined that this rule is not an economically "significant
regulatory action" under EO 12866 or the Unfunded Mandates Reform Act
of 1995 (UMRA) (2 U.S.C. 1532(a)), or a "major rule" under the
Congressional Review Act (CRA) (5 U.S.C. 804(2)). Although some
stakeholders said the final rule would "exceed by far the $100 million
threshold" that triggers additional scrutiny under the EO and UMRA
(Ex. 168.1), OSHA's analysis estimates that the final rule imposes far
less than $100 million in annual costs on the economy and does not meet
any other criteria specified for a significant regulatory action or
major rule under the EO, UMRA, or CRA.
    The purpose of this analysis is to identify the establishments and
industries that the final rule affects; evaluate its costs, benefits,
and economic impacts; and assess the technological and economic
feasibility of the rule for the affected industries. In accordance with
the RFA, this analysis identifies and estimates the impacts of the rule
on small businesses, using the Small Business Administration's (SBA's)
industry-specific definitions of small businesses, plus an alternate
definition of small businesses developed by OSHA. Also, OSHA assessed
the impacts of the rule on very small businesses (those with fewer than
20 employees). Based on this analysis, OSHA determined that the final
rule will not have a significant economic impact on a substantial
number of small entities.
    This final rule updates current requirements to reflect advances in
industry practices and technology, consolidates and streamlines some
existing safety and health requirements into single sections, and
provides protection from hazards not addressed by existing standards,
including requirements regarding cardiopulmonary resuscitation (CPR)
training for first aid providers, the control of hazardous energy,
servicing single- and multi-piece rim wheels, and motor-vehicle safety.
The costs and benefits of the final rule are driven by the new
requirements. OSHA believes the new provisions will reduce the risk of
injury and death, and increase the survivability of employees if a
serious accident or injury occurs. OSHA believes that the benefits of
the final rule will have a positive impact on affected employers and
employees, and increase awareness of employee safety and health in the
workplace.
    The justification for imposing appropriate occupational safety and
health standards, and for adopting these changes into the standard for
general working conditions in shipyard employment in particular, is
that, without these requirements, fatality and injury risks to
employees would remain unacceptably high. Workplace risks and resulting
injuries and costs would be too high from a moral- and social-
preference perspective. In addition, risks would be too high in terms
of imposing large net costs (both pecuniary and non-pecuniary) on
society, producing an inefficient allocation of resources, and reducing
overall social welfare. By passing the Occupational Safety and Health
Act, Congress demonstrated that it believes that workplace risks are
too high and that government intervention is needed to achieve a
morally and socially optimal level of workplace safety and health.
    Market failure is a term used by economists to describe when the
allocation of goods and services by a market is not efficient, in the
sense that it is possible for at least one person to be made better off
without making anyone else worse off (termed "Pareto efficiency").
One common cause of market failure is that the person responsible for a
decision does not bear the full costs or consequences of that decision.
When this situation occurs, the person responsible for the decision
will not fully consider all of the costs involved, and, as a result,
may arrive at an inappropriate decision. In the case of occupational
injuries, the employer has the primary decision-making responsibility,
and does not bear the full costs of occupational injuries. As a result,
employers tend to allocate fewer resources to occupational safety and
health than would be efficient if all costs of occupational injuries
and illnesses were considered.
    Who bears the costs of an employee injury or illness, which include
loss of income, medical care costs, the non-monetary burdens the injury
or illness imposes, and other outcomes? Some of these costs,
particularly medical costs and a portion of income loss, are paid for
through workers' compensation. While some employers self insure, and
pay the workers' compensation costs directly, the overwhelming majority
of employers purchase (and are required to purchase) workers'
compensation insurance. Thus, in most cases, employers do not directly
pay for workers' compensation to the injured worker. The remainder of
the costs of the injury or illness is normally borne by the employee,
though some of the costs may be borne by the government in the form of
welfare. In almost all states, workers' compensation is an exclusive
remedy, meaning that an employee may not sue his employer for a work-
related injury.
    In principle, both employees and insurers could contract with
employers for payment in advance for the risks incurred. Insurers
charge premiums for their insurance. Workers could, in theory, demand
increased pay for increased risk. In this situation, there is not an
externality, which is defined as damage to an outside party who is not
party to a market agreement. There are, however, several informational
and institutional problems that prevent an ideal set of payments for
risks incurred.
    The first requirement for reasonable evaluation of risk in
transfers of risk between parties is that the risk be known. Further, for
the estimate of risk to affect the behavior of employers, it is necessary
that employees and insurers be able to differentiate the risk among
different employers, not just be able to assess the risk across all
employers in an industry. When accidents are relatively rare, simply
looking at the past record will not provide much useful information
concerning relative risk among employers. The employers themselves may
be equally uncertain about the risks associated with their practices.
    Even if such information on past performance were available, there
is no guarantee that future performance will be identical to past
performance. Different management, or even the same management with
different objectives, financial performance, or schedule, may act
differently than they have in the past. Further, once the risk has been
transferred by contract to employees and insurers, the employer has
reduced incentives to maintain a low level of risk. This phenomenon is
a constant problem in insurance, where it is known as a moral hazard--
the tendency of the insured to act with less care as a result of having
insurance. In addition, workers' compensation insurance uses, and in
most states is required by law to use, a class rating system. Class
rating bases the premium on the risk experiences for all persons with
similar occupations to those the firm employs. This information is
sometimes combined with the actual experience of the firm in the past
three years. For very small firms, this means that, in practice, the
individual firm's record has no impact on their insurance premium. Even
quite large firms pay, through insurance premium increases, less than
the full costs of accidents. Further, the use of class rating makes it
difficult for insurers to make use of information from monitoring and
inspection of safety practices, even if they had such information.
    Employees also have problems obtaining and using this information.
First, employees may simply be unacquainted with safe. Second,
information on safety is commonly not available before taking a job.
Third, wages are sometimes determined by industry contracts, with no
room for added risk premiums for individual employers. Finally, there
are significant costs in many cases to leaving a job, which means that
even if the employee realizes a job is less safe than some other
available jobs, the employee may be reluctant to leave the job.
    In summary, the market failure in workplace safety is that
employers commonly transfer the costs of job safety to other parties,
which, in combination of informational and institutional constraints,
prevents the costs of the transfer from actually reflecting the risk to
the individual employer; instead, employers pay to transfer the risk at
a cost closer to the average costs for the occupation rather than their
own costs reflecting their own risks. As a result, employers do not pay
the full costs if they have above-average risks or poor safety
practices. Under these circumstances, the need for regulation is
established by the significant risk present in shipyard employment.

Table for Net Benefits and Cost Effectiveness of the Final General Working Conditions in Shipyards Standard

Provisions in the Standard Without Major Cost Impacts
    There are several provisions in the final rule that the Agency
estimates will not impose additional compliance costs on employers.
Table 4 identifies these provisions and the reasons supporting OSHA's
determination. These determinations were presented as part of the PEA,
and OSHA solicited comment on the issues. No objections were raised
except where noted.

   Table 4--Revisions and New Requirements With No Major Cost Impacts
------------------------------------------------------------------------
    Subpart F revisions and new
            requirements                        OSHA analysis
------------------------------------------------------------------------
Sec.   1915.81 Housekeeping          The revisions to the existing
Sec.   1915.81(a)(2)(i) and (ii)      housekeeping requirements (Sec.
(a)(2) The employer must eliminate    1915.91, Sec.   1910.22, Sec.
 slippery conditions, such as snow    1910.141) simply consolidate,
 and ice, on walkways and working     streamline, and clarify existing
 surfaces as necessary. If it is      provisions. They do not impose new
 not practicable for the employer     obligations or costs. To the
 to remove slippery conditions, the   extent that the employer must
 employer either must: (i) Restrict   provide and pay for protective
 employees to designated walkways     footgear for wet processes, the
 and working surfaces where the       rulemaking on PPE payment already
 employer has eliminated slippery     has figured those costs.
 conditions; or
(ii) Provide slip-resistant
 footwear in accordance with 29 CFR
 part 1915, subpart I.
Sec.   1915.82 Lighting              The standard adopts and adapts the
Sec.   1915.82(a)(1), (a)(2), and     illumination intensities in Table
 (a)(3)                               F-1 from the Hazardous Waste
(a)(1) The employer must ensure       Operations (Sec.   1910.120) and
 that each work area and walkway is   construction (Sec.   1926.56)
 adequately lighted whenever an       standards, as well as national
 employee is present.                 consensus standards that have been
(a)(2) For landside areas, the        in effect for more than 40 years.
 employer must provide illumination   The lighting levels in Table F-1
 that meets the levels set forth in   are minimum requirements, and OSHA
 Table F-1.                           believes that lighting levels in
(a)(3) For vessels and vessel         shipyards already meets or exceeds
 sections, the employer must          these levels. The final rule
 provide illumination that meets      differs in paragraph (a)(3) from
 the levels set forth in Table F-1    the proposal by allowing employers
 or meet ANSI/IESNA RP-7-01           to either meet the illumination
 (incorporated by reference, see      levels in Table F-1 or ANSI/IESNA
 1915.5).                             RP-7-01 for vessels and vessel
                                      sections. Therefore, with the
                                      flexibility OSHA provided to
                                      employers, the Agency estimates
                                      the rule should not impose new
                                      costs.
Sec.   1915.82(b)(1)                 The provision is similar to
The employer must ensure that         existing Sec.   1915.92(b)(1),
 temporary lights with bulbs that     which requires guarding if bulbs
 are not "completely" recessed      in temporary lights are not
 are equipped with guards to          "deeply" recessed. OSHA assumes
 prevent accidental contact with      that shipyards already equip
 the bulb.                            lights with guards when the bulb
                                      is not fully recessed; therefore,
                                      the rule should not impose new
                                      costs.
Sec.   1915.82(b)(2)                 The standard is similar to the
Temporary lights must be equipped     existing requirement to use
 with electric cords designed with    "heavy duty" electric cords with
 sufficient capacity to carry the     temporary lights (Sec.
 electric load.                       1915.92(b)(2)). The rule simply
                                      provides employers with greater
                                      flexibility in meeting the
                                      existing requirement. Thus, the
                                      standard should not impose new
                                      costs.
Sec.   1915.82(b)(7)                 The existing provision requires
Splices on temporary lights must      that splices on temporary lights
 have insulation with a capacity      have insulation that is "equal"
 that "exceeds" that of the         to that of the cable (Sec.
 original insulation of the cord.     1915.92(b)(2)). Although OSHA is
                                      requiring that the insulation
                                      capacity "exceed" that of the
                                      original insulation of the cord,
                                      in this final rule, there should
                                      be no new costs associated with
                                      this change.
Sec.   1915.82(c)(1)                 The existing provision prohibits
In any dark area that does not have   employees from entering dark
 permanent or temporary lights,       spaces without a portable light
 where lights are not working, or     (Sec.   1915.92(e)). Due to
 where lights are not readily         comments received and testimony
 accessible, the employer shall       heard, OSHA modified the final
 provide portable or emergency        provision to allow employers to
 lights and ensure that employees     provide portable or emergency
 do not enter those areas without     lights in any dark area that
 such lights.                         doesn't have permanent or
                                      temporary lighting. OSHA believes
                                      that employers already provide, at
                                      a minimum, portable lights to
                                      employees in such instances. In
                                      addition, allowing emergency
                                      lights, such as a generator linked
                                      with a lighting system, affords
                                      employers the option to determine
                                      which type of backup lighting is
                                      best. Therefore, the standard
                                      should not impose new costs.
Sec.   1915.82(c)(2)                 The standard clarifies the existing
When the only means of illumination   requirement to provide portable
 on a vessel or vessel section are    lighting and adds the use of
 from lighting sources that are not   emergency lights for "safe
 part of the vessel or vessel         movement of employees" to ensure
 section, the employer must provide   that work areas have adequate
 portable or emergency lights for     lighting. OSHA estimates that
 the safe movement of each            employers provide work areas with
 employee. If natural sunlight        portable or emergency lighting
 provides sufficient illumination,    while employees are working or
 portable or emergency lights are     moving in areas where there is no
 not required.                        onboard lighting source.
                                      Therefore, the rule should not
                                      impose new costs.
Sec.   1915.83 Utilities             The provision deletes the existing
Sec.   1915.83(a)                     requirement to have the pressure
The employer must ensure that the     check performed by a "responsible
 vessel's steam piping system,        vessel's representative" (Sec.
 including hoses, is designed to      1915.93(a)(1)). Instead, the
 safely handle the working pressure   employer may determine this
 prior to supplying steam from an     information from a responsible
 outside source.                      vessel's representative, a
                                      contractor, or any other person
                                      who is qualified by training,
                                      knowledge, or experience to make
                                      such determination. Thus, the rule
                                      does not impose additional costs,
                                      but rather provides employers with
                                      greater flexibility in meeting the
                                      existing requirement.
Sec.   1915.83(a)(2)(iv)             The provision adds to existing Sec.
The employer must ensure that each      1915.93(a)(1) a requirement that
 pressure gauge and relief valve is   pressure gauges and relief valves
 legible and located so it is         be easily readable (e.g., writing
 visible and readily accessible.      is large enough to read). Since
                                      OSHA estimates that employers
                                      currently use gauges and valves
                                      that are legible, this requirement
                                      should add no new costs.
Sec.   1915.83(b)(4)                 The standard expands coverage of
The employer must ensure that each    existing Sec.   1915.93(a)(4) from
 steam hose or temporary steam        "normal work areas" to include
 piping system, including metal       areas where employees may walk or
 fittings and couplings that pass     pass through to get to work areas.
 through a "walking or working       OSHA estimates that shipyard
 area," is shielded to protect       employers shield hoses and piping
 employees from contact.              wherever employees may be present;
                                      therefore, the rule should not
                                      impose new costs.
Sec.   1915.83(c)(3)                 The provision deletes the existing
When a vessel is supplied with        requirement to have circuits
 electric shore power, the employer   checked by a "responsible
 must ensure that vessel circuits     vessel's representative" (Sec.
 to be energized are in a safe        1915.93(b)(1)(ii)). The rule does
 condition prior to energizing        not impose new costs, but rather
 them. This information must be       provides employers with greater
 determined by a "responsible        flexibility in meeting the
 vessel's representative," a         existing requirement.
 contractor, or any other person
 who is qualified by training,
 knowledge, or experience.
Sec.   1915.83(d)                    The standard expands the existing
The employer must ensure that heat    Sec.   1915.93(c) to include all
 lamps, including the face, are       heat lamps, not just infrared
 equipped with surround-type guards   electric lamps, and requires that
 to prevent contact with the lamp     the lamp face also be guarded to
 and bulb.                            prevent contact. Existing Sec.
                                      1915. 93(c) also provides an
                                      exception for the lamp face. OSHA
                                      believes that all heat lamps
                                      currently in use in shipyards have
                                      guarding that completely surrounds
                                      the lamp, including the face;
                                      therefore, the rule should not
                                      impose new costs.
Sec.   1915.84 Working alone         The standard adds a requirement to
Sec.   1915.84(a)(1) and (a)(2),      account for employees employees,
 and (b)                              either by sight or verbal
(a)Whenever an employee is working    communication, at regular
 alone, such as in a confined space   intervals appropriate to the job
 or isolated location, the employer   assignment and at the end of each
 must account for each employee:      job assignment or workshift if
(1) Throughout each workshift at      they are working alone, such as in
 regular intervals appropriate to     confined space or isolated
 the job assignment to ensure the     location. This provision expands
 employee's safety and health; and    on the current requirement (Sec.
(2) At the end of the job             1915.94) to frequently check on
 assignment or at the end of the      these employees. OSHA estimates
 workshift, whichever occurs first.   that shipyard employers already
(b) The employer must account for     account for employees who work
 each employee by sight or verbal     alone. Therefore, the rule should
 communication.                       not impose new costs.
Sec.   1915.85 Vessel radar and      The standard expands existing Sec.
 communication systems                 1915.95(a), which cover workers
Sec.   1915.85(b)                     repairing the radar or radio
The employer must secure each         systems. OSHA believes that the
 vessel's radar and communication     revision should not impose new
 system so it is incapable of         costs since employers already are
 energizing or emitting radiation     required to have procedures in
 before any employee begins work:     place for protecting workers,
(1) On or in the vicinity of the      other than radar or radio repair
 system;                              technicians.
(2) On or in the vicinity of a
 system equipped with a dummy load;
 or
(3) Aloft, such as on a mast or
 king post.
Sec.   1915.86 Lifeboats             The standard expands the existing
Sec.   1915.86(b)                     prohibition (Sec.   1915.96(b))
The employer must not permit any      against employees riding in
 employee to be in a lifeboat while   lifeboats being hoisted into final
 it is being hoisted or lowered,      stowed position by prohibiting
 except when necessary to conduct     employees from riding in lifeboats
 operational tests or drills over     while being hoisted or lowered,
 water, or in the event of an         unless it is deemed necessary to
 emergency.                           conduct operational tests or
                                      drills over water, or in the event
                                      of an emergency. OSHA believes
                                      that expanding this work practice
                                      requirement to a more flexible
                                      provision should not impose any
                                      additional costs to employers.
Sec.   1915.87 Medical services and  The standard combines existing Sec.
 first aid                              1910.151(b) and Sec.
Sec.   1915.87(d)(1)                  1915.98(a) and clarifies that
In the absence of an on-site          first aid supplies must be
 infirmary or clinic that maintains   provided and maintained, and be
 first aid supplies, the employer     readily accessible to each
 must provide and maintain adequate   worksite when needed. The standard
 first aid supplies that are          also revises existing Sec.
 readily accessible to each           1915.98(b), which contains a list
 worksite.                            of items that first aid kits must
                                      contain. The standard replaces
                                      that list with factors that
                                      employers must consider in
                                      determining the content, amount,
                                      and location of first aid kits and
                                      supplies they must provide. The
                                      standard provides employers with
                                      greater flexibility in meeting the
                                      requirement; therefore, the
                                      standard should not impose
                                      additional costs.
Sec.   1915.87(e)                    The standard expands existing Sec.
Where the potential exists for an      1910.151(c), which requires quick
 employee to be splashed with a       drenching or flushing facilities
 substance that may result in an      where employees may be injured by
 acute or serious injury, the         "corrosive materials." The
 employer must provide facilities     standard requires such facilities
 for quick-drenching or flushing      when employees may be exposed to
 the eyes and body. The employer      receiving an acute or serious
 must ensure that such a facility     injury, as defined in the
 is located for immediate emergency   standard. The standard should not
 use within close proximity to        impose additional costs since
 operations where such substances     employers already are required to
 are being used.                      provide quick drench/flushing
                                      facilities in the work area for
                                      immediate use.
Sec.   1915.87(f)(1)                 1915.87(f)(1) modifies existing
The employer must provide an          Sec.   1915.98(d), which requires
 adequate number of basket            that a minimum of 2 stretchers be
 stretchers, or the equivalent,       located at any shipyard work
 readily accessible to where work     location. The final provision
 is being performed on a vessel or    gives employers more flexibility
 vessel section. The employer is      by allowing basket stretchers, or
 not required to provide basket       the equivalent, provided by
 stretchers or the equivalent where   emergency-response services to
 emergency response services have     meet the "adequate number"
 basket stretchers or the             requirement for work performed on
 equivalent that meet the             vessels and vessel sections. OSHA
 requirements of this paragraph.      estimates that the standard should
                                      not impose additional costs
                                      because the existing standard
                                      already requires employers to
                                      provide a minimum of 2 stretchers
                                      at any shipyard work location. In
                                      addition, the standard gives
                                      employers greater flexibility in
                                      meeting the "adequate number"
                                      requirement because it allows them
                                      to rely on any readily accessible
                                      emergency-response services (i.e.,
                                      offsite rescue) that have basket
                                      stretchers.
Sec.   1915.87(f)(2)(i)              The standard adds to existing Sec.
The employer must ensure that each     1915.98(d) specifications for
 stretcher is equipped with           lifting bridles. OSHA estimates
 permanent lifting bridles that       that shipyards already have
 enable the basket stretcher to be    stretchers that meet the
 attached to hoisting gear that are   specifications; therefore, the
 capable of lifting at least 5,000    standard should not impose new
 pounds.                              costs.
Sec.   1915.88 Sanitation            The standard expands existing Sec.
Sec.   1915.88(b)(3)                   1910.141(b)(1)(iii) to also allow
The employer must dispense drinking   employers to provide potable water
 water from a fountain, a covered     in single-use bottles. The
 container with single-use drinking   standard should not impose
 cups stored in a sanitary            additional costs; rather, it
 receptacle, or single-use bottles.   provides employers with greater
 The employer must prohibit the use   flexibility in meeting the
 of shared drinking cups, dippers,    existing requirement.
 and water bottles.
Sec.   1915.88(d)(3)                 The standard does not change the
The employer must provide portable    number of sewered toilet
 toilets, pursuant to paragraph       facilities shipyard employers must
 (d)(2)(i) of this section, only      provide. The standard allows, but
 when the employer demonstrates       does not require, employers to
 that it is not feasible to provide   provide portable toilets to
 sewered toilets, or when there is    supplement the required number of
 a temporary increase in the number   sewered toilets. Therefore, the
 of employees.                        standard should not impose new
                                      costs.
Sec.   1915.88(g)                    The standard expands existing Sec.
When an employer provides              1910.141(e), which requires
 protective clothing to prevent       changing rooms whenever another
 employee exposure to hazardous or    OSHA standard requires that the
 toxic substances, the employer       employer provide protective
 must provide changing rooms that     clothing, to require that
 provide privacy for each sex; and    employers provide change rooms
 storage facilities for street        whenever they provide protective
 clothes, as well as separate         clothing. OSHA estimates the
 storage facilities for protective    standard should not impose any
 clothing.                            costs because shipyards already
                                      have changing rooms.
Sec.   1915.88(h)                    The standard expands the existing
The employer must ensure that food,   prohibitions (Sec.   1910.141(g)
 beverages, and tobacco products      and Sec.   1915.97(c)) on eating
 are not consumed or stored in any    and drinking to include
 area where employees may be          prohibitions on eating, drinking,
 exposed to hazardous or toxic        and smoking in areas where
 substances.                          hazardous or toxic substances may
                                      be present. "Hazardous and toxic
                                      substances" is defined in the
                                      final rule as any corrosive
                                      substance, or any environmental
                                      contaminant that may expose
                                      employees to injury, illness, or
                                      disease. OSHA estimates that
                                      prohibiting these activities in
                                      such areas should not impose
                                      additional costs on employers.
Sec.   1915.88(j)(1)                 The standard expands the existing
To the extent reasonably              Sec.   1910.141(a)(5) to cover
 practicable, the employer must       outdoor shipyard areas. OSHA
 clean and maintain the workplace     estimates that employers currently
 in a manner that prevents vermin     control vermin in all shipyard
 infestation.                         areas to ensure that vermin do not
Sec.   1915.88(j)(2)                  get into enclosed spaces;
Where vermin are detected, the        therefore, the standard should not
 employer shall implement and         impose new costs.
 maintain an effective control
 program.
Sec.   1915.90 safety color code     The standard simply incorporates by
 for marking physical hazards         reference a general industry
                                      standard (Sec.   1910.144) that
                                      already is applicable to
                                      shipyards; therefore, the standard
                                      does not impose new costs.
Sec.   1915.91 Accident prevention   The standard simply incorporates by
 signs and tags                       reference the existing general
All new and replacement danger,       industry standard (Sec.
 caution, and safety instruction      1910.145) on signs and tags that
 signs shall meet design and          is already applicable to
 wording specifications.              shipyards; therefore, the standard
Injury/illness prevention tags        does not impose new costs.
 shall be used where employees are
 exposed to hazardous conditions,
 equipment, operations that are
 unexpected, out of the ordinary or
 not readily apparent and remain in
 place until the hazard is
 eliminated or the hazardous
 operation is completed. Tags shall
 meet general criteria
 requirements.
Sec.   1915.92 Retention of DOT      OSHA is retaining the existing Sec.
 markings, placards, and labels         1915.100 requirements, with
                                      minor editorial changes, on the
                                      retention of DOT markings,
                                      placards, and labels on hazardous
                                      materials the shipyard receives.
                                      Therefore, this section should not
                                      impose any new costs.
Sec.   1915.93 Motor vehicle safety  The standard adds a new safety belt
 equipment, operation, and            requirement; however, the
 maintenance                          requirement should not impose
Sec.   1915.93(b)(1)                  costs on existing facilities
The employer must ensure that each    because it applies only
 motor vehicle acquired or            prospectively.
 initially used after 180 days       (The economic analysis includes
 after the final rule is published    costs for Sec.   1915.93(b)(3),
 is equipped with a safety belt for   which requires employers to
 each employee operating or riding    replace safety equipment (e.g.,
 in a motor vehicle. This             safety belts) that have been
 requirement does not apply to any    removed from employer-provided
 motor vehicle that was not           vehicles.)
 equipped with safety belts at the   The standard adds a requirement
 time of manufacture.                 that all employees being
Sec.   1915.93(b)(4)                  transported in a vehicle be seated
The employer must ensure that each    in firmly secured seats. This will
 motor vehicle used to transport an   require some employers to change
 employee has firmly secured seats    their methods of transporting
 for each employee being              workers which may involve costs to
 transported and that all employees   the employer. OSHA does not
 being transported are using such     believe that this will be a
 seats.                               significant cost and therefore has
                                      not included the costs that may be
                                      associated with this requirement
                                      in this analysis.
Sec.   1915.93(c)(1)                 The standard adds a new
The employer must ensure that each    requirement; however, OSHA
 motor vehicle is maintained in a     estimates that shipyard employers
 serviceable and safe operating       already maintain motor vehicles
 condition and removed from service   that employers provide. Therefore,
 if it is not in such condition.      the standard should not impose new
                                      costs.
Sec.   1915.93(c)(2)                 The standard adds a new
The employer must ensure that         requirement. OSHA estimates that
 before a motor vehicle is            tools and materials are secured if
 operated, any tools and materials    their movement could pose a hazard
 being transported are secured if     for employees; therefore, the
 their movement may create a hazard   standard should not impose new
 for employees.                       costs.
Sec.   1915.93(c)(3)                 The standard adds a new
The employer must implement           requirement. OSHA estimates that
 measures to ensure that motor        shipyard employers already have
 vehicle operators are able to see    implemented bike and pedestrian
 and avoid injuring pedestrians and   safety measures as a good practice
 bicyclists at shipyards.             in shipyards; therefore, the
                                      standard should not impose new
                                      costs.
Sec.   1915.94 Servicing multi-      The standard adds general industry
 piece and single-piece rim wheels    requirements on servicing rim
The employer shall furnish a          wheels, including requirements to
 restraining device for inflating     furnish tire servicing equipment
 tires on multi-piece and single-     (Sec.   1910.177(d)). OSHA
 piece rim wheels. The requirements   estimates that shipyards that
 applicable to shipyard employment    currently service rim wheels on
 under this section are identical     large vehicles already have
 to the requirements set forth at     servicing equipment; therefore,
 29 CFR 1910.177.                     the standard should not impose
                                      additional costs. (However, this
                                      FEA includes costs for training
                                      employees to service rim wheels.)
------------------------------------------------------------------------
Source: OSHA Office of Regulatory Analysis.

    Some stakeholders said that several of the requirements discussed
above would impose significant costs. For example, Doug Dixon, of
Pacific Fisherman Shipyard and Electric, LLC, said the revisions to the
current lighting requirements would increase costs (Ex. 131.1). The
lighting requirements have been in existence since OSHA adopted them
pursuant to Section 6(a) of the OSH Act, and OSHA believes that all
affected employers are in compliance with them. The clarifications and
updates to those lighting requirements that OSHA incorporated in the
final rule do not substantially change the existing requirements;
therefore, OSHA believes that they will not impose major costs. Some
requirements may result in minor costs to some establishments; for
example, the final rule has a provision requiring that temporary lights
have insulation capacity that exceeds that of the original insulation
of the cord while the current provision requires that the insulation
capacity is "equal" to that of the cable. In this analysis, OSHA took
explicit costs only for provisions that could impose sizable costs on
establishments and evaluated explicit benefits for provisions that
would result in a measurable reduction in injuries or fatalities. It is
not always possible, nor is it necessary in terms of establishing
feasibility, to account for extremely small changes in costs or
benefits.
    Northrop Grumman--Newport News said that the sanitation provisions
would require a 25 percent increase in the number of toilets they
provide, at a cost of $7.5 million for the Newport News, VA, shipyard
alone (Ex. 120.1). However, Northrop Grumman did not provide any
information explaining how they derived the costs; therefore, OSHA
cannot ascertain the basis for the costs or analyze whether they are
representative of affected establishments.

Provisions in the Standard With Major Cost Impacts

Section 1915.8 Medical Services and First Aid
    The final rule requires that employers ensure that there are an
adequate number of qualified employees at each work location during
each workshift to render first aid, including cardiopulmonary
resuscitation (CPR). The Agency estimates that some shipyards will need
to train additional first aid providers for this purpose. Commercial
vessels have long-standing first aid standards established by the U.S.
Coast Guard (USCG), and OSHA believes that employees on commercial
vessels--even those that are not USCG inspected and certified--are
currently complying with the OSHA standard. However, the Agency
estimated that some commercial vessels would need additional employees
trained to administer first aid, including CPR. Employees properly
trained to administer first aid and CPR could reduce the number of
deaths that occur in the workplace.
Section 1910.88 Sanitation
    Paragraph (e)(1) requires that employers provide handwashing
facilities adjacent to each toilet facility. Paragraph (e)(2) requires
that employers ensure that each handwashing facility is equipped with
either hot and cold or lukewarm running water and soap, or with
waterless skin cleansing agents that are capable of disinfecting the
skin or neutralizing the contaminants to which the employee may be
exposed. The Agency estimates that employers in the shipbuilding, ship
repair, and shipbreaking industry (hereafter referred to as shipyards)
already have handwashing facilities at sewered toilets, but not at all
portable toilets. To comply with this provision, OSHA assumed that
employers will provide waterless skin cleansing agents at portable
toilet facilities as the simplest and least expensive way to comply
with this requirement. This provision applies only to shipyards and
will not impose any additional requirements on commercial vessels,
which OSHA concludes have adequate sanitation facilities onboard.
Section 1915.89 Control of Hazardous Energy (Lockout/Tags-Plus).
    The final rule adds requirements for the control of hazardous
energy in servicing operations in shipyard employment, including
servicing operations in landside facilities, as well as on vessels and
vessel sections. The lockout/tags-plus requirements comprise the major
portion of the costs of the final rule.
Section 1915.89(b) Lockout/Tags-Plus Program
    The standard requires that employers establish a program to protect
employees from energization or startup, or release of hazardous energy,
during the servicing of machinery, equipment, and systems in shipyard
employment. This program would have to include: (1) Procedures for
lockout/tags-plus systems, including a lockout/tags-plus coordination
process (Sec.  1915.89(b)-(c)); (2) procedures for protecting employees
involved in servicing (Sec.  1915.89(d)-(m)); (3) specification for
locks and tags-plus hardware (Sec.  1915.89(n)); (4) employee training
(Sec.  1915.89(o)); (5) incident investigations (Sec.  1915.89(p)); and
(6) program audits (Sec.  1915.89(q)). Only the time and costs to
actually develop the program (the written lockout/tags-plus procedures)
and the lockout/tags-plus coordination process are considered in this
section.
    The final lockout/tags-plus rule adds a requirement that employers
establish and implement lockout/tags-plus coordination (1) when
employees on vessels and in vessel sections are servicing multiple
machinery, equipment, or systems at the same time; and (2) when
employees on vessels, in vessel sections, and at landside facilities are
performing multiple servicing operations on the same machinery, equipment,
or system at the same time.
    The lockout/tags-plus coordination process requires that employers
have a lockout/tags-plus coordinator and a lockout/tags-plus log. The
coordinator is responsible for overseeing and approving the application
of each lockout/tags-plus system, verification of isolation of
hazardous energy before servicing is started, and removal of each
lockout/tags-plus system. The coordinator will also maintain and
administer the lockout/tags-plus log.
    The lockout/tags-plus log must contain the following information on
each lockout/tags-plus system: (1) Location of machinery, equipment, or
system to be serviced; (2) type of machinery, equipment, or system to
be serviced; (3) name of the authorized employee applying lockout/tags-
plus system; (4) date the lockout/tags-plus system is applied; (5) name
of the authorized employee removing the lockout/tags-plus system; and
(6) date the lockout/tags-plus system is removed.
Section 1915.89 (c)-(m) Procedures for Securing Energy Sources
    The final rule requires that, before any servicing is performed,
all energy sources are identified and isolated, and the machinery,
equipment, or system is rendered inoperative (Sec.  1915.89(c)(1)). It
also requires that employers implement measures to prevent hazards by
following certain procedures for shutting down equipment, isolating
power sources, verifying deenergization, and applying lockout or tags-
plus devices (Sec.  1915.89(d)-(m)).
    The final rule requires that, when energy-isolating devices are
capable of being locked, the employer must use a lock to prevent
energization or startup, or the release of hazardous energy, before
beginning servicing, unless the employer can demonstrate that the
utilization of a tags-plus system will provide full employee protection
(Sec.  1915.89(c)(2)). When energy-isolating devices are not capable of
being locked, the final rule requires that the employer apply a tags-
plus system to prevent energization or startup, or the release of
hazardous energy, before starting servicing (Sec.  1915.89(c)(3)). The
tags-plus system shall consist of at least one energy-isolating device
with a tag affixed to it; and at least one additional safety measure
that will provide the equivalent safety available from the use of a
lock (Sec.  1915.89(c)(4)). Additional safety measures include, but are
not limited to, the removal of an isolating circuit element, the
blocking of a controlling switch, the opening of an extra disconnecting
device, the removal or wiring in place of a valve handle (Sec.
1915.80(b)(1)).
    These provisions include as costs the time necessary to implement
the lockout/tags-plus procedures, apply locks or tags-plus systems,
implement additional safety measures, and notify affected employees of
the lockout/tags-plus application. These costs do not include the time
to find the circuit, as OSHA considers this a part of existing duties.
Section 1915.89(n) Specifications for Locks and Tags-Plus Materials and
Hardware
    The rule requires employers to provide locks and tags-plus system
hardware used for isolating, securing, or blocking any machinery,
equipment, or system that is to be serviced. The final rule addresses
the specific characteristics of these devices with regard to
durability, color, shape, and size uniformity throughout the
establishment. Also, the rule states that locks and tags-plus devices
must be singularly identified, must be the only devices used for
controlling energy, and must not be used for other purposes. OSHA
attributed to this paragraph the costs for the time to choose and
purchase the appropriate locks and tags-plus materials and hardware and
the costs of that material and hardware.
Section 1915.89(o) Information and Training
    The final rule requires employers to provide training to ensure
that the purpose and function of the lockout/tags-plus program are
understood by employees, and that the knowledge and skills required for
the safe application, usage, and removal of lockout/tags-plus systems
are acquired by employees. The rule requires training for employees who
are, or may be, in an area where the lockout/tags-plus systems are
being used so they know the (1) Purpose and function of the employer's
lockout/tags-plus program and procedures; (2) unique identity and
standardization of locks and tags used in the lockout/tags-plus system;
(3) three basic components of the tags-plus system; (4) prohibition
against removing or tampering with any lockout/tags-plus system; and
(5) prohibition against reenergizing or restarting any machinery,
equipment, or system that is being serviced under a lockout/tags-plus
system.
    Affected employees also must be trained in the following: (1) The
use of the employer's lockout/tags-plus program and procedures; (2) the
prohibition against affected employees applying or removing any
lockout/tags-plus system; and (3) the prohibition against them
bypassing, ignoring, or defeating a lockout/tags-plus system.
    In addition to the training requirements for general employees and
affected employees, authorized employees must be trained so they know:
(1) The steps necessary for the safe application, use, and removal of
lockout/tags-plus systems; (2) the types and magnitudes of energy
sources at the worksite; (3) the means and methods for isolating and
controlling hazardous energy; (4) the means for determining exposure
status of employees in a servicing group for which the authorized
employee is in charge; (5) the requirement that tags be legible and
understandable; (6) the requirement that tags and their means of
attachment be made of materials that will withstand environmental
conditions; (7) the requirements that tags be securely attached so they
cannot be accidentally removed; (8) the knowledge that tags are simply
warning devices, and alone do not provide a physical barrier against
energization; and (9) that tags must be used in conjunction with
energy-isolating devices and measures.
    Finally, lockout/tags-plus coordinators, in addition to receiving
the general employee, affected employee, and authorized employee
training, must be trained in the following: (1) How to identify and
isolate any machinery, equipment, or system that is being serviced; and
(2) how to accurately document lockout/tags-plus systems and maintain
the lockout/tags-plus log.
    In addition to the required initial training, the final rule
requires employers to provide retraining when: (1) There is a change in
the employee's job that presents new hazards or requires a greater
degree of knowledge about the lockout/tags-plus program or procedures;
(2) there is a change in machinery, equipment, or systems that presents
a new hazard; (3) there is a change in the employer's lockout/tags-plus
program or procedures; (4) it is necessary to maintain the employee's
proficiency; and (5) an incident investigation or program audit reveals
deficiencies in the lockout/tags-plus program or procedures or in the
employee's knowledge of it.
    The rule also requires employers to maintain records that employee
training has been accomplished and is being kept up to date. The
training records would have to contain each employee's name, dates of
the training, and subject of training. OSHA attributed to this paragraph
all costs associated with training.
Section 1915.89(p) Incident Investigations
    The final rule requires employers to promptly investigate each
incident that resulted in, or could have resulted in, energization or
startup, or the release of hazardous energy. The incident investigation
must be conducted by at least one employee who has knowledge and
experience in the employer's lockout/tags-plus program and procedures,
as well as in investigating and analyzing incidents involving the
release of hazardous energy.
    The rule requires that a written incident report be prepared that
includes: (1) The date and time of the incident; (2) date and time the
investigation began; (3) incident location; (4) description of the
incident; (5) factors contributing to the incident; (6) a copy of the
current lockout/tags-plus log; and (7) corrective actions needed. The
incident investigation, the written report, and corrective actions must
be completed with 30 days following the incident. If corrective actions
cannot be implemented within 30 days, the employer must prepare a
written abatement plan that includes an explanation for the delay, an
abatement timetable, and a summary of interim steps the employer is
taking to protect employees from hazardous energy while servicing
machinery, equipment, or systems.
Section 1915.89(q) Program Audits
    The final rule requires that employers conduct a program audit of
the current lockout/tags-plus program and procedures at least annually
to ensure that the procedures and the requirements of the rule are
being followed, and to correct any deficiencies. The program audit must
be performed by an authorized employee other than the one(s) using the
energy-control procedure being reviewed, or other persons knowledgeable
about the employer's lockout/tags-plus program and procedures and the
machinery, equipment, or systems being reviewed. The program audit
shall include a review of the lockout/tags-plus program and procedures,
the current lockout/tags-plus log, and the incident reports since the
last audit; and verification of the accuracy of the lockout/tags-plus
log.
    The final rule requires that the written audit report be delivered
to the employer within 15 days after completion of the audit and
include: (1) The audit date; (2) the persons performing the audit; (3)
the procedure and machinery, equipment, or system being audited; (4)
the audit findings and recommendations; (5) previous incident
investigation report; and (6) description of corrective actions taken
in response to incident investigation finding. Finally, the final rule
also requires that the employer promptly communicate audit findings and
recommendations to each employee whose jobs tasks may be affected. OSHA
assumed that all employers would incur the costs necessary to implement
this provision.
Section 1915.93 Motor Vehicle Safety Equipment, Operation, and
Maintenance
    The final rule requires employers to ensure that motor vehicle
safety equipment is not removed from any employer-provided vehicle. The
employer would have to replace safety equipment that is removed. The
Agency believes that employers engaged in shipyard employment are
generally in compliance with the rule as it applies to safety equipment
on new motor vehicles, and that motor vehicle equipment is not being
used onboard commercial vessels. The Agency estimated that employers
may sometimes remove safety equipment from older vehicles. Thus,
employers would need to reinstall this safety equipment.
Section 1915.94 Servicing Multi-Piece and Single-Piece Rim Wheels
    The standard incorporates by reference the requirement set forth in
29 CFR 1910.177. This section applies to the servicing of multi-piece
and single-piece rim wheels used on large vehicles such as trucks,
tractors, trailers, buses, and off-road machines, and requires that
employers train employees who will perform the servicing. It does not
apply to servicing rim wheels used on automobiles, or on pickup trucks
and vans using automobile tires or trucks tires designated "LT." The
Agency believes that servicing rim wheels in shipyards is similar to
such servicing in general industry. OSHA estimates that the costs
associated with this servicing are limited to training time for initial
training and additional training as necessary.

B. Industrial Profile

    OSHA's final rule affects those establishments within OSHA's
authority that are engaged in shipyard employment operations onboard
vessels, on vessel sections, and at landside operations, regardless of
geographic location. This category of establishments includes employers
engaged in shipyard-employment operations onboard commercial vessels
not inspected by the U.S. Coast Guard (USCG).
    Some stakeholders commented that OSHA's preliminary economic
analysis (PEA) underestimated the number of vessels the rule would
affect. For example, Gerry Mulligan of Prowler LLC and Ocean Prowler
LLC said:

    OSHA's [preliminary] estimate of a total of 639 establishments
effected by the rule significantly underestimates the economic
impacts of the rule. * * * [T]his rule will impact the more than
2500 uninspected vessels working in Washington and Alaska on which
the ship's crews performs repairs. * * * Clearly the rule affects
many more entities than just shipyards, most of which do not seem to
be addressed in the economic impact statements (Ex. 100.1; see also
Ex. 123).

    Based on stakeholder comments and other information in the record,
OSHA added to the FEA industries with commercial vessels not inspected
by the USCG. The final rule applies to the extent that these
establishments are performing shipyard-employment operations, such as
servicing machinery, equipment, or systems, onboard vessels. The PEA
did not include these industries; however, OSHA determined that these
employers are within OSHA's authority and perform shipyard-employment
operations. Thus, the FEA is including these industries in the
analysis.
Affected Establishments and Employees
    This section describes OSHA's method for estimating the number of
affected establishments and employees engaged in shipyard employment,
which includes shipbuilding, ship repair and shipbreaking
establishments (NAICS 336611), and establishments in industries
involving commercial vessels, including commercial fishing (NAICS
11411), fish processing onboard vessels (included in NAICS 311712), tug
and towing boats (included in NAICS 488330), coastal and Great Lakes
passenger transportation (NAICS 483114), and inland water passenger
transportation (NAICS 483212).
    The Agency derived estimates of the number of affected
establishments and employees primarily from 2006 Small Business
Administration (SBA) data on establishments, employees, and annual
payroll, and from 2007 U.S. Bureau of the Census (Census Bureau) data
on value of shipments (revenues). The Agency used the SBA data because
they contain a detailed breakdown by establishment and employment size
classes. The PEA used Census Bureau data, but inadequate detail on size
class for transportation industries and a lack of available 2007 Economic
Census data for some industries led OSHA to update and expand estimates
in the FEA using 2006 SBA data, which provided adequate size class detail
and which are the most current data available.
    OSHA assumed that the final rule would affect all establishments
engaged in shipbuilding, ship repair, and shipbreaking, and those
establishments engaged in shipyard-employment operations in commercial
fishing establishments, on processing vessels in the fish-processing
and -packaging industry, in establishments with tug and towing boats
(other than seagoing tugs and towboats), and in establishments with
some very small non-seagoing passenger vessels (those vessels carrying
fewer than 6 passengers). The Agency estimated that 90 percent of tow
and tugboat establishments employ non-seagoing vessels and non-Great
Lakes barges. The Agency also estimated that 33 percent of passenger
vessels operating on the Great Lakes and inland waterways carry fewer
than 6 passengers for hire; thus, they are not USCG-inspected.
    The final rule does not affect establishments with USCG-inspected
vessels, including freight vessels, nautical-school vessels, offshore-
supply vessels, ferries and other passenger vessels, sailing-school
vessels, seagoing barges, seagoing motor vessels, small passenger
vessels, steam vessels, tank vessels, fish-processing vessels (more
than 5,000 gross tons), fish-tender vessels (more than 500 gross tons),
Great Lakes barges, and oil-spill response vessels.
    For the purposes of illustrating a clear industrial profile, OSHA
used the following employment size classes: 1-19, 20-99, 100-199, 200-
499, 500-999, and 1,000 and more employees (Table 5). In NAICS 336611,
which includes shipbuilding, ship repair, and shipbreaking, OSHA
estimated that all establishments with 100 or more employees are
shipyards; that about 73 percent of establishments with 20-99 employees
are contractors who work at shipyards or off-site establishments that
perform shipyard employment operations; and that all very small
establishments with fewer than 20 employees are contractors or off-site
establishments.

Table 5 - Industrial Profile for the Final Rule

    Comment in the record questioned OSHA's estimated affected
establishments saying "[t]he U.S. Coast Guard lists 79,565 commercial
fishing vessels and acknowledges that number is not complete" (Ex.
199, p. 257) and questioned whether OSHA's estimate of 2,090 commercial
vessels establishments underestimated the industry being regulated.
OSHA develops an industrial profile on an establishment basis and, in
some cases, one establishment in a commercial vessel industry will have
more than one vessel, which means there is not a one-to-one translation
from USCG-reported vessels and Census Bureau-reported establishments.
There are also approximately 65,000 nonemployer establishments (those
with no employees and taxable revenue) in the commercial fishing
industry according to data from the Census Bureau's Economic Census.
Establishments with no employees do not fall within OSHA jurisdiction and
therefore are not included in the profile of affected industries.
    For this analysis, OSHA assumes that most small and all very small
establishments in NAICS 336611 are contractors working at shipyards,
and are not shipyards. These contract employers, in most cases, will
not incur the full cost of compliance due to either their adherence to
the host employer's programs or the type of work they perform at
shipyards. For example, if a contractor provides electrical services to
shipyards, the contractor likely would have its employees follow the
host employer's program for the control of hazardous energy, and may
not incur the full cost to develop a program. Moreover, to the extent
that these contractors also perform services for companies in general
industry, they already may have implemented a lockout/tagout program
and incurred some startup costs. In the PEA, the Agency estimated that
contractors primarily exist in two size classifications: 1-19 employees
and 20-99 employees. OSHA did not receive any comments indicating that
its estimate of the number of contractors and off-site employers was
inaccurate, or that some of these establishments should be considered
shipyards. The record also does not indicate that contractors and off-
site employers will incur greater costs to develop and implement a
lockout/tags-plus program than was estimated in the PEA.
    The estimates presented in Table 5 are derived from 2006 SBA data.
Shipyards and off-site shipyards are classified as NAICS 336611,
commercial fishing as NAICS 11411, fish-processing onboard vessels as
part of NAICS 311712, tug and towing vessels as part of NAICS 488330,
and passenger vessels as NAICS 483114 and NAICS 483212. Complete firm
and establishment data were largely available from SBA, but OSHA had to
make some estimates for shipyards; establishments with fish-processing
factories aboard ships; and establishments with tug and towing boats.
OSHA estimates that there are 200 floating fish factories currently in
operation. The Agency assumes that those factories are distributed
across employment size classes in a manner identical to the
establishment size distribution in the industry (NAICS 311712) as a
whole. Allen Rainsberger, of the Puget Sound Shipbuilder's Association,
commented that OSHA's preliminary estimate of 2,500 employees working
on fish processing vessels was not accurate. Quoting OSHA, he wrote:

    "OSHA estimates there are about 200 fish processing vessels
operating in * * * US territorial waters. * * * OSHA estimates that
each vessel employs about 100-120 processing employees * * * for a
total of 2,500 employees." There is an error in this equation as
200 x 100 = 20,000 employees. In the North Pacific there are about
85-90 vessels that process fish, with crews anywhere from 10 to 200
employees each (Ex. 124).

    By estimating employment and size class distribution based on the
characteristics of the fish processing industry as a whole, the Agency
eliminated this error. OSHA made similar assumptions for tug and
towboat industries, distributing the 722 tug and towing boat
establishments reported in the 2007 Economic Census across employment-
size classes using the same ratios reported for the industry under
which they were classified in the 2006 SBA data.
    The firm estimates for shipyards presented in Table 6 are derived
by using a firm-to-establishment ratio from 1997 SBA data. To maintain
consistency in the data from the preliminary to the final analysis,
OSHA used the estimation method employed in the PEA with updated data
for establishments from the 2006 SBA. In the PEA, OSHA applied a
"firms-per-establishment" ratio (developed using 1997 SBA data) to
the Census Bureau establishment estimates to develop the estimated
number of firms. This process is illustrated in Table 6. For example,
2002 SBA data reported that there are 27 firms in NAICS 336611 with 500
or more employees. However, Census Bureau data report that there are
only 21 establishments with 500 or more employees for the same year.
OSHA used a ratio of firms-to-establishments to reconcile the two data
sets.

Table 6 - Derivation of Firms Using 2006 SBA Data and 1997 SBA Percentages

    Table 7 presents the total number of affected establishments and
employees. In this table, OSHA used a 32.5 percent turnover rate
estimated by the Bureau of Labor Statistics (BLS, 2006) to estimate the
number of new employees and new production employees affected by the
final rule in any given year. Production employees were estimated to be
84 percent of total employees, based on Census Bureau data. Since the
large firms in these industries employ most of the employees, the
Agency assumed that most large firms (using the alternate definition of
200 or more employees) have full-time safety and health professionals;
thus, they have in-house expertise to help the establishment to comply
with the final rule. OSHA did not receive any comments indicating that
large firms do not have full-time safety and health professionals, or
that OSHA was incorrect in reaching this conclusion.

Table 7 - Affected Establishments and Employees

Employment
    OSHA used SBA data to estimate total employment in the affected
industries. SBA reported employment for most, but not all, size classes
and industries. When SBA data did not disclose employment, the Agency
estimated employment by assuming firm employment averaged to the
midpoint of each size class, and multiplying that estimated employment
per firm by the SBA-reported number of firms for each size class. For
example, if there were 2 firms in the 30-34 employees size class, the
Agency assumed an average of 32 employees at each firm, for a total of
64 employees in the 30-34 employees size class. When employment
estimated in this manner exceeded the reported total industry
employment, OSHA reduced assumed average employment to the lowest value
in a given size class.
    OSHA acknowledges that not every employee in the affected
industries will be affected by this rule. Many employees in affected
industries do not perform shipyard-employment operations, and,
therefore, the industries in which they are employed will incur
compliance costs for only a fraction of these employees. However, to
develop a complete representation of the affected industries, the
Agency presents the total employment in the affected industries in this
profile, and addresses the scope of affected employees in the Costs of
Compliance section of this FEA.
    In 2006, employment in NAICS 336611 was estimated at 88,121. About
75 percent of these employees work in the largest shipyards--those with
1,000 or more employees. Another 6 percent work in shipyards with 500-
999 employees. Establishments with fewer than 200 employees account for
only 20 percent of total employment, and shipyard contractors account
for less than one-half (about 45 percent) of the 20 percent.
    Among the 9,161 commercial fishing employees and 17,470 fish-
processing employees, 55 percent and 57 percent of these employees,
respectively, work for employers with 1,000 or more employees, while 11
percent and 6 percent, respectively, work for employers with 500-999
employees. Establishments with fewer than 200 employees account for 31
percent of commercial fishing employees, and 24 percent of employees
are involved in fish-processing onboard commercial vessels.
    The total employment for passenger vessel industries is 13,280, but
many of these employees work onboard USCG-inspected vessels; therefore,
they are not affected by this rule. OSHA estimates that 969 employees
working on passenger vessels will be affected by this rule, all of whom
work at establishments with fewer than 100 employees. Thirty-one
percent of employees working aboard tug or towing boats work for
employers with 1,000 or more employees, with an additional 25 percent
working for employers having between 500-999 employees. Establishments
with fewer than 200 employees account for 44 percent of employment in the
tug and towboat industry.
Payroll
    Based on the 2006 SBA data, annual payroll for all industries
affected by this final rule was about $5.3 billion. Of this amount,
commercial fishing had an annual payroll of $225 million, or an average
of $24,562 per employee. Fish processing vessels had an annual payroll
of $384 million or an average of $21,975 per employee. The affected
commercial passenger transportation industries had an annual payroll of
$38.8 million, or an average of $40,090 per employee. The payroll for
shipyards was an average of $46,071 per employee for a total payroll of
$4.1 billion. Tug and towboat industries had annual payroll expenses of
$567 million, or an average of $34,715 per employee.
    Overall, the payroll of the affected industries averaged $39,943
per employee. For a full year, this is equivalent to an hourly wage of
$19.20. The payroll per employee did not show any consistent pattern
across employment size classes.
Wages
    Taking the ratio of total payroll (from SBA) to total employment,
OSHA calculated an average annual salary of $39,943 per employee for
all affected industries combined. The average annual salary estimate
includes both production and non-production employees.
    The average employee in the shipyard industry earned $46,071. The
average salary for water-transportation employees, which includes tug
and towing services and passenger vessels, was $40,090, while the
average tug and towing-boat employee earned $34,715. The average salary
for commercial fishing and fish processing was $35,550. These estimates
of average salaries include both production and non-production
employees.
    OSHA compared the $39,943 annual salary estimate, which was based
on payroll data, with a salary estimate based on weekly earnings
reported by BLS (Employment, Hours, and Earnings from the Current
Employment Survey, 2006). In 2006, BLS reported weekly earnings of
$862.46 for a production or non-supervisory water-transportation
employee, and $800.61 for an employee working in the shipyard industry.
The annual salaries for employees in these two industries, calculated
from BLS, reported weekly earnings of $44,848 and $41,632 (fringe
benefits not included), respectively. The salary estimates based on the
BLS data differ from the salary estimates based on payroll data. The
Agency chose to rely on the BLS data for this analysis because it
includes breakdowns of different employment categories and wage and
salary information for industries such as commercial fishing. OSHA
estimated, for the PEA, that the supervisors' wage rate is 25 percent
higher than the average wage rate for production employees. OSHA did
not receive any objections.
    The wage estimates for employees in the affected industries include
base rate, cost-of-living allowances, guaranteed pay, hazardous-duty
pay, incentive pay (including commissions and production bonuses), on-
call pay, and tips. The estimates exclude back pay, jury-duty pay,
overtime pay, severance pay, shift differentials, non-production
bonuses, and tuition reimbursements (BLS, 2000). To produce a total
wage that realistically reflects total compensation for employees in
affected industries, OSHA adjusted the average base wage to include
fringe benefits. The BLS reports total employee compensation, based on
survey data for aggregate worker categories (BLS, 2002). In this
analysis, OSHA used an average fringe benefits rate of 38 percent based
on data from the BLS Employer Costs for Employee Compensation survey.

C. Technological Feasibility

    The OSH Act mandates that OSHA, when promulgating standards for
protecting workers, consider the feasibility of the new workplace
rules. Court decisions have subsequently clarified "feasibility" in
economic and technological terms. Consistent with the legal framework
established by the OSH Act and court decisions, OSHA assessed the
technological feasibility of the final rule. The rule addresses various
workplace hazards in shipyard employment, including control of
hazardous energy and motor vehicle safety. The final rule does not
require technology that is not already in use in many affected
establishments. For example, OSHA received comments stating that many
employers engaged in shipyard employment already have implemented
effective programs for the control of hazardous energy (Exs. 108.1;
114.1; 116.1; 121.1; 123; 132.2; 168, pp.70, 192, 322-24). Similarly,
several stakeholders offered examples of practices they currently use
to protect workers, including pedestrians, from motor-vehicle accidents
at their worksites (Exs. 116.1; 119.1; 121.1; 168, pp. 71-73, 247-48).
Many of the requirements involve implementing work-practice controls
that can be communicated to employees through training, which some
stakeholders said they currently provide (Exs. 116.1; 120.1). In
addition, some stakeholders said they already provide CPR training for
their on-site first aid providers (Exs. 116.1; 120.1; 168, pp. 87-89,
259, 260, 299). Based on current industry practice and OSHA's findings,
the Agency determined that the rule is technologically feasible.

D. Benefits

    E.O. 12866 requires that Federal agencies assess both the costs and
benefits of any regulation and make a "reasoned determination that the
benefits * * * justify its costs" (E.O. 12866, Section 1(b)(6)).
Agencies are to base regulatory decisions on "the best reasonably
obtainable scientific, technical, economic, and other information
concerning the need for, and consequences of, the intended regulation"
(E.O. 12866 Section 1(b)(7)).
    This chapter reviews the population at risk of occupational injury,
illness, or death in affected establishments and industries, and
assesses the potential benefits associated with the final rule. OSHA
believes that compliance with the rule will yield substantial benefits
in terms of lives saved, injuries avoided, and accident-related cost
savings. In assessing the benefits of the final rule, OSHA focused on
the rule's primary and substantial new requirements: (1) CPR training
for first aid providers; (2) the control of hazardous energy during
servicing operations (lockout/tags-plus); (3) motor vehicle safety,
including pedestrian safety at shipyards; and (4) servicing multi-piece
and single-piece rim wheels. Although the final rule also includes
other provisions, they primarily update, consolidate, and clarify
existing requirements. Although OSHA believes that all provisions in
the final rule will help to increase safety and health in shipyard
employment, the Agency is only estimating quantitative benefits for the
new provisions listed above (refer to the Non-quantified Benefits
section below for a further discussion of the non-monetized benefits).
OSHA believes that compliance with these new provisions will decrease
the number of injuries and fatalities which, in turn, will reduce
expenditures for medical care, rehabilitation, death benefits, lost-
work time, and repairs to damaged facilities and equipment.
    To assess the benefits, the Agency used OSHA and BLS data to
conduct a historical analysis of the frequency of fatalities and
injuries among employees engaged in shipyard employment landside and
onboard commercial vessels. These data were used to calculate the
frequency of accidents caused by improperly controlling hazardous energy
during maintenance operations, and while operating motor vehicles. The
Agency did not identify any injuries or fatalities relating to servicing
rim wheels, and did not receive any reports of such injuries or fatalities
from industry in the docket. The following sections estimate the number of
fatalities and injuries OSHA expects the rule to prevent, and describes
the methodology used to develop these estimates.
Fatality Benefits
    OSHA's analysis of the number of fatalities estimated to be averted
by the final rule proceeds in two steps: (1) Determine the number of
fatalities currently occurring and the types and causes of these
fatalities; and (2) determine the rule's effectiveness in averting
various types of fatalities (assuming full compliance). Only those
fatalities that would have been prevented through compliance with the
new provisions noted above were estimated in this benefits analysis.
    In 1995, OSHA analyzed fatalities in shipbuilding and repair (SIC
3731) that occurred from 1974 to 1995. OSHA concluded that, of the
total number of fatalities (314), electrocutions accounted for 8.6
percent (or 27). More recently, OSHA reviewed 248 abstracts of fatal
accidents from the OSHA Integrated Management Information System (IMIS)
database from 1987 to 2002, to determine if any shipyard-employment
accidents were the result of, or caused by, hazardous energy, motor
vehicles, lack of medical services and first aid, and servicing rim
wheels. Review of these 248 fatal accidents led OSHA to conclude that
38 (15.3 percent) were related to hazards the final rule addresses.
Included in the 38 deaths were 10 fatalities that resulted from heart
attacks for which the abstract did not note a history of cardiovascular
disease. Of the 38 fatalities, 13 (34 percent) were deaths that the
final rule could have prevented. Of the 10 heart-attack deaths, OSHA
believes that 2 deaths (20 percent) could have been averted by the
final rule. While OSHA's analysis of heart-attack deaths focused on
those deaths that were work related, the Agency notes that the
requirements for CPR-trained first aid providers may also reduce
mortality due to non-work-related heart attacks that occur in the work
environment. As a result, OSHA believes that the benefits of this
provision may be greatly underestimated.
    To determine an annual estimate of the number of fatalities in
shipyard employment that the final rule would prevent, OSHA used 11
years (1992-2002) of BLS Census of Fatal Occupational Injury (CFOI)
data. That data showed, on average, 14.6 worker deaths occurred in SIC
3731 (shipbuilding and repair industry, which includes shipbreaking)
per year. OSHA multiplied that average by 15.3 percent (the percentage
of IMIS deaths related to hazards covered by the rule) to reach a total
of 2.2 deaths per year related to hazards covered by the rule. Then,
OSHA multiplied the 2.2 deaths by 39.5 percent (percentage of IMIS
fatalities estimated to be prevented by the rule) to reach 0.9 deaths
in shipyards (SIC 3731/NAICS 336611) that could be prevented by the
rule (avoidable deaths).
    To determine the annual estimate of the number of fatalities aboard
covered commercial vessels that the rule would prevent, OSHA used 17
years (2002-2008) of BLS CFOI data. That data showed, on average, 47
worker deaths per year in the commercial vessels industries, a majority
of those deaths being in the commercial fishing industry. OSHA
multiplied that average by 0.9 percent, which was the percentage of
IMIS deaths related to hazards covered by the rule, multiplied by the
ratio of fish-processing vessels to total fish processing
establishments. This calculation accounted for, and removed from the
estimate, those fatalities that occurred at land-based fish-processing
facilities. Based on this calculation, OSHA reached an estimate of 0.4
deaths per year onboard commercial vessels that were related to hazards
covered by the final rule. OSHA estimated that 66 percent of the deaths
related to hazards covered by the rule could have been prevented for a
total of 0.3 avoidable deaths per year onboard commercial vessels. OSHA
estimates that, in total, 1.2 deaths (0.9 deaths in shipyards plus 0.3
onboard commercial vessels covered by the rule) per year could be
prevented by the final rule (see Table 8).

Table 8 - Estimated Fatality Benefits Attributed to the Final Rule

Injury Benefits
    The numbers and characteristics of injuries in SIC 3731 (NAICS
336611), SIC 0910 (NAICS 11411), SIC 2092 (NAICS 311712), SIC 4499
(NAICS 488330), and SIC 4489 (NAICS 483114 and NAICS 483212) are
outlined in the BLS Annual Survey of Occupational Injuries and
Illnesses. This survey is based on employer injury and illness reports
(OSHA Form 200 or 300) collected by state agencies and BLS from roughly
250,000 private establishments. The survey compiles demographic information,
data on employee occupation, length-of-service statistics, employee hours
worked, the employer's principal products or services, selected injury or
illness characteristics, and the severity of the accident (in terms of
lost workdays). Thus, data from the BLS injury and illness survey can be
used to develop a profile of the risks facing employee groups, such as those
engaged in shipyard-employment activities. Unfortunately, this BLS database
does not characterize injuries that do not involve days away from work in a
way that would permit OSHA to determine causality. OSHA notes that, in most
sectors, the number of injuries and illnesses that do not involve days away
from work equals or exceeds the number of cases involving days away from
work.
    According to BLS data from 1992 to 2001, in SIC 3731 there were an
average of 6,088 injuries per year involving days away from work. BLS
publishes certain broad categories of injuries and illnesses by source
for all SICs, and now for NAICS.
    To estimate the number of injuries due to the absence or inadequacy
of procedures for the control of hazardous energy, OSHA multiplied the
number of total cases involving days away from work by the percentage
of cases estimated to be caused by the absence or inadequacy of
protection against hazardous energy. In the general industry lockout/
tagout standard, OSHA determined that 2 percent of all injuries were
related to hazardous energy (OSHA, 1989). OSHA multiplied the product
by 39.5 percent (the percentage of IMIS fatalities estimated to be
prevented by the final rule). The results are presented in Table 9.
OSHA then used the 2 percent figure to estimate the non-lost workday
injuries resulting from the lockout/tagout activities. This product was
also multiplied by 39.5 percent (the percentage of IMIS fatalities
estimated to be prevented by the final rule). This calculation results
in 48.1 lost workday and 89.1 non-lost workday lockout/tagout injury
cases.
    According to the BLS data from 1992-2001, there were an average of
1,800 injuries per year in the fish-processing industry involving days
away from work. Based on IMIS accident reports, the Agency estimated
that 28 percent of injuries in the fish-processing industry were
related to inadequacy or absence of controls to protect employees from
hazardous energy. These injuries were generally serious (often
amputations). OSHA estimated lost workdays related to hazardous-energy
injuries for the fish-processing industry by multiplying the injury
cases involving days away from work by the percent of injuries related
to lockout/tagout (28 percent). OSHA concluded that injuries onboard
floating fish-processing factories were occurring in the same
proportion to injuries at land-based fish-processing factories. To
estimate the number of hazardous-energy injuries onboard fish-
processing vessels, OSHA multiplied the number of hazardous energy
injury cases involving days away by 36 percent (the ratio of fish-
processing vessels (200) to total fish-processing establishments
(552)). The Agency concluded that the final rule would prevent all of
those injuries, resulting in an estimated 184.3 avoidable lockout/tags-
plus injury cases per year involving days away from work.
    The injuries related to motor vehicle operation and maintenance
were calculated by applying the 15.3 percent (the percentage of IMIS
deaths related to the rule used in the fatality estimates) to the BLS
estimates for motor vehicle-related injuries (lost workday and non-lost
workday estimates), and then multiplying this product by 39.5 percent
(the percentage of IMIS fatalities estimated to be prevented by the
rule); this calculation results in 9.5 lost workday and 17.4 non-lost
workday injuries related to motor vehicles. This injury category
includes injuries while operating or riding in motor vehicles, as well
as being struck by motor vehicles in the workplace. This estimate,
combined with the hazardous-energy injury reductions, totals of 348.4
avoidable injury cases (which includes both cases involving days away
from work and non-lost workday cases) that the final rule would prevent
(see Table 9). The available data did not allow OSHA to identify
injuries related to the absence, or inadequate training, of CPR
providers, nor injuries that occurred while servicing rim wheels.

Table 9 - Estimated Injury Benefits Attributed to the Final Rule

Monetized Benefits
    For informational purposes, the Agency monetized both avoidable
fatalities and injuries based on willingness-to-pay (WTP) values of
$8.7 million per death and $67,000 per injury. In estimating the value
of preventing a fatality, OSHA followed the approach established by the
U.S. Environmental Protection Agency (EPA). EPA's Guidelines for
Preparing Economic Analyses provides a detailed review of the methods
for estimating mortality risk values, and summarizes the values
obtained in the literature (EPA, 2000). Synthesizing the results from
26 relevant studies, EPA arrived at a mean value of a statistical life
(VSL) of $4.8 million (in 1990 dollars). EPA recommends this central
estimate, updated for inflation (the value is $8.7 million in 2010
dollars), for application in regulatory analyses. This VSL estimate
also is within the range of the substantial majority of such estimates
in the literature ($1 million to $10 million per statistical life), as
discussed in OMB Circular A-4 (OMB, 2003). Applying a VSL of $8.7
million to the estimated number of prevented fatalities, OSHA estimates
that the dollar value of the prevented deaths resulting from compliance
with the final rule will be $10.4 million annually.
    OSHA also reviewed the available research literature regarding the
dollar value of preventing an injury. Kip Viscusi and Joseph Aldy
conducted a critical review of 39 studies estimating the value of a
statistical injury (Viscusi and Aldy, 2003, Ex. 9). In their published
article, Viscusi and Aldy reviewed the available WTP literature to
identify a suitable range of estimates. Using WTP to value non-fatal
injuries is the approach OMB recommends in OMB Circular A-4.
    Viscusi and Aldy found that most studies resulted in estimates in
the range of $20,000 to $70,000 per injury, although several studies
resulted in even higher estimates. This range of values is partly
explained by the fact that some studies used an overall injury rate,
and others used only injuries resulting in lost workdays. The injuries
that would be prevented by this final rule often involve
hospitalization and, therefore, are likely to be more severe than the
majority of injuries involving days away from work.
    Thus, it is reasonable to believe that the value of a statistical
injury for this rulemaking will be in the upper part of the reported
range of estimates. Nevertheless, OSHA used an estimate of $67,000 in
2010 dollars to assess monetized benefits for this analysis. Thus, with
348.4 injuries (injuries involving days away from work and non-lost
workday injuries) a year potentially prevented by the final rule, OSHA
estimates that the dollar value of prevented injuries through
compliance with the rule will total $23.4 million annually.
    The total monetized benefits for prevented deaths and injuries are
estimated to be $33.8 million in total monetized benefits.
Non-Quantified Benefits
    OSHA believes that non-quantified benefits also are likely to
result from the final rule; therefore, the 1.2 prevented fatalities and
348.4 avoided injuries each year should be considered minimum estimates.
For example, the provisions for accounting for employees at the end of the
workshift, lifeboat safety, housekeeping, rim-wheel repair, lighting, and
utilities are expected to result in safer working conditions that will
reduce fatalities and injuries. The revision of the sanitation and vermin-control
standard also are expected to result in fewer heat-, hydration-, and
sanitation-related deaths and illnesses. However, these cases are difficult
to quantify as they are commonly unreported or not recognized as
work-related cases.
    The provisions for improved first aid and medical treatment, along
with the requirement to account for working-alone employees at the end
of the job assignment or workshift (whichever occurs first), are
expected to result in benefits due to improved survivability from an
injury, and fewer medical complications resulting from delayed or
ineffective treatment. Also, OSHA believes that employers and employees
will benefit from the reorganization and plain-language features of the
final rule, which will make it easier for employers to comply with the
rule and, thus, improve safety and health in general working conditions
in shipyard employment.
Appendix
    In estimating the preventable fatalities under the final rule, the
Agency reviewed accident abstracts from OSHA's IMIS database from the
years 1992-2008 (16 years). The table of accidents (by accident
numbers) below gives a brief description of the accidents and provides
OSHA's determination on the provisions that could have prevented the
accident. The table does not include examples of the 20 percent of
heart-attack deaths that are estimated to be preventable if the
requirements of this rule are followed.

------------------------------------------------------------------------
   Accident number         Brief description          OSHA's findings
------------------------------------------------------------------------
014337851...........  While attempting to repair   Control of Hazardous
                       a hoist, the employee did    Energy.
                       not check the brake to
                       ensure that it was locked
                       in. He had removed all but
                       one bolt when the drum and
                       gear started freewheeling.
                       The paw and spring broke
                       off. The two large gears
                       on the opposite side
                       jammed and the motor shaft
                       started turning. The hub
                       flew off the shaft and
                       stuck the employee in the
                       chest, killing him.
101350262...........  Employees were working in    Control of Hazardous
                       an aerial lift basket on     Energy.
                       an elevator platform
                       (hanger deck level) with
                       the boom extended to the
                       underside of the flight
                       deck. The employees had
                       finished their work and
                       were lowering themselves
                       to hanger deck level, when
                       the elevator unexpectedly
                       ascended towards the
                       flight deck. Both
                       employees were crushed
                       under the lip of the
                       flight deck, while in the
                       basket.
200840650...........  Employees were working on a  Control of Hazardous
                       steering mechanism           Energy.
                       belonging to a tow boat.
                       The electricity was turned
                       off and secured, but the
                       residual energy belonging
                       to the hydraulics was not.
                       A component of this
                       steering mechanism shifted
                       without warning killing
                       one employee.
170611206...........  Employee was electrocuted    Control of Hazardous
                       while working alone on a     Energy.
                       transformer. He seemed to
                       be manually cleaning the
                       ceramic terminals and
                       checking them for cracks.
                       The oil switch to the
                       mound was purportedly in
                       the open position;
                       however, the panel lights
                       indicated that the circuit
                       breaking controlling
                       electric power to the
                       mound was closed. No
                       signs, tags, or locks had
                       been used.
014534143...........  While an electrician was     Control of Hazardous
                       working on a switchboard,    Energy.
                       which was de-energized and
                       tagged, a ship's crew
                       member inadvertently
                       energized the circuit. He
                       was electrocuted.
014509350...........  Employees, conducting valve  Control of Hazardous
                       repair operations on a       Energy.
                       steam piping system, were
                       burned when scalded by
                       stored steam.
302101134...........  Employees came in contact    Control of Hazardous
                       with 4160 volts coming       Energy.
                       from a secondary switch
                       which had not been locked
                       open to de-energize the
                       high voltage going to the
                       load side of panel ZZ4020
                       and ZZ4025.
014436075...........  Accidental energization      Control of Hazardous
                       occurred when an employee    Energy.
                       was standing in the
                       conveyor when one of the
                       ship's crew turned the
                       conveyor on. The ship's
                       crewman was unaware of the
                       other employees' presence.
                       There was no lockout
                       procedure in effect.
200552248...........  A pickup truck with          Motor Vehicle Safety.
                       automatic transmission
                       began to roll back and
                       apparently the victim
                       tried to reach through the
                       driver's side window to
                       put the truck gear in park
                       when he fell and the front
                       driver's side tire rolled
                       over him.
201580073...........  The driver of a straddle     Motor Vehicle Safety.
                       lift truck struck and
                       killed an employee who had
                       been walking on the pier.
000603621...........  An employee was riding a     Motor Vehicle Safety.
                       bicycle while performing
                       regularly assigned tasks
                       when he was hit by a bus.
200550820...........  While standing near the      Control of Hazardous
                       right rear tire, employee    Energy.
                       was operating a battery
                       charger and pushing the
                       loader's button when he
                       apparently contacted a
                       control that caused the
                       machine to suddenly move
                       forward. He was run over
                       by the large rear tire and
                       was killed.
000648550...........  While an employee was        Motor Vehicle Safety.
                       hammering wood wedges in
                       the seal where the floor
                       meets the wall, a bobcat
                       operator backed over him
                       pinning him between the
                       bobcat and the dry dock
                       wall. The employee later
                       died at the hospital after
                       this accident.
------------------------------------------------------------------------
Source: Occupational Safety and Health Administration Integrated
  Management Information System Database.

E. Costs of Compliance

    This chapter presents OSHA's estimate of the rule's costs of
compliance for affected establishments and industries. OSHA based the
costs on the profile of affected employers and workers presented in the
Industrial Profile section of this FEA, on estimates based on data
provided by the "General Industry Lockout/Tagout Regulatory Impact
Analysis" (OSHA, 1989), and on the "Supporting Statement for the
Information Collection Requirements in the Control of Hazardous Energy
(Lockout/Tagout) rule" \13\ (29 CFR 1910.147, OMB Control Number 1218-
0150 (June 2004)).
---------------------------------------------------------------------------

    \13\ The purpose of the Supporting Statement is to analyze and
describe burden hours and cost associated with provisions of this
standard that contain paperwork requirements. The Supporting
Statement does not provide information or guidance on how to comply
with, or how to enforce, these provisions.
---------------------------------------------------------------------------

    This chapter is organized into three sections. The first section
reviews the methodology and describes the type of costs. The second
section presents OSHA's baseline data and analytical assumptions used
to estimate costs. The final section summarizes the costs of compliance
by establishment and provision.
Methodology
    To estimate the compliance costs that the final rule would impose
on employers, it was necessary to assess the extent to which current
industry practice already meets the rule's requirements. Based on that
assessment, the Agency identified five areas in the final rule that
would generate new costs: sanitation, medical services and first aid,
control of hazardous energy, motor-vehicle safety, and servicing multi-
piece and single-piece rim wheels. For the purposes of this FEA, OSHA
assumed that affected firms will seek to minimize their compliance
costs and, thus, calculated the least-cost option to comply with the
provisions of the rule. All cost estimates assume employers will fully
comply with the final rule. Costs are reported as annualized costs,
with capital or one-time costs based on a 7 percent discount rate (as
recommended by OMB) for costs in future years. All one-time costs are
assumed to have a 10-year life.
    This cost analysis does not account for any changes in production
methods, investment effects, or macroeconomic effects of the rule.
Taking into account all of these effects could increase or decrease the
cost estimate presented, although the macroeconomic effects of any rule
with costs as low as these are likely to be minimal. OSHA believes that
this approach, determining the benefits and costs of the final rule for
industry as it is today, is the most reliable and least speculative way
of presenting them.
Baseline Data and Analytical Assumptions
    This section presents the technical specifications, unit costs, and
analytical assumptions underlying OSHA's cost analysis. For those
provisions in the final rule that simply update, consolidate, or
clarify existing requirements, OSHA assumes that no new costs will be
imposed. The Agency did not receive any comments indicating that the
provisions that update, consolidate, or clarify existing requirements
would impose new costs.
    The Agency solicited comment in the record on whether these
provisions imposed new additional costs, and received comments that the
sanitation standard would require a 25 percent increase in toilets at a
cost of $7.5 million for the Newport News, VA, shipyard (James
Thornton, Northrop Grumman, Ex. 120.1), and that the lighting
requirements and housekeeping requirements would increase costs without
increasing safety (Doug Dixon, Pacific Fisherman Shipyard and Electric,
LLC, Ex. 131.1). The Agency considered these comments and concluded
that firms would not incur costs to comply with these provisions if
they were currently complying with the existing shipyard standards.
Section 1915.87 Medical Services and First Aid
    Paragraph (c)(1) requires employers to ensure that there is an
adequate number of employees trained as first aid providers at each
worksite during each work shift to render first aid, including CPR. The
Agency estimates that 2 percent of employees will serve as first aid
providers, and that 50 percent of those employees will need to be
trained or retrained to provide adequate care. According to American
Red Cross data, the cost per person for first aid (including CPR)
training ranges from $35 to $80 plus 4 hours of employee time to
receive the training (ARC, 2010). The Agency is using the median cost
of $55 for this analysis. The per-employee time cost to receive this
training is 4 hours multiplied by the employee's hourly wage rate of
$26.51 for shipyard employees; $28.61 for tug and towing-boat and
passenger-vessel employees; $31.62 for fish-processing vessel
employees; and $16.30 for commercial fishing employees. The total
training cost is $55 times the number of employees needing training.
    First aid equipment and first aid and CPR training on certain
uninspected commercial fishing vessels are regulated by the USCG (46
CFR 28.210). The Agency was unable to obtain data to adequately
estimate the number of commercial fishing vessels subject to USCG first
aid and CPR requirements. Therefore, OSHA estimated costs as if they
would apply to all commercial fishing vessels. This approach likely
will overstate costs for first aid training including CPR training in
the commercial fishing industry. Due to the presence of USCG first aid
training regulations, OSHA believes that commercial vessels already
have an adequate number of first aid providers onboard. The Agency
estimated the total cost related to this provision at $418,349. Table
10 outlines the total annual costs for first aid training including CPR
training.

Table 10 - Annual CPR Training for First Aid Providers

Section 1915.88 Sanitation
    Paragraph (e)(1) requires that employers provide handwashing
facilities at, or adjacent to, each toilet facility. Paragraph
(e)(2)(i) requires employers to ensure that each handwashing facility
is equipped with either hot and cold or lukewarm running water and
soap, or, when it is impracticable to provide running water, with
waterless skin cleansing agents that are capable of disinfecting the
skin and neutralizing the contaminants to which the employee may be
exposed.
    For shipbuilding and repair establishments, OSHA concluded that
they already have handwashing facilities at sewered toilets, but not at
all portable toilets. Thus, they would incur costs for providing
additional handwashing facilities. The Agency also concluded that
commercial vessels have adequate toilet and handwashing facilities
onboard vessels. As such, commercial vessel employers would not have to
provide portable toilet facilities or additional handwashing facilities
to meet employee health and personal needs.
    To comply with the requirement to provide handwashing facilities at
portable toilets, OSHA calculated the least-cost option, which is to
supply each portable toilet with waterless skin cleansing agents. OSHA
assumes that employers in the shipyard industry already are providing
lockable, unisex portable toilets, especially when work is being
performed onboard vessels. OSHA estimates that about one-third of
employees at each shipyard establishment might need to use portable
toilets. OSHA also estimates that employers will provide portable
toilets using the same formula they would use in determining the
adequate number of sewered toilets (Table F-2 in Sec.  1915.88(d)(2)).
    OSHA estimates that waterless cleaning agents for each portable
toilet will be refilled each time the toilet is serviced, which OSHA
assumes will be at least weekly. Further, the Agency estimates that
each bottle of cleanser costs $5 and that the annual cost of cleanser
for each portable toilet is $260 ($5 per bottle times 52 weeks). This
is the annual unit cost. The total annual cost to comply is the unit
cost multiplied by the total number of portable toilets that employers
on each size class will provide, multiplied by the number of
establishments in that size class. Table 11 outlines the costs
associated with this requirement which are estimated to be $748,709.
Note that for this analysis, the Agency assumed for the baseline that
establishments in the shipyard industry currently do not provide
handwashing products at portable toilets. To the extent that employers
are providing such services or products, the final cost estimates may
be lower. Moreover, if an establishment operates on only a seasonal
basis or is shutdown at any time during the year, the costs also may be
lower. OSHA did not receive any comments indicating that the costs the
Agency estimated for providing waterless cleansing agents were
understated.

Table 11 - Annual Costs for Waterless Cleaning Agents

Section 1915.89 Control of Hazardous Energy (Lockout/Tags-plus)
    These provisions apply to the servicing of machinery, equipment,
and systems, including servicing machinery, equipment, and systems
onboard vessels and vessel sections. This also applies to the extent
that other sections in subpart F and part 1915 either involve servicing
operations or require the use of lockout/tags-plus applications. There
are several areas in which employers will incur costs, which are
discussed below.
    The standard requires that employers establish a program to protect
employees from energization, startup, or release of hazardous energy
during the servicing of machinery, equipment and systems in shipyard
employment. This program would have to include: (1) Procedures for
lockout/tags-plus systems, including a lockout/tags-plus coordination
process; (2) procedures for protecting employees involved in servicing;
(3) specification for locks and tags-plus hardware; (4) employee
training; (5) incident investigations; and (6) program audits.
    In estimating the costs for complying with various lockout/tags-
plus applications, OSHA used the following parameters:
     Affected employers were categorized as large (500
employees or more), medium (100-499 employees), small (20-99
employees); and very small (fewer than 20 employees);
     Employment categories and wages used were:
    [cir] Supervisors ($32.98 per hour for shipyard establishments,
$44.13 per hour for water transportation, $33.53 per hour for fish-
processing vessels, $20.37 per hour for commercial fishing)--to develop
the lockout/tags-plus program and procedures, coordinate lockout/tags-
plus applications, and perform training and retraining;
    [cir] Authorized employees ($23.72 per hour for shipyard
establishments, $46.46 per hour for water transportation, $31.78 per
hour for fish-processing vessels, $16.30 for commercial fishing)--to
perform operations involving locking, tagging, and isolation of
hazardous energy sources; to perform servicing; and to conduct incident
investigations and program audits; and
    [cir] Affected employees ($19.51 per hour for shipbuilding and
repair establishments, $30.58 per hour for water transportation, $18.09
per hour for fish-processing vessels, and $16.30 per hour for
commercial fishing)--to adapt their work routine because of lockout/
tags-plus applications.
     Lockout/Tags-plus Program Costs:
    [cir] Time to develop and maintain lockout/tags-plus program and
procedures by employer size;

0
 Large--the Agency concluded, based on comment in the record, that all
large employers already have a written lockout/tags-plus program and
will not incur costs related to the development of a program. However,
OSHA estimates that large employers will require 20 hours initially to
update their programs to comply with the final rule, and 20 hours each
year thereafter to update the program;
0
 Medium--40 hours initially to develop a lockout/tags-plus program, and
12 hours annually thereafter to update the program;
0
 Small--12 hours initially, and 4 hours thereafter; and
0
 Very Small--2 hours initially, and 30 minutes thereafter.
    Based on the supervisor's wage rate, the Agency estimated the
annualized costs to develop the lockout/tags-plus program and
procedures at $91,890, as shown in Table 12, with recurring annual
costs of $275,116 shown in Table 12a. The Agency concluded that
employers will have to update their lockout/tags-plus programs and
procedures at least annually due to the changes at the workplace or in
machinery, equipment, or systems being serviced. OSHA received no
comment in the docket indicating that the estimated number of hours
required to develop and maintain a lockout/tags-plus program were
understated.
    In addition to the costs for shipyard establishments, many other
establishments or contractors engaged in shipyard-employment operations
also would have to develop lockout/tags-plus programs. In the PEA, the
Agency estimated that there are four types of these establishments: (1)
Establishments that do not perform the type of activities requiring
them to develop and implement a lockout/tags-plus program (10%); (2)
establishments using a shipyard's program (15%); (3) establishments
developing their own program (50%); and (4) establishments developing a
joint program with a shipyard (25%). While the final rule requires
contractors working for a host employer to follow that host employer's
lockout/tags-plus program, OSHA maintained some costs for contractors
and other establishments because the Agency believes that they will
spend some time on program development, familiarization, or
implementation.

Table 12 - Lockout/Tags-plus Program Costs by Establishment Size

Table 12a - Recurring Annual Costs for Lockout/Tags-plus Program Updates

    Numerous stakeholders asserted that OSHA understated the costs
associated with developing and implementing a lockout/tags-plus
program. Cynthia Brown of the American Shipbuilding Association (ASA)
said that ASA conservatively estimated that the lockout/tagout
provisions would cost "well over $200 million." She also said that
the first-year costs for the Newport News shipyard to implement the
lockout/tagout requirements were $85 million, with recurring annual
costs of $79 million (Ex. 204.1). John H. James, Jr., Executive
Director of Logistics, Maintenance, and Industrial Operations for the
Navy, said that it would cost each shipyard over $30 million to
implement a lockout/tagout program (Ex. 132.2). Stacy Ballow, of ASA,
testified at the hearing in Washington, DC, regarding the cost of the
proposed hazardous-energy requirements:

    [T]he proposed [lockout/tagout] rule will result in a cost to
the American taxpayers well over $200 million. This figure is based
on an estimated cost of approximately [$]100 million for the six ASA
member shipyards in addition to the Navy's [$]120 million cost
estimate for its four nuclear shipyards. The largest contributor to
this estimate is the proposal's required individual employee
involvement in group lockout/tagout (Ex. 168, p. 238).

    James Thornton, Director of Environmental Health and Safety for
Northrop Grumman (Ex. 120.1), concurred that the proposed group
lockout/tagout provisions would pose the greatest costs, which he
estimated would be at least $19 million annually for the Newport News
shipyard. None of these commenters provided the Agency with specific or
background information on their cost models. Thus, OSHA cannot fully
address their cost concerns. The record for this rule includes evidence
that individual shipyards have successfully implemented lockout/tags-
plus programs similar to the general industry lockout/tagout standard.
This indicates that it is feasible and not overly burdensome for
shipyards to comply with a hazardous energy control program.
    The rule requires that employers follow certain procedures to:
shutdown machinery, equipment or systems; deenergize machinery,
equipment or systems; isolate and secure power sources; verify
isolation; and apply locks or tags-plus systems. The costs for this
subsection include: (1) The time to implement the required procedures;
(2) the time to apply lockout/tags-plus applications to power sources
or energy-isolating devices; (3) the time to implement additional safety
measures; (4) the time to apply tags to the energy-isolating device;
and (5) the time to complete the required lockout/tags-plus log.
    The power sources considered in this analysis include electrical
(primary), air, hydraulic, and steam (primary); electrical (secondary);
air, hydraulic, and steam (secondary); and all non-vessel sources (for
example, electrical panel boxes in buildings and in off-site
establishments) to which locks or tags-plus systems are applied. The
unit costs are presented in Table 13, and are based on the following
estimates:
     Large shipyards and commercial vessels industries (those
with 500 or more employees) are already employing some form of energy
control when performing work on electrical systems or equipment. OSHA
estimates that those shipyards and commercial-vessel industries will
not incur any additional costs associated with applying a lockout or
tags-plus system. This estimate is consistent with evidence presented
in the rulemaking record.
     OSHA estimates that medium, small, and very small
shipyards and commercial-vessel industries (those with fewer than 500
employees) do not currently employ any form of lockout or tags-plus
system when performing electrical work other than as required by 29 CFR
1915, subpart J (Ship's Machinery and Piping Systems), and subpart L
(Electrical Machinery). Additional costs will include the time to go to
the system, tag it, and attach a clip. Also included is the cost of the
required hardware. The labor-time estimate includes the time to notify
the affected employees of the application and removal of lockout or
tags-plus devices.
    [cir] OSHA estimates that the cost of the tag is $1.00 \14\ and the
cost of a tie is $0.03. Tags can be used an estimated 7 times, so that
the cost per use is $0.14. There may be some additional hardware costs,
but the unit cost per use is very low, and additional hardware costs
will not affect the feasibility of compliance with the final rule. The
labor cost is 2 minutes of time at an authorized employee's wage rate.
The total unit cost of securing a primary electric power source is
$1.07 for shipyards, $0.53 for commercial fishing, $1.20 for fish-
processing vessels, and $1.69 for water transportation. The unit cost
for securing hydraulic or air-powered power sources is estimated at
$24.69 for shipyards, $12.77 for commercial fishing, $32.74 for fish-
processing vessels, and $47.42 for water transportation. OSHA estimates
that 1 hour of authorized employee time is needed to secure air and
hydraulic power sources.
---------------------------------------------------------------------------

    \14\ This estimate is taken from the General Industry Regulatory
Impact and Regulatory Flexibility Analysis of 29 CFR 1910.147
"Control of Hazardous Energy Sources (Lockout/Tagout)" standard.
In reviewing the cost of a tag, the Agency found that tags average
from $0.88 to $1.24 each. Thus, the estimate of $1.00 per tag seems
reasonable.
---------------------------------------------------------------------------

     The Agency is retaining the estimates from the PEA of the
cost to provide full employee protection which includes implementing an
additional safety measures to reduce the likelihood of inadvertent
energization so that a tags-plus system provides the equivalent safety
available from the use of a lock. OSHA estimated 6 lockouts or tags-
plus systems applied per authorized employee per year to secure backup
electrical systems, and 1 lockout or tags-plus system applied per year
per authorized employee to secure air or hydraulic secondary systems,
except for contract employees and off-site employees, who will perform
20 such lockout or tags-plus activities per year of backup electrical
systems. Current regulations do not cover back-up power systems, nor
are they generally isolated and/or locked or tagged under current
practice. OSHA believes that all establishments will incur costs to
comply with this requirement, and that the same procedure will be used
for securing back-up systems as for primary systems with the same type
of power. The additional costs to comply with this requirement will
include the time to go to the system and implement the additional
safety measure which OSHA estimates will take 2 minutes for electrical
back-up power sources and 1 hour for air and hydraulic power sources.
Estimates of the number of secondary or multiple-source lockouts or
tags-plus applications are presented in Table 14.
     OSHA estimated that small and very small contractors and
off-site establishments in the shipyards industry will install, on
average, one lockout or tags-plus system per week, that medium
shipyards will install five lockout or tags-plus systems per day, and
that commercial vessels will install five lockout or tags-plus systems
per year.
     OSHA estimated that half of the activities that require
lockout or tags-plus systems are already covered under 29 CFR 1915,
subparts L and J, and that subpart F will only require lockout or tags-
plus systems to be applied in half of the cases estimated above.
     The Agency also estimates that one out of every twenty
lockout or tags-plus applications will be installed on air or hydraulic
systems, and that the rest of the applications will be on electrical
systems.
    OSHA estimated that 10 percent of production workers would be
considered authorized employees. The Agency presented this estimate in
the PEA, and did not receive any comments in the record indicating that
the estimate of authorized employees was understated. The number of
affected employees was estimated in the PEA to be 20 percent of
production workers. Comment in the record from Cynthia Brown of the ASA
(Ex. 204.1) expressed concern that estimates of affected employees may
not be capturing all employees affected by lockout/tags-plus
applications. Ms. Brown reported that an estimate of affected employees
used in a project to assess the costs of implementing lockout/tags-plus
for Northrop Grumman Shipbuilding-Newport News may have excluded
personnel in trades other than primary trades and, therefore,
underestimated costs. OSHA concludes that personnel, other than those
servicing machinery, equipment, or systems, may be affected by lockout/
tags-plus applications by their proximity to those machines, equipment,
or systems, but believes that employers can reduce the number of
affected employees by removing nonessential personnel from the area
where servicing in lockout/tags-plus is being performed. The Agency
also believes that all employees currently receive an introduction to
lockout/tags-plus procedures during the general workplace orientation
which provides adequate training for employees affected only by their
proximity to work being performed on electrical equipment or systems.
OSHA estimated the total costs of securing energy sources to be
$513,406.

Table 13 - Annual Costs of Securing Energy Sources by Establishment Size

Table 14 - Multiple or Secondary Energy Sources Secured Per Year by Establishment Size

    The final rule requires a lockout/tags-plus coordinator to complete
a lockout/tags-plus log that contains the location and type of
machinery, equipment, or system to be serviced, the name of the
authorized employee who is applying the lockout/tags-plus system, the
date the system is applied, the name of the authorized employee
removing the lock or tags-plus system, and the date the system is
removed. The Agency estimated that it would take 5 minutes of the
lockout/tags-plus coordinator's time (at the authorized employee's wage
rate) to complete the lockout/tags-plus log per lockout/tags-plus
application. The number of lockout/tags-plus activities per year is
based on the estimates presented above. Table 15 outlines the total
costs related to creating the lockout/tags-plus log which OSHA
estimates to be $264,763.

Table 15 - Costs of Creating the Lockout/Tags-plus Log by Establishment Size

Lockout/Tags-Plus Material and Hardware Sec.  1915.89(n)
    OSHA anticipates that clips, tags, ties, and any other necessary
equipment will be procured and maintained by a supervisor ($32.98 per
hour for shipyards, $44.13 per hour for water transportation, $33.53
per hour for fish-processing vessels, $20.37 per hour for commercial
fishing). The Agency estimates that an initial procurement of this
equipment will occur per establishment, and that it will take longer
initially due to time needed for employers to research the unique
characteristics of the devices outlined in the rule. The Agency
concluded that less time is needed to reorder these items. These costs
are outlined in Table 16. For example, the initial cost for a large
shipyard is $263.84 ($32.98 times 8 hours). When this cost is
annualized, the unit cost is $37.57. The Agency estimates that
employers would spend some time annually to reorder protective
materials and hardware. For large establishments (having more than
1,000 employees), OSHA estimates that, annually, establishments will
spend 4 hours each of a supervisor's time to reorder materials and
hardware. The estimated times required for selection, purchase, and
distribution of lockout and tags-plus equipment in different sized
establishments are:
     Large--8 hours initially, and 4 hours annually thereafter;
     Medium--5 hours initially, and 2 hours annually
thereafter; and
     Small--3 hours initially, and 1 hour annually thereafter.

The cost of the materials themselves are accounted for as part of the
unit cost of performing a lockout or tags-plus application and are not
considered in this section.
Off-Site Establishments
    OSHA estimates that off-site establishments will incur much smaller
costs of procuring equipment than shipyards. In particular, OSHA
estimates that it will take 20 minutes for a supervisor initially to
select the lock and chain, and five minutes annually to reorder these
items. Based on the estimated wage rate for a supervisor, off-site
establishments will incur unit costs of $1.55 (initially), and unit
costs of $2.64 thereafter. The Agency estimated these costs as if
employers are not currently performing this function, thus assigning a
baseline of zero. Final costs may be lower if employers already are
ordering and storing this equipment.
    OSHA estimated the total costs associated with procuring lockout/
tags-plus hardware and materials to be $135,503.

Table 16 - Lockout/Tags-plus Materials and Hardware by Establishment Size

Incident Investigations Sec.  1915.89(p)
    The final rule requires employers to investigate each incident that
resulted in, or could reasonably have resulted in, energization or
startup, or the release of hazardous energy. The employee conducting
the investigation is required to complete a written report of the
findings from the investigation that includes the date and time of the
incident, and when the incident investigation began; the location,
description, and factors that contributed to the event; a copy of any
lockout/tags-plus log that was current at the time of the incident; and
any corrective actions that need to be taken as a result of the
incident. OSHA estimates that incident investigations will be required
in one percent of all lockout/tags-plus events, which are estimated
based on figures presented in the Cost of Compliance section above. It
is estimated that the incident investigation and written report will
take five workdays (40 hours) of authorized employee time to complete.
These costs, which are estimated to be $1,056,202, are presented in
Table 17.

Table 17 - Incident Investigations Costs

Program Audits [se'ct] 1915.89(q)(1)
    The rule requires employers to conduct an audit of the lockout/
tags-plus program and procedures at least annually to ensure that the
procedures and the requirements of this standard are being followed,
and to correct any deficiencies. OSHA estimates that the audit itself
will take 30 minutes each of a supervisor's and authorized employee's
time. An additional 20 minutes of supervisor time is needed to prepare
the certification record. Also, each inspection will consist of follow-
up training of an estimated five authorized employees and five affected
employees for 15 minutes each performed by the supervisor. OSHA
presented these estimates in the PEA and did not receive any comments
in the record indicating that the estimated time requirements for
program audits (referred to as periodic inspections in the proposal)
were understated.
    For off-site establishments and shipyard contractors, OSHA believes
that the costs of program audits will be minimal, as most of these
activities will be incorporated into routine supervision. However,
because of the paperwork involved, OSHA estimates that twenty
additional minutes of supervisor time will be required annually for
each establishment. Table 18 presents the total annual cost of $254,191
relating to program audits.

Table 18 - Program Audits Costs

Information and Training Sec.  1915.89(o)
    OSHA estimates that employers will incur training costs under the
rule. The rule requires that employers train authorized employees,
affected employees, and employees who will serve as the lockout/tags-
plus coordinator.
Training Authorized Employees
    Under the rule, the number of authorized employees who must be
trained (Table 19) is estimated as those who engage in lockout/tags-
plus applications. The unit-cost estimate for training authorized
employees consists of one hour of preparation time plus two hours of
delivery time for a supervisor, and two hours per employee to attend
the training, except for very small employers who OSHA estimates will
only require one hour of authorized employee time to complete the
training. This time estimate also includes the time needed to develop
the training record, estimated at three minutes of administrative time
per employee. The Agency estimates that each training class will have
10 employees. The cost of training is then annualized. Using a turnover
rate of 32.5 percent for the shipyard industry and fish-processing
vessels, and 43 percent for water transportation and commercial
fishing, 3 shipyard and fish-processing vessel employees and 4 water-
transportation and commercial fishing employees must be trained each
year for every class of 10 that was initially trained. Thus, the cost
for retraining these employees annually is the total cost of the class
divided by 10, then multiplied by the number of employees being trained
(3 or 4). Two hours of supervisory time cost is added to get the
recurring unit cost. An estimate of the number of off-site authorized
employees who need training also is included. OSHA estimates the total
cost to train authorized employees to be $147,275.

Table 19 - Annualized Information and Training Costs by Establishment - Authorized Employees

Training Affected Employees
    The number of affected employees in Table 20 represents a
proportion of total employees that are impacted by lockout/tags-plus.
In the PEA, this number was estimated to be twice the number of
authorized employees. The Agency received no comment suggesting this
number was incorrect. OSHA estimates that training consists of thirty
minutes of preparation time plus one hour of delivery time for a
supervisor, and one hour per affected employee to attend the training;
and that each training class will have 10 employees. The cost is then
annualized and estimated on a per-employee basis. An additional three
minutes of secretarial time per employee is included to prepare and
maintain the training record. Using a turnover rate of 32.5 percent for
the shipyard industry and fish-processing vessels, and 43 percent for
water transportation and commercial fishing, three or four employees
must be re-trained each year for every class of ten that was initially
trained. Thus, the cost for re-training these employees is the total
cost per class divided by 10, then multiplied by the number of
employees being trained (3 or 4). The supervisory time cost is added to
get the recurring unit cost. An estimate of the number of off-site
affected employees working in shipyards that need training is also
included. The total cost associated with training affected employees is
$117,756.

Table 20 - Annualized Information and Training Costs by Establishment - Affected Employees

Training Lockout/Tags-Plus Coordinators
    The number of lockout/tags-plus coordinators who will need to be
trained as a result of this final rule, and the costs that will be
incurred due to that training, are presented in Table 21. OSHA
estimates that half of those employees trained as authorized employees
will also be trained as lockout/tags-plus coordinators. The Agency
estimates that it will take two hours of supervisor time to prepare the
training, four hours to deliver the training, and four hours of
authorized employee time to receive the training. It is estimated that
10 employees will attend each session. The cost is then annualized and
estimated on a per-employee basis. An additional three minutes of
secretarial time per trained employee is included to prepare and
maintain the training record. Using a turnover rate of 32.5 percent for
the shipyard industry and fish-processing vessels, and 43 percent for
water transportation and commercial fishing, three or four employees
must be re-trained each year for every class of ten that was initially
trained. Thus, the cost for re-training these employees is the total
cost per class divided by 10, then multiplied by the number of
employees being trained (3 or 4). The supervisory time cost is added to
get the recurring unit cost. OSHA estimates the total cost to train the
lockout/tags-plus coordinator to be $148,294.

Table 21 - Annualized Information and Training Costs by Establishment - Lockout/Tags-plus Coordinator

Section 1915.93 Motor-Vehicle Safety Equipment, Operation, and
Maintenance
    The motor-vehicle safety provisions apply to vehicles used to
transport employees, materials, or property at worksites engaged in
shipyard employment. OSHA estimates that employers in the shipyard
industry will incur costs in complying with the requirement to
reinstall safety equipment that has been removed from motor vehicles.
This provision only applies to employer-provided vehicles. OSHA
believes that shipyards are generally in compliance with the
requirement that new motor vehicles must be equipped with seat belts,
and the Agency did not receive any comments indicating that this is not
the case. The final rule requires that safety equipment not be removed
from motor vehicles; however, if safety equipment is removed, it must
be re-installed. OSHA estimates that it will take an hour of
transportation maintenance and repair technician time, at $21.61 per
hour (including benefits), to replace vehicle safety equipment. This is
a one-time cost. In the PEA, the Agency used an estimate of 5 percent
of the number of employees (per size class) to determine the number of
instances per size class when a maintenance and repair technician would
need to reinstall previously removed safety equipment. OSHA did not
receive any comment indicating that the estimate of the cost of
reinstalling safety equipment was misstated. Table 22 presents
estimates of these costs which total $13,557.

Table 22 - Reinstalling Safety Equipment Costs by Establishment

Section 1915.94 Servicing Multi-Piece and Single-Piece Rim Wheels
    The provisions for servicing multi-piece and single-piece rim
wheels are identical to those in the general industry standard (29 CFR
1910.177). The rule applies to servicing multi-piece and single-piece
rim wheels used on large motor vehicles such as trucks, tractors,
trailers, buses, and off-road vehicles. It does not apply to servicing
rim wheels used on automobiles or on pickup trucks and vans equipped
with automobile tires or truck tires designated "LT." OSHA assumed
that no servicing of rim wheels takes place on commercial vessels.
    OSHA believes affected employers already are using the servicing
practices that Sec.  1910.77 requires, or could adopt them with no real
change in cost; therefore, the only new cost the provision would impose
is employee training. OSHA estimates that training time is limited to
startup training for existing employees and, thereafter, retraining as
needed if an evaluation indicates than an employee is not retaining
proficiency, as well as initial training for new employees who perform
this servicing.
    The Agency believes that only large shipyards perform this type of
rim-wheel maintenance, and that other establishments engaged in
shipyard employment contract out this task. OSHA estimates that each
transportation maintenance and repair technician will receive a 30-
minute training class (\1/2\ hour of employee time at $21.61 per hour =
$10.80). The supervisor who teaches the class is estimated to spend 15
minutes preparing for the class (\1/4\ hour of supervisor time at
$32.98 per hour = $8.24), and 30 minutes delivering the training (\1/2\
hour of supervisor time at $32.98 per hour = $16.49). OSHA presented
these cost estimates in the PEA, and solicited comment regarding these
estimates for servicing rim wheels. The Agency did not receive any
comments indicating that the estimates of costs were understated, or
suggesting improvements to the cost estimates for this provision. The
costs for training employees in servicing multi-piece and single-piece
rim wheels which the Agency estimates to total $330 are presented in
Table 23.

Table 23 - Single & Multi-piece Rim Wheels Training Costs by Establishment

Estimated Total Industry Compliance Costs
    Estimated costs of the final rule are both directly and indirectly
functions of type, size, and number of affected establishments. In
addition, they are a function of the number of first aid providers who
require CPR training, the number of authorized and affected employees
for lockout/tags-plus, the number of motor vehicles requiring re-
installation of motor-vehicle safety equipment, and the amount of rim-
wheel servicing performed. Table 24 shows the estimated cost of the
final rule by provision. The Agency estimates that compliance with the
rule will cost $4,185,342 (total annualized) annually for the affected
establishments and industries combined. The lockout/tags-plus
provisions account for the largest portion (about 75 percent) of these
costs.

Table 24 - Total Annualized Compliance Costs by Provision

    Table 25 outlines the estimated total annualized compliance costs
per establishment. Larger establishments have greater annualized
compliance costs. The economic impacts of these costs are presented in
section F of this FEA.

Table 25 - Estimated Total Annualized Compliance Costs Per Establihment

Net Benefits
    In accordance with EO 12866 and OMB policy, and for informational
purposes, the Agency compared the estimated costs of compliance to the
monetized benefits of the final rule. The Agency estimates monetized
death benefits of $10.4 million and monetized injury benefits of $23.4
million annually (see the Benefits section of this FEA), for total
monetized benefits of $33.8 million. When the total annualized
compliance costs are compared to these estimates (total monetized
benefits), the Agency concludes that the net benefits of the final rule
will total about $29.6 million.

F. Economic Impacts, Feasibility, and Regulatory Flexibility Screening
Analysis

    OSHA determined that the costs of complying with the final rule
will not impose significant economic impacts on employers in the
affected industries; therefore, OSHA concludes that the rule is
economically feasible. The rule imposes modest costs, and the increased
safety and reduction in injuries and fatalities associated with the
final rule will reduce employers' direct and indirect costs. This
analysis of economic impacts is based on the industry data presented in
the Industrial Profile section, and the cost estimates presented in the
Costs of Compliance section of this FEA.
Economic Impacts
    To determine whether the rule's projected costs of compliance would
raise issues of economic feasibility for affected employers and would
alter the competitive structure of the affected industries, OSHA
compared quantitative estimates of the compliance costs (section D of
this FEA) with industry revenues and profits. After accounting for
current industry practice with regard to general working conditions in
shipyard employment and the costs of compliance under the final rule,
OSHA estimated that the annualized incremental (new) compliance costs
of the rule will be $4,185,342.
    Compliance with the rule will not involve large up-front
investments. The major costs of the final rule involve the control of
hazardous energy. As mentioned earlier, many establishments engaged in
shipyard employment already have developed and implemented written
programs for the control of hazardous energy, including most large
and very large establishments. For many of these establishments,
their energy-control programs cover servicing operations both at
landside facilities and aboard vessels. Other establishments have, at a
minimum, energy-control programs for servicing operations performed
landside. Most costs related to the lockout/tags-plus requirements in
the final rule, including written programs and procedures, hazard
prevention, and training, are proportional to the number of workers and
employers and revenues earned. The same is true for the costs related
to implementing the first aid, including CPR, training and handwashing
requirements in the final rule.
Economic Feasibility
    To assess the standard's potential economic impacts, OSHA compared
the anticipated costs of achieving compliance against revenues and
profits of the affected entities. OSHA compared baseline financial data
with total annualized costs of compliance by computing compliance costs
as a percentage of revenues and as a percentage of pre-tax profits.
This impact assessment is presented in Table 26 for the shipbuilding,
ship-repair and shipbreaking sectors combined (and collectively
referred to as "shipyards"), and for commercial fishing, fish
processing on board vessels, tug and towing boats, and passenger
vessels combined (collectively referred to as "commercial vessels").
This screening analysis is used to determine whether the compliance
costs associated with the final rule would lead to significant impacts
on affected establishments. The actual impact on profits and revenues
in a given industry will depend on the price elasticity of demand for
the services sold by establishments in that industry.

Table 26 - Economic Impacts of the Standard

    Price elasticity refers to the relationship between the price
charged for a service and the demand for that service. The more elastic
the relationship, the less able an establishment is to pass the costs
of compliance through to its customers in the form of a price increase,
and the more it will have to absorb the costs of compliance from its
profits. When demand is inelastic, establishments can recover all the
costs of compliance simply by raising the prices they charge for that
service. Under this scenario, profits are untouched.
    However, when demand is elastic, establishments cannot recover all
the costs simply by passing the cost increase to customers in the form
of a price increase. Instead, they must absorb some of the increase
from their profits. In general, "[w]hen an industry is subjected to a
higher cost, it does not simply swallow it; it raises its price and
reduces its output, and in this way shifts a part of the cost to its
consumers and a part to its suppliers" (American Dental Ass'n v.
Martin, 984 F.2d 823, 829 (7th Cir. 1993)).
    If demand is completely inelastic (i.e., price elasticity is 0),
then the impact of compliance costs that amount to 1 percent of
revenues would be a 1 percent increase in the price of the product or
service, with no decline in demand or in profits. Such a situation
would most likely occur when there are few, if any, substitutes for the
product or service offered by the affected sector, or if the products
or services of the affected sector account only for a small portion of
the income of its consumers. By contrast, if the demand is perfectly
elastic (the price elasticity is infinitely large), then no increase in
price is possible, and before-tax profits would be reduced by an amount
equal to the compliance costs (minus any savings resulting from
improved worker safety and health and reduced worker compensation
insurance costs). Under this scenario, if the costs of compliance
represent a large percentage of the sector's profits, some
establishments might be forced to close. However, this scenario is
highly unlikely to occur. It can only arise when there are other goods
and services that are, in the eye of the consumer, perfect substitutes
for the goods and services the affected establishments produce or
provide.
    A more likely or common scenario would be a price elasticity of 1.
In this situation, if the costs of compliance amount to 1 percent of
revenues, then production would decline by 1 percent and prices would
rise by 1 percent. In this situation, the sector would remain in
business and have the same revenues as before the rule became
effective. In many instances, depending on the supply curve, the sector
also would have approximately the same profits as before, but would
produce 1 percent less of its services. Consumers would effectively
absorb the costs through a combination of increased prices and reduced
consumption, which the court in American Dental Ass'n, 984 F.2d at 829,
indicated is the more typical case.
    In the case of this final rule, if costs are completely passed on
to consumers, prices would increase by 0.01 to 0.03 percent, a
consequence unlikely to have an effect on the viability of the affected
industries. Alternatively, with no price increase, profits would
decrease 0.33 percent for shipyards and 0.38 percent for commercial-
vessel industries, a decrease that would have no effect on the economic
viability of these industries. Therefore, OSHA concludes that this rule
is economically feasible.
    One commenter noted the precarious financial situation of the
fishing and fish-processing industry, stating:

    A large part of Shipyard Employment in the Pacific Northwest
hinges closely on to the success or failure of the fishing and fish
processing industry. Because the fishing industry in our area is
cyclical, one "bad" year or even a single "loss" season of
fishing may in turn result in two or three abominable years for the
rest of Shipyard Employment.
    The "minimal potential impact on both prices and profits" as
stated in your report may not be applicable to the Shipyard
Employment in the Pacific Northwest because both prices and profits
do not remain constant in our region. In fact, they do vary greatly
from year to year, and from season to season, and sometimes day to
day.
    Hence, the conclusion made by OSHA "that the proposed
regulation is economically feasible" definitely may not be
appropriate or applicable to our region (Ex. 121.1).

    OSHA understands the situation of the industries affected by this
rule, and recognizes that profits are not consistent and are affected
by a sometimes volatile marketplace. That said, the overall economic
impacts of the final rule on profits in these industries are
negligible, even in the case of an occasional poor season. The Agency
also was unable to identify a regional variation in the impacts of the
final rule, and believes that it will be not be more burdensome on
affected establishments in the Pacific Northwest than on establishments
in other parts of the country.
Regulatory Flexibility Screening Analysis
    The RFA requires Federal agencies to determine whether their
regulatory actions will have a significant impact on a substantial
number of small entities. Pursuant to the RFA, OSHA assessed the small-
business impact of the final rule. On the basis of a regulatory
flexibility screening assessment and the underlying data, summarized
above, OSHA certifies that the rule will not have a significant impact
on a substantial number of small entities.
    The RFA procedures require that OSHA examine costs as a percentage
of revenues and profits. OSHA guidelines consider an impact potentially
significant if any size class in any industry has compliance costs
greater than 1 percent of revenues or costs greater than 5 percent of
profits.
    In the analysis of impacts, OSHA estimates the costs of compliance
by dividing the per-establishment compliance cost by the per-
establishment revenues, reported by the U.S. Census Bureau. In this
case, the compliance costs as a percentage of revenues are estimated at
0.02 percent of revenues for all establishment size group in shipyards,
and 0.01 percent of revenues for all establishment size groups in
commercial-vessel industries (Table 27). Thus, when examined in the
context of total revenues for the affected sectors, OSHA judges that
the impact of the compliance costs on prices will not be significant.
Even when examined by individual NAICS industry and size class, the
costs of compliance as a percent of revenues does not rise to a level
that is close to significant for any industry or size class.
    OSHA also estimated the compliance costs as a percentage of pre-tax
profits. Profits were estimated using total receipts and net income
data published in the Corporation Source Book of Statistics of Income
(IRS, 2006). As presented in Table 27, the average decline in profits
for shipyards under this worst-case scenario would range from 0.33
percent (all employment size classifications) to 0.63 percent (1-19
employment size classifications). The worst-case scenario for
commercial vessel industries would range from 0.38 percent (all
employment-size classifications) to 0.96 percent (1-19 employment-size
classification). Such declines would not have an effect on the
competitive structure of any of the affected industries. Even when
examined by individual NAICS industry and size class, the costs of
compliance as a percent of profits does not rise to a level that is
close to significant for any industry or size class. Although the
Agency only presents economic impacts for the 1-19, 1-200, 1-1,000
employment-size classifications, as well as all firm categories
combined, OSHA also estimated compliance costs for the following size
classes: 100-199, 200-499, 500-1,000, and 1,000 and up (see the Costs
of Compliance section of this FEA).

Table 27 - Small Firm Impacts

    OSHA believes that, prior to the generation of the cost savings
projected to accrue from implementation of the final rule, most
affected establishments will respond to the increase in direct costs by
increasing prices somewhat, and absorbing the remaining costs from
profits. Commercial-fishing vessel establishments may absorb a greater
amount of the cost increase from their profits because the market price
they can command for their product likely cannot be influenced by the
employers. However, the worst-case scenario reduction is still a very
small percentage of profits, and the Agency does not believe that this
will impose an undue burden on the industry. OSHA believes that most
affected employers will experience little economic impact after the
final rule is implemented. OSHA estimates that cost savings will soon
offset any price and profit impacts.
References

American Red Cross [ARC, 2005], Health and Safety Services.
Retrieved July 26, 2005, from the Internet at
http://www.redcross.org/services/hss/courses/adultcpraed.html.
Bureau of Labor Statistics [BLS, 2006], Current Employment Survey,
April 2006. Description obtained from BLS webpage at
http://www.bls.gov/ces/home.htm.
Bureau of Labor Statistics [BLS, 2006], Employer Costs for Employee
Compensation. Available at the BLS webpage at
http://www.bls.gov/ncs/home.htm.
Bureau of Labor Statistics [BLS, 2003], Employment & Earnings,
January 2003.
Bureau of Labor Statistics [BLS, 2002], "Lost worktime injuries and
illnesses: characteristics and resulting time away from work,
2000." Available at the BLS webpage at
http://www.bls.gov/iif/oshwc/osh/case/osnr0015.pdf.
Bureau of Labor Statistics [BLS, 2000], National Occupational
Employment and Wage Estimates. Available at the BLS webpage at
http://www.bls.gov/oes/2000/oes131073.htm.
Bureau of Labor Statistics [BLS, 2010], New Monthly Date Series of
Job Openings and Labor Turnover Announced by BLS. Available at the
BLS webpage at http://stats.bls.gov/news.release/jolts.nr0.htm.
Bureau of Labor Statistics [BLS, 2000], Occupational fatalities in
1992- 2002. Available at the BLS webpage at
http://www.bls.gov/iif/oshcfoi1.htm.
Bureau of Labor Statistics [BLS, 2000], Occupational injuries and
illness data in 1992-2001. Available at the BLS webpage at
http://www.bls.gov/iif/home.htm.
Environmental Protection Agency [EPA, 2000], Guidelines for
Preparing Economic Analyses, 2002.
Internal Revenue Service [IRS, 2006], Corporation Source Book of
Statistics of Income, 2006.
Occupational Safety and Health Administration [OSHA, 2006],
Integrated Management Information System Occupational Fatality
abstracts, 2006. Available at the OSHA webpage at www.osha.gov.
Occupational Safety and Health Administration [OSHA, 2002],
Preliminary Economic and Regulatory Flexibility Screening Analysis
for the Fire Protection in Shipyard Employment Proposed Rule (OSHA
Docket No. S-051, x.. 15). Available at the OSHA webpage at http://www.osha.gov.
Occupational Safety and Health Administration [OSHA, 1989],
Regulatory Impact and Regulatory Flexibility Analysis of 29 CFR
1910.147 (The Control of Hazardous Energy Sources--Lockout/Tagout),
(OSHA Docket No. S-012A, Ex. 71). Available on the OSHA Webpage at
http://www.osha.gov.
Occupational Safety and Health Administration [OSHA, 2004],
Supporting Statement for the Information Collection Request for the
standard on the Control of Hazardous Energy (Lockout/Tagout) (29 CFR
1910.147 (OMB Control Number 1218-0150), June, 2004.
Office of Mangement and Budget, Executive Office of the President
[OMB, 1987], Standard Industrial Classification Manual, 1987.
U.S. Census Bureau [CB, 2007], 2007 Economic Census. Available on
USCB webpage at http://www.census.gov/econ/census07/.
U.S. Small Business Administration [SBA, 1996], Table of Size
Standards, 1996.
U.S. Small Business Administration [SBA, 2006], 1990-1998 all
industries data
Available at the SBA webpage at
http://www.sba.gov/advo/research/data.html#us.
Viscusi, Kip and Aldy, Joseph [Viscusi and Aldy, 2003], "The Value
of a Statistical Life: A Critical Review of Market Estimates
Throughout the World," 27 Journal of Risk and Uncertainty 1, 5-76,
2003.

V. Environmental Impact

    OSHA has reviewed the final rule on general working conditions in
shipyard employment in accordance with the requirements of the National
Environmental Policy Act (NEPA) of 1969 (42 U.S.C. 4321 et seq.), the
regulations of the Council on Environmental Quality (40 CFR part 1500
et seq.), and OSHA's DOL NEPA procedures (29 CFR Part 11). Based on
this review, OSHA has determined that this final rule will have no
significant effect on air, water, or soil quality; plant or animal
life; use of land; or other aspects of the environment.

VI. Federalism

    OSHA has reviewed this final rule in accordance with the Executive
Order 13132 on Federalism (64 FR 43255, August 10, 1999). This E.O.
requires that Federal agencies, to the extent possible, refrain from
limiting State or local policymaking discretion, consult with State and
local officials prior to taking any actions that would restrict State
or local policymaking discretion, and take such actions only when clear
constitutional and statutory authority exists for the action, and where
there is a problem of national significance. The E.O. allows Federal
agencies to preempt State law only where the statute contains an
express preemption provision or there is some other clear evidence that
Congress intended preemption of State law, or where the exercise of
State authority conflicts with the exercise of Federal authority under
the Federal statute. Any such preemption is to be limited to the extent
possible.
    In Section 18 of the OSH Act (29 U.S.C. 667) Congress expressly
provides that States may adopt, with Federal OSHA approval, a plan for
the development and enforcement of occupational safety and health
standards. States that obtain Federal approval for such plans are
referred to as "State-Plan States" (29 U.S.C. 667). Occupational
safety and health standards developed by such State-Plan States, among
other things, must be at least as effective in providing safe and
healthful employment and places of employment as Federal OSHA
standards. Subject to these requirements, State-Plan States are free to
develop and enforce under State law their own requirements for
occupational safety and health standards.
    This final rule complies with E.O. 13132. In States that do not
have OSHA-approved State Plans, this rule limits State policy options
in the same manner as all OSHA standards. In States with OSHA-approved
State Plans, this action does not significantly limit State policy
options.

VII. Unfunded Mandates Reform Act

    OSHA reviewed this final rule in accordance with the UMRA (2 U.S.C.
1501 et seq.) and Executive Order 12875 (58 FR 58093, October 28,
1993). As discussed above in section IV of this preamble ("Final
Economic and Regulatory Flexibility Analysis"), the final rule does
not include any Federal mandate that may result in increased
expenditures by State, local, and tribal governments, and OSHA
estimates that compliance with the rule will require expenditures by
affected private employers of considerably less than $100 million per
year. Therefore, this rule is not a "significant regulatory action"
within the meaning of the UMRA (2 U.S.C. 1532) and is not subject to
review of the budgetary effects of the final standard on the private
sector (2 U.S.C. 1532(a)). OSHA standards do not apply to State, local,
or tribal governments except in States that have voluntarily elected to
adopt a State Plan approved by the Agency. Consequently, this final rule
does not meet the definition of a "Federal intergovernmental mandate"
(see sec. 421(5) of UMRA, 2 U.S.C. 658(5))). In sum, this action does
not mandate that State, local, and tribal governments adopt new, unfunded
regulatory obligations.

VIII. Office of Management and Budget Review Under the Paperwork
Reduction Act of 1995

    The final General Working Conditions in Shipyard Employment
Standard contains collection of information requirements (paperwork)
that are subject to review by the Office of Management and Budget
(OMB). In accordance with the Paperwork Reduction Act of 1995 (PRA-95)
(44 U.S.C. 3506(c)(2)), the proposed regulation solicited public
comments on the General Working Conditions in Shipyard Employment (29
CFR 1915, subpart F) Information Collection Request (ICR) (paperwork
burden hour and cost analysis) for the proposal. The Department also
submitted this ICR to OMB for review in accordance with 44 U.S.C.
3507(d) on December 20, 2007. On February 15, 2008, OMB informed the
Department of Labor to use OMB Control Number 1218-0259 in future
paperwork submissions involving this rulemaking. OMB also commented,
"This OMB action is not an approval to conduct or sponsor an
information collection under the Paperwork Reduction At of 1995." OMB
also stated that "OMB will review the proposed collection again in
parallel with the final regulation prior to approval."
    OSHA received no public comments on the General Working Conditions
in Shipyard Employment (29 CFR 1915, subpart F) ICR. A number of
comments, described earlier in this preamble, contained information
relevant to the burden hour and costs analysis that OSHA considered
when it developed the revised ICR associated with this final rule.
    The Department of Labor submitted the final ICR to OMB for
approval. A copy of the ICR is available at http://www.reginfo.gov.
OSHA will publish a separate notice in the Federal Register that will
announce the results of that review. The Department of Labor notes that
a Federal agency cannot conduct or sponsor a collection of information
unless it is approved by OMB under the PRA-95, and displays a currently
valid OMB control number. Also, notwithstanding any other provision of
law, no employer shall be subject to penalty for failing to comply with
a collection of information if the collection of information does not
display a currently valid OMB control number.
    The following paragraphs identify the collection of information
requirements contained in the final rule.

Section 1915.83 Utilities

    Paragraph (a)(1) requires employers to obtain a written or oral
determination from a responsible vessel's representative, a contractor,
or any other person who is qualified by training, knowledge, or
experience to make such a determination, that the working pressure of
the vessel's steam piping system is safe. Similarly paragraph (c)(3)
requires employers to obtain a written or oral determination from a
responsible vessel's representative, a contractor, or any other person
who is qualified by training, knowledge, or experience to make such
determination, that each circuit to be energized is in a safe
condition. These collection of information requirements were not
included in the proposal's ICR.

Section 1915.87 Medical Services and First Aid

    Paragraph (f)(3) requires employers to store basket stretchers, or
the equivalent, as well as related equipment, in a clearly marked
location in a manner that prevents damage and protects them from
environmental conditions. This requirement remains unchanged from the
proposal's ICR.

Section 1915.88 Sanitation

    Paragraph (e)(3) requires the employer to inform each employee
engaged in the application of paints or coatings, or in other
operations where hazardous or toxic substances can be ingested or
absorbed, about the need for removing surface contaminants from their
skins surface by thoroughly washing their hands and face at the end of
the workshift and prior to eating, drinking, or smoking. OSHA maintains
the proposal's determination that this requirement is a longstanding
usual and customary practice on shipyard employment. OSHA adopted this
requirement in 1972 pursuant to section 6(a) of the OSH Act, which
allowed the Agency in the first two years after enactment of the Act to
adopt as OSHA standards existing Federal and national consensus
standards (37 FR 22458 (10/19/1972)). OSHA adopted this provision from
safety standards promulgated under the Longshore and Harbor Workers'
Compensation Act (33 U.S.C. 941).

Section 1915.89 Control of Hazardous Energy (Lockout/Tags-Plus)

    The proposal's ICR estimated burden hours and costs for "lockout/
tagout" programs. The final ICR calculates burden hours and costs for
"lockout/tags-plus" programs.
Developing Lockout/Tags-Plus Procedures
    The proposal's ICR referenced developing procedures for the control
of hazardous energy during the servicing of machinery, equipment, and
systems as part of developing a lockout/tagout program. The final ICR
provides additional details regarding the content of these procedures.
Paragraph (b) requires the employer to establish and implement a
written program and procedures for lockout and tags-plus systems to
control hazardous energy during the servicing of any machinery,
equipment, or system in shipyard employment. The program must cover:
(1) Procedures for lockout/tags-plus systems while servicing machinery,
equipment, or systems in accordance with paragraph (c); (2) procedures
for protecting employees involved in servicing any machinery,
equipment, or system in accordance with paragraphs (d) through (m); (3)
specifications for locks and tags-plus hardware in accordance with
paragraph (n); (4) employee information and training in accordance with
paragraph (o); incident investigations in accordance with paragraph
(p); and (6) program audits in accordance with paragraph (q).
Lockout/Tags-Plus Log
    This collection of information requirement was not contained in the
proposal's ICR. Paragraph (c)(7)(iv) requires that the employer ensure
that the lockout/tags-plus coordinator maintains and administers a
continuous log of each lockout and tags-plus system.
Lockout/Tags-Plus Written Procedures
    Paragraph (d)(1) requires the employer to establish and implement
written procedures to prevent energization or startup, or the release
of hazardous energy, while authorized employees are servicing any
machinery, equipment, or system.
Notification of Employees
    Paragraph (e)(1)(ii) requires employers to notify each affected
employee that the machinery, equipment, or system will be shutdown and
deenergized before applying a lockout/tags-plus system and beginning
servicing. In addition, paragraph (i)(1)(i) requires the authorized
employee to notify all other authorized and affected employees that
the lockout/tags-plus system will be removed before any lockout/tags-plus
system is removed and the machinery, equipment, or system restored to use.
Communication With Outside Personnel (Contractors, Ship Crew, etc.)
    Paragraph (l)(2) requires the host employer to establish and
implement procedures for the lockout/tags-plus program to protect
workers from hazardous energy in multi-employer worksites. The host
employer is responsible for informing each contract employer about the
content of the host employer's lockout/tags-plus program and
procedures, and instructing each contract employer to follow the host
employer's lockout/tags-plus program and procedures. Also, the host
employer must ensure that the lockout/tags-plus coordinator knows about
all servicing operations and communicates this information with each
contract employer who performs servicing or works in an area where
servicing is being conducted.
    Paragraph (l)(3) requires the contract employer, when working in a
multi-employer worksite, to follow the host employer's lockout/tags-
plus program and procedures, and to ensure that the host employer knows
about the lockout-tags plus hazards associated with the contract
employer's work, and what the contract employer is doing to address
them. The contract employer also must inform the host employer of any
previously unidentified lockout/tags-plus hazards that the contract
employer identifies at the multi-employer worksite.
Lockout Tags-Plus Materials and Hardware
    Paragraphs (n)(3)(iv) and (v) require that each lock and tag
indicate the identity of the authorized employee applying it; and that
each tag warns against hazardous conditions that could arise if the
machinery, equipment, or system is energized, and that it include a
legend such as one of the following: "Do Not Start," "Do Not Open,"
"Do Not Energize," or "Do Not Operate." The proposal's ICR stated
that the identity of the employee applying the device is exempt from
the definition of "information" under 5 CFR 1320.3(h). Further, since
the regulation provides specific language to the employer for public
disclosure on the tag, this is not a collection of information under 5
CFR 1320.3(c)(2). Therefore, the ICR did not have burden hour or costs
associated with this information collection requirement. However, since
the tag must also warn against hazardous conditions if the machine,
equipment, or system is energized, OSHA has taken the burden for
employers to tag a system, and the cost for employers to purchase a
tag, in the final ICR.
Information and Training
    Paragraph (o)(7) requires the employer to maintain records that
employee training has been accomplished and is current. The training
records must contain at least the employee's name, date of training,
and subject of training.
Incident Investigations
    The proposal's ICR did not contain collection of information
requirements for incident investigations.
    Paragraph (p)(2) requires the employer to promptly initiate an
incident investigation and notify each authorized and affected employee
who was, or could reasonably have been, affected by the incident.
    Paragraph (p)(4) requires the employer to prepare a written report
of the incident investigation. The written report must include: (1) The
date and time of the incident; (2) the date and time the incident
investigation began; (3) the location of the incident; (4) a
description of the incident; (5) the factors that contributed to the
incident; (6) a copy of any lockout/tags-plus log that was current at
the time of the incident; and (7) any corrective actions that need to
be taken as a result of the incident.
    Paragraph (p)(6) requires the employer to complete the incident
investigation and written report, and implement corrective actions,
within 30 days following the incident.
    Paragraph (p)(7) requires the employer to prepare a written
abatement plan if it is infeasible to implement all of the corrective
actions within 30 days. The abatement plan must contain an explanation
of the circumstances causing the delay, a proposed timetable for
abatement, and a summary of the steps the employer is taking in the
interim to protect employees from hazardous energy while servicing
machinery, equipment, or systems.
Auditing Energy-Control Procedures
    The following collection of information requirements were not
included in the proposed ICR. However, these collection of information
requirements are similar to those contained in the proposal's
Inspection and Certification Control procedures, which are not included
in the final ICR.
    Paragraph (q)(1) requires the employer to conduct, an audit, at
least annually, of the lockout/tags-plus programs and procedures that
are currently in use.
    Paragraph (q)(4) requires, within 15 days of the completion of an
audit, the employer to prepare and deliver a written audit report that
includes at least: (1) The date of the audit; (2) the names of the
individual(s) who performed the audit; (3) the identity of the
procedure, and the machinery, equipment, or system, being audited; (4)
the findings of the program audit and recommended actions to correct
deviations or deficiencies identified during the audit; (5) incident
investigation reports compiled since the previous audit; and (6)
corrective actions the employer has taken in response to the audit.
Conducting an audit of the energy-control procedures will ensure that
the procedures in place are working properly and help to identify any
deviations or inadequacies with the current procedures.

Section 1915.92 Retention of DOT Markings, Placards and Labels; Sec.
1915.93 Motor Vehicle Safety Equipment, Operation and Maintenance; and
Sec.  1915.94 Servicing Multi-piece and Single Piece Rim Wheels

    OSHA maintained that the Agency would incur no additional burden
hours or costs for the collections of information requirements
contained in the above mention of sections.
    The final rule imposes program change increase of 99,645 initial
new burden hours to 2,725 shipyard-employment establishments after the
effective date of the final standard. Table 28 summarizes the burden
hours and costs (Capital Costs and Maintenance) associated with each
collection of information requirement contained in the final rule.

   Table 28--General Working Conditions in Shipyard Employment (29 CFR 1915, subpart F) Information Collection
                                                  Request (ICR)
                                       [Summary of Burden Hours and Costs]
----------------------------------------------------------------------------------------------------------------
                                                                                                     Number of
            Collection of information             Initial burden     Recurring    Cost (tags and      initial
                                                       hours       burden hours        ties)         responses
----------------------------------------------------------------------------------------------------------------
Marking Location of Stretchers (Sec.                           3               3               0              18
 1915.87(f)(3)).................................
Developing Lockout/tags-plus Procedures (Sec.             18,988           7,846          $3,065           2,725
 1915.89 (b), (l)(1), and (l)(3))...............
Lockout/tag-plus Log (Sec.   1915.89 (c)(7)(iv))          10,090          10,090               0         126,127
Notification of the Application and Removal of             6,368           6,368               0         124,149
 the Lockout or Tags-plus System for the
 Electrical Devices (Sec.   1915.89 (e)(1),
 (l)(2), (n)(3)(iv), and (i)(1)(i)).............
Notification of the Application and Removal of            14,464          14,464               0          14,464
 the Lockout or Tags-plus System for the Air and
 Hydraulic Power Sources (Sec.   1915.89 (e)(1),
 (l)(2), and (i)(1)(i)).........................
Preparing Written Reports of the Incident                 44,097          44,097               0           1,102
 Investigation (Sec.   1915.89 (p)(4))..........
Auditing of Energy Control Procedures (Sec.                3,625           3,625               0           2,725
 1915.89(q)(4)).................................
Employee Training and Training Certification               2,007             667               0          38,853
 (Sec.   1915.89(o)(7)).........................
Disclosure of Records to OSHA (Sec.   1915.89                  3               3               0              38
 (r)(2))........................................
                                                 ---------------------------------------------------------------
    Total.......................................          99,645          87,163          $3,065         310,181
----------------------------------------------------------------------------------------------------------------

IX. State Plan Requirements

    When Federal OSHA promulgates a new rule or more stringent
amendment to an existing rule, the 27 States and U.S. territories with
their own OSHA-approved occupational safety and health plans (State-
Plan States) must revise their standards to reflect the new rule or
amendment, or show OSHA why there is no need for action (for example,
because an existing State standard covering this area is already "at
least as effective" as the new Federal standard or amendment) (29 CFR
1953.5(a)). The State rule must be at least as effective as the final
Federal rule, must be applicable to both the private and public (State
and local government) sectors, and must be promulgated within six
months of the promulgation date of the final Federal rule. When OSHA
promulgates a new rule or amendment that does not impose additional or
more stringent requirements than an existing rule, States are not
required to revise their standards, although OSHA may encourage them to
do so.
    Since this final rule will impose additional or more stringent
requirements, those States that cover maritime issues and/or have
public employees working in the industries the final rule covers will
be required to revise their standards appropriately within six months
of the promulgation date of this final rule unless they demonstrate
that such amendments are not necessary because their existing standards
are at least as effective in protecting workers as this final rule.
Until such time as a State standard is promulgated, Federal OSHA will
provide interim enforcement assistance, as appropriate, in those States
that cover private-sector maritime activities.
    Currently, only four States with their own State Plans (California,
Minnesota, Vermont and Washington) cover private-sector onshore
maritime activities. Federal OSHA enforces maritime standards offshore
in all States and provides onshore coverage of maritime activities in
Federal OSHA States and in all the other State-Plan States: Alaska,
Arizona, Connecticut (plan covers only State and local government
employees), Hawaii, Illinois (plan covers only State and local
government employees), Indiana, Iowa, Kentucky, Maryland, Michigan,
Nevada, New Jersey (plan covers only State and local government
employees), New Mexico, New York (plan covers only State and local
government employees), North Carolina, Oregon, Puerto Rico, South
Carolina, Tennessee, Utah, Virgin Islands (plan covers only territorial
government employees), Virginia, and Wyoming.

X. Effective Dates

    As discussed in Section I of this preamble ("Background"), OSHA
is revising and updating the standards on general working conditions in
shipyard employment to reflect advances in industry practices and
technology, consolidating certain safety and health requirements into a
single provision, and providing protection from hazards not previously
addressed, including the control of hazardous energy. Due to comments
received and testimony heard, OSHA significantly revised several
provisions in the proposal, including the requirements for the control
of hazardous energy.
    The rulemaking record supports the need for the revisions and
additions to subpart F to protect the safety and health of workers
engaged in shipyard employment. OSHA currently requires, and shipyard
employers implemented, many of the provisions in this subpart (for
example, housekeeping and sanitation requirements). However, OSHA is
aware that some employers (for example, small shipyards, fishing
vessels) may need additional time to implement all of the requirements
in the final rule for the control of hazardous energy. For example,
they may need additional time to develop and implement or revise their
lockout/tags-plus programs and procedures and complete all required
initial training. Therefore, all sections of the final rule except for
Sec.  1915.89 will become effective and enforceable 90 days from the
publication of this final rule. To ensure that employers have ample
time to modify their lockout/tags-plus programs and practices, OSHA is
allowing 180 days from the date of publication of this final rule for
the lockout/tags-plus section to become effective and enforceable.

XI. List of Subjects

29 CFR Part 1910

    Hazardous substances, Occupational safety and health, Reporting and
recordkeeping requirements, and Vessels.

29 CFR Part 1915

    Hazardous substances, Longshore and harbor workers, Occupational
safety and health, Reporting and Recordkeeping requirements, Vessels,
and Incorporation by reference.

XII. Authority and Signature

    David Michaels, PhD, MPH, Assistant Secretary of Labor for Occupational
Safety and Health, U.S. Department of Labor, 200 Constitution Avenue,
NW., Washington, DC 20210, directed the preparation of this notice. The
Agency is issuing this final rule under Sections 4, 6(b), and 8(g) of
the Occupational Safety and Health Act of 1970 (29 U.S.C. 653, 655,
657); Section 41 of the Longshore and Harbor Workers' Compensation Act
(33 U.S.C. 941); Secretary of Labor's Order 5-2007 (72 FR 31160, June
5, 2007); and 29 CFR 1911.

    Signed at Washington, DC, on April 14, 2011.
David Michaels,
Assistant Secretary of Labor for Occupational Safety and Health.

XIII. Amendments to Standards

    For the reasons set forth in the preamble, OSHA amends 29 CFR parts
1910 and 1915 as follows:

PART 1910--[AMENDED]

    Part 1910 of title 29 of the Code of Federal Regulations is hereby
amended as follows:

Subpart J--[Amended]

0
1. The authority citation for subpart J of 29 CFR part 1910 is revised
to read as follows:

    Authority:  Secs. 4, 6, and 8 of the Occupational Safety and
Health Act of 1970 (29 U.S.C. 653, 655, 657); Secretary of Labor's
Order No. 12-71 (36 FR 8754), 8-76 (41 FR 25059), 9-83 (48 FR
35736), 1-90 (55 FR 9033), 6-96 (62 FR 111), 3-2000 (65 FR 50017),
5-2002 (67 FR 65008), 5-2007 (72 FR 31159), or 4-2010 (75 FR 55355)
as applicable.
     Section 1910.145, also issued under 29 CFR 1911.2.


0
2. In Sec.  1910.145, paragraphs (a)(1) and (f)(1)(ii) are revised to
read as follows:


Sec.  1910.145  Specifications for accident prevention signs and tags.

    (a) Scope. (1) These specifications apply to the design,
application, and use of signs or symbols (as included in paragraphs (c)
through (e) of this section) that indicate and, insofar as possible,
define specific hazards that could harm workers or the public, or both,
or to property damage. These specifications are intended to cover all
safety signs except those designed for streets, highways, and
railroads. These specifications do not apply to plant bulletin boards
or to safety posters.
* * * * *
    (f) * * *
    (1) * * *
    (ii) This paragraph (f) does not apply to construction or
agriculture.
* * * * *

0
3. In Sec.  1910.147, paragraphs (a)(1) is revised to read as follows:


Sec.  1910.147  The control of hazardous energy (lockout/tagout).

    (a) Scope, application, and purpose--(1) Scope.
    (i) This standard covers the servicing and maintenance of machines
and equipment in which the energization or start up of the machines or
equipment, or release of stored energy, could harm employees. This
standard establishes minimum performance requirements for the control
of such hazardous energy.
    (ii) This standard does not cover the following:
    (A) Construction and agriculture employment;
    (B) Employment covered by parts 1915, 1917, and 1918 of this title;
    (C) Installations under the exclusive control of electric utilities
for the purpose of power generation, transmission and distribution,
including related equipment for communication or metering;
    (D) Exposure to electrical hazards from work on, near, or with
conductors or equipment in electric-utilization installations, which is
covered by subpart S of this part; and
    (E) Oil and gas well drilling and servicing.
* * * * *

Subpart N--[Amended]

0
4. The authority citation for subpart N of 29 CFR part 1910 is revised
to read as follows:

    Authority:  Secs. 4, 6, and 8 of the Occupational Safety and
Health Act of 1970 (29 U.S.C. 653, 655, 657); Secretary of Labor's
Order No. 12-71 (36 FR 8754), 8-76 (41 FR 25059), 9-83 (48 FR
35736), 1-90 (55 FR 9033), 6-96 (62 FR 111), 3-2000 (65 FR 50017),
5-2002 (67 FR 65008), 5-2007 (72 FR 31159), or 4-2010 (75 FR 55355)
as applicable.
    Section 1910.177, also issued under 29 CFR part 1911.


Sec.  1910.77  [Amended]

0
5. In Sec.  1910.177, paragraph (a)(2) is revised to read as follows:
    (a) * * *
    (2) This section does not apply to employers and places of
employment regulated under the Longshoring Standards, 29 CFR part 1918;
Construction Safety Standards, 29 CFR part 1926; or Agriculture
Standards, 29 CFR part 1928.
* * * * *

PART 1915--[AMENDED]

0
6. The authority citation for part 1915 is revised to read as follows:

    Authority:  Sec. 41, Longshore and Harbor Workers' Compensation
Act (33 U.S.C. 941); secs. 4, 6, and 8 of the Occupational Safety
and Health Act of 1970 (29 U.S.C. 653, 655, 657); Secretary of
Labor's Order No. 12-71 (36 FR 8754), 8-76 (41 FR 25059), 9-83 (48
FR 35736), 1-90 (55 FR 9033), 6-96 (62 FR 111), 3-2000 (65 FR
50017), 5-2002 (67 FR 65008), 5-2007 (72 FR 31159), or 4-2010 (75 FR
55355) as applicable; 29 CFR part 1911.

0
7. In Sec.  1915.5, add paragraph (d)(1)(xii) and (d)(1)(xiii) to read
as follows:


Sec.  1915.5  Incorporation by reference.

* * * * *
    (d) * * *
    (1) * * *
    (xii) ANSI/IESNA RP-7-01, Recommended Practice for Lighting
Industrial Facilities, ANSI approved July 26, 2001, IBR approved for
Sec.  1915.82(a)(3).
    (xiii) ANSI/ISEA Z308.1-2009, Revision of ANSI Z308.1-2003, Minimum
Requirements for Workplace First Aid Kits and Supplies, ANSI approved
May 8, 2009, IBR approved for Sec.  1915.87 Appendix A.
* * * * *

Subpart F--[Amended]

0
8. Subpart F of 29 CFR part 1915 is revised to read as follows:
Subpart F--General Working Conditions
Sec.
1915.80 Scope, application, definitions and effective dates.
1915.81 Housekeeping.
1915.82 Lighting.
1915.83 Utilities.
1915.84 Working alone.
1915.85 Vessel radar and communication systems.
1915.86 Lifeboats.
1915.87 Medical services and first aid.
1915.88 Sanitation.
1915.89 Control of hazardous energy (lockout/tagout).
1915.90 Safety color code for marking physical hazards.
1915.91 Accident prevention signs and tags.
1915.92 Retention of DOT markings, placards, and labels.
1915.93 Motor vehicle safety equipment, operation, and maintenance.
1915.94 Servicing of multi-piece and single-piece rim wheels.

Subpart F--General Working Conditions


Sec.  1915.80  Scope, application, definitions, and effective dates.

    (a) The provisions of this subpart apply to general working
conditions in shipyard employment, including work on vessels, on vessel
sections, and at landside operations, regardless of geographic
location.
    (b) Definitions applicable to this subpart.
    (1) Additional safety measure. A component of the tags-plus system
that provides an impediment (in addition to the energy-isolating
device) to the release of energy or the energization or startup of the
machinery, equipment, or system being serviced. Examples of additional
safety measures include, but are not limited to, removing an isolating
circuit element; blocking a controlling switch; blocking, blanking, or
bleeding lines; removing a valve handle or wiring it in place; opening
an extra disconnecting device.
    (2) Affected employee. An employee who normally operates or uses
the machinery, equipment, or system that is going to be serviced under
lockout/tags-plus or who is working in the area where servicing is
being performed under lockout/tags-plus. An affected employee becomes
an authorized employee when the employer assigns the employee to
service any machine, equipment, or system under a lockout/tags-plus
application.
    (3) Authorized employee. (i) An employee who performs one or more
of the following lockout/tags-plus responsibilities:
    (A) Executes the lockout/tags-plus procedures;
    (B) Installs a lock or tags-plus system on machinery, equipment, or
systems; or
    (C) Services any machine, equipment, or system under lockout/tags-
plus application.
    (ii) An affected employee becomes an authorized employee when the
employer assigns the employee to service any machine, equipment, or
system under a lockout/tags-plus application.
    (4) Capable of being locked out. An energy-isolating device is
capable of being locked out if it has a locking mechanism built into
it, or it has a hasp or other means of attachment to which, or through
which, a lock can be affixed. Other energy-isolating devices are
capable of being locked out if lockout can be achieved without the need
to dismantle, rebuild, or replace the energy-isolating device or
permanently alter its energy-control capability.
    (5) Contract employer. An employer, such as a painting, joinery,
carpentry, or scaffolding subcontractor, that performs shipyard-related
services or work under contract to the host employer or to another
employer under contract to the host employer at the host employer's
worksite. This excludes employers who provide services that are not
directly related to shipyard employment, such as mail delivery, office
supply, and food vending services.
    (6) Dummy load. A device used in place of an antenna to aid in the
testing of a radio transmitter that converts transmitted energy into
heat to minimize energy radiating outward or reflecting back to its
source during testing.
    (7) Energy-isolating device. A mechanical device that, when
utilized or activated, physically prevents the release or transmission
of energy. Energy-isolating devices include, but are not limited to,
manually operated electrical circuit breakers; disconnect switches;
line valves; blocks; and any similar device used to block or isolate
energy. Control-circuit devices (for example, push buttons, selector
switches) are not considered energy-isolating devices.
    (8) Hazardous energy. Any energy source, including mechanical (for
example, power transmission apparatus, counterbalances, springs,
pressure, gravity), pneumatic, hydraulic, electrical, chemical, and
thermal (for example, high or low temperature) energies, that could
cause injury to employees.
    (9) Hazardous substances. A substance that may cause injury,
illness, or disease, or otherwise harm an employee by reason of being
explosive, flammable, poisonous, corrosive, oxidizing, irritating, or
otherwise harmful.
    (10) Health care professional. A physician or any other healthcare
professional whose legally permitted scope of practice allows the
provider to independently provide, or be delegated the responsibility
to provide, some or all of the advice or consultation this subpart
requires.
    (11) Host employer. An employer that is in charge of coordinating
shipyard-related work, or that hires other employers to perform
shipyard-related work or to provide shipyard-related services, at a
multi-employer worksite.
    (12) Isolated location. An area in which employees are working
alone or with little assistance from others due to the type, time, or
location of their work. Such locations include remote locations or
other work areas where employees are not in close proximity to others.
    (13) Lock. A device that utilizes a positive means, either a key or
combination lock, to hold an energy-isolating device in a "safe"
position that prevents the release of energy and the startup or
energization of the machinery, equipment, or system to be serviced.
    (14) Lockout. The placement of a lock on an energy-isolating device
in accordance with an established procedure, thereby ensuring that the
energy-isolating device and the equipment being controlled cannot be
operated until the lock is removed.
    (15) Lockout/tags-plus coordinator. An employee whom the employer
designates to coordinate and oversee all lockout and tags-plus
applications on vessels or vessel sections and at landside work areas
when employees are performing multiple servicing operations on the same
machinery, equipment, or systems at the same time, and when employees
are servicing multiple machinery, equipment, or systems on the same
vessel or vessel section at the same time. The lockout/tags-plus
coordinator also maintains the lockout/tags-plus log.
    (16) Lockout/tags-plus materials and hardware. Locks, chains,
wedges, blanks, key blocks, adapter pins, self-locking fasteners, or
other hardware used for isolating, blocking, or securing machinery,
equipment, or systems to prevent the release of energy or the startup
or energization of machinery, equipment, or systems to be serviced.
    (17) Motor vehicle. Any motor-driven vehicle operated by an
employee that is used to transport employees, material, or property.
For the purposes of this subpart, motor vehicles include passenger
cars, light trucks, vans, motorcycles, all-terrain vehicles, small
utility trucks, powered industrial trucks, and other similar vehicles.
Motor vehicles do not include boats, or vehicles operated exclusively
on a rail or rails.
    (18) Motor vehicle safety equipment. Systems and devices integral
to or installed on a motor vehicle for the purpose of effecting the
safe operation of the vehicle, and consisting of such systems or
devices as safety belts, airbags, headlights, tail lights, emergency/
hazard lights, windshield wipers, defogging or defrosting devices,
brakes, horns, mirrors, windshields and other windows, and locks.
    (19) Navy ship's force. The crew of a vessel that is owned or
operated by the U.S. Navy, other than a time- or voyage-chartered
vessel, that is under the control of a Commanding Officer or Master.
    (20) Normal production operations. The use of machinery or
equipment, including, but not limited to, punch presses, bending
presses, shears, lathes, keel press rollers, and automated burning
machines, to perform a shipyard-employment production process.
    (21) Portable toilet. A non-sewered portable facility for
collecting and containing urine and feces. A portable toilet may be
either flushable or non-flushable. For purposes of this section, portable
toilets do not include privies.
    (22) Potable water. Water that meets the standards for drinking
purposes of the state or local authority having jurisdiction, or water
that meets the quality standards prescribed by the U.S. Environmental
Protection Agency's National Primary Water Regulations (40 CFR part
141).
    (23) Readily accessible/available. Capable of being reached quickly
enough to ensure, for example, that emergency medical services and
first aid intervention are appropriate or that employees can reach
sanitation facilities in time to meet their health and personal needs.
    (24) Sanitation facilities. Facilities, including supplies,
maintained for employee personal and health needs such as potable
drinking water, toilet facilities, hand-washing and -drying facilities,
showers (including quick-drenching or flushing) and changing rooms,
eating and drinking areas, first aid stations, and on-site medical-
service areas. Sanitation supplies include soap, waterless cleaning
agents, single-use drinking cups, drinking water containers, toilet
paper, and towels.
    (25) Serviceable condition. The state or ability of supplies or
goods, or of a tool, machine, vehicle, or other device, to be used or
to operate in the manner prescribed by the manufacturer.
    (26) Servicing. Workplace activities that involve the construction,
installation, adjustment, inspection, modification, testing, or repair
of machinery, equipment, or systems. Servicing also includes
maintaining machines, equipment, or systems when performing these
activities would expose the employee to harm from the start-up or
energization of the system being serviced, or the release of hazardous
energy.
    (27) Sewered toilet. A fixture maintained for the purpose of
urination and defecation that is connected to a sanitary sewer, septic
tank, holding tank (bilge), or on-site sewage-disposal treatment
facility, and that is flushed with water.
    (28) Shield. To install a covering, protective layer, or other
effective measure on or around steam hoses or temporary steam-piping
systems, including metal fittings and couplings, to protect employees
from contacting hot surfaces or elements.
    (29) Short bight. A loop created in a line or rope that is used to
tie back or fasten objects such as hoses, wiring, and fittings.
    (30) Tag. A prominent warning device that includes a means of
attachment that can be securely fastened to an energy-isolating device
in accordance with an established procedure to indicate that the
energy-isolating device and the equipment being controlled must not be
operated until the tag is removed by an authorized employee.
    (31) Tags-plus system. A system to control hazardous energy that
consists of an energy-isolating device with a tag affixed to it, and at
least one additional safety measure.
    (32) Verification of isolation. The means necessary to detect the
presence of hazardous energy, which may involve the use of a test
instrument (for example, a voltmeter), and, for other than electric
shock protection, a visual inspection, or a deliberate attempt to
start-up the machinery, equipment, or system.
    (33) Vermin. Insects, birds, and other animals, such as rodents and
feral cats, that may create safety and health hazards for employees.
    (34) Vessel section. A subassembly, module, or other component of a
vessel being built or repaired.
    (35) Walkway. Any surface, whether vertical, slanted, or
horizontal, on which employees walk, including areas that employees
pass through, to perform their job tasks. Walkways include, but are not
limited to, access ways, designated walkways, aisles, exits, gangways,
ladders, ramps, stairs, steps, passageways, and scaffolding. If an area
is, or could be, used to gain access to other locations, it is to be
considered a walkway.
    (36) Work area. A specific area, such as a machine shop,
engineering space, or fabrication area, where one or more employees are
performing job tasks.
    (37) Working surface. Any surface where work is occurring, or areas
where tools, materials, and equipment are being staged for performing
work.
    (38) Worksite. A general work location where one or more employees
are performing work, such as a shipyard, pier, barge, vessel, or vessel
section.
    (c) Effective dates. This final rule becomes effective and
enforceable on August 1, 2011, except for the provisions in Sec.
1915.89, which become effective and enforceable on October 31, 2011.


Sec.  1915.81  Housekeeping.

    (a) General requirements.
    (1) The employer shall establish and maintain good housekeeping
practices to eliminate hazards to employees to the extent practicable.
    (2) The employer shall eliminate slippery conditions, such as snow
and ice, on walkways and working surfaces as necessary. If it is not
practicable for the employer to remove slippery conditions, the
employer either shall:
    (i) Restrict employees to designated walkways and working surfaces
where the employer has eliminated slippery conditions; or
    (ii) Provide slip-resistant footwear in accordance with 29 CFR part
1915, subpart I.
    (3) The employer shall store materials in a manner that does not
create a hazard for employees.
    (4) The employer shall maintain easy and open access to each fire-
alarm box, fire-call station, fire-fighting equipment, and each exit,
including ladders, staircases, scaffolds, and gangways.
    (5) The employer shall dispose of flammable and combustible
substances, such as paint thinners, solvents, rags, scrap, and waste,
or store them in covered fire-resistant containers at the end of each
workshift or when the job is completed, whichever occurs first.
    (b) Walkways.
    (1) In addition to the requirements in paragraph (a), the employer
also shall ensure that each walkway:
    (i) Provides adequate passage;
    (ii) Is clear of debris, including solid and liquid wastes, that
may create a hazard for employees;
    (iii) Is clear of tools, materials, equipment, and other objects
that may create a hazard for employees; and
    (iv) Is clear of hoses and electrical service cords. The employer
shall:
    (A) Place each hose and cord above walkways in a location that will
prevent injury to employees and damage to the hoses and cords;
    (B) Place each hose and cord underneath walkways;
    (C) Place each hose and cord on walkways, provided the hoses and
cords are covered by crossovers or other means that will prevent injury
to employees and damage to the hoses and cords; or
    (D) Protect each hose and cord by other suitable means.
    (2) While a walkway or part of a walkway is being used as a working
surface, the employer shall cordon off that portion to prevent it from
being used as a walkway.
    (c) Working surfaces. In addition to the requirements in paragraph
(a), the employer also shall ensure that each working surface:
    (1) Is cleared of tools, materials, and equipment that are not
necessary to perform the job in progress;
    (2) Is cleared of debris, including solid and liquid wastes, at the
end of each workshift or job, whichever occurs first;
    (3) Is maintained, so far as practicable, in a dry condition. When
a wet process is used, the employer shall maintain drainage and provide false
floors, platforms, mats, or other dry standing places. When the employer
demonstrates that this procedure is not practicable, the employer shall
provide each employee working in the wet process with protective
footgear, in accordance with 29 CFR part 1915, subpart I.


Sec.  1915.82  Lighting.

    (a) General Requirements. (1) The employer shall ensure that each
work area and walkway is adequately lighted whenever an employee is
present.
    (2) For landside areas, the employer shall provide illumination
that meets the levels set forth in Table F-1 to Sec.  1915.82.

   Table F-1 to Sec.   1915.82--Minimum Lighting Intensities in Foot-
                                 Candles
------------------------------------------------------------------------
    Lumens (foot-candles)                  Area or operation
------------------------------------------------------------------------
3............................  General areas on vessels and vessel
                                sections such as accessways, exits,
                                gangways, stairs, and walkways.
5............................  General landside areas such as corridors,
                                exits, stairs, and walkways.
5............................  All assigned work areas on any vessel or
                                vessel section.
5............................  Landside tunnels, shafts, vaults, pumping
                                stations, and underground work areas.
10...........................  Landside work areas such as machine
                                shops, electrical equipment rooms,
                                carpenter shops, lofts, tool rooms,
                                warehouses, and outdoor work areas.
10...........................  Changing rooms, showers, sewered toilets,
                                and eating, drinking, and break areas.
30...........................  First aid stations, infirmaries, and
                                offices.
------------------------------------------------------------------------


    Note to table F-1 to Sec.  1915.82:  The required illumination
levels in this table do not apply to emergency or portable lights.

    (3) For vessels and vessel sections, the employer shall provide
illumination that meets the levels set forth in the table to paragraph
(a)(2) or meet ANSI/IESNA RP-7-01 (incorporated by reference, see
1915.5).
    (4) When adequate illumination is not obtainable by permanent
lighting sources, temporary lighting may be used as supplementation.
    (5) The employer shall ensure that neither matches nor open-flame
devices are used for lighting.
    (b) Temporary lights. The employer shall ensure that temporary
lights meet the following requirements:
    (1) Lights with bulbs that are not completely recessed are equipped
with guards to prevent accidental contact with the bulb;
    (2) Lights are equipped with electric cords designed with
sufficient capacity to safely carry the electric load;
    (3) Connections and insulation on electric cords are maintained in
a safe condition;
    (4) Lights and lighting stringers are not suspended solely by their
electric cords unless they are designed by the manufacturer to be
suspended in this way;
    (5) Lighting stringers do not overload branch circuits;
    (6) Branch circuits are equipped with over-current protection with
a capacity that does not exceed the rated current-carrying capacity of
the cord used;
    (7) Splices have insulation with a capacity that exceeds that of
the original insulation of the cord; and
    (8) Exposed, non-current-carrying metal parts of lights are
grounded. The employer shall ensure that grounding is provided either
through a third wire in the cord containing the circuit conductors or
through a separate wire that is grounded at the source of the current.
Grounding shall be done in accordance with the requirements of 29 CFR
1910, subpart S.
    (c) Portable lights. (1) In any dark area that does not have
permanent or temporary lights, where lights are not working, or where
lights are not readily accessible, the employer shall provide portable
or emergency lights and ensure that employees do not enter those areas
without such lights.
    (2) Where the only means of illumination on a vessel or vessel
section are from lighting sources that are not part of the vessel or
vessel section, the employer shall provide portable or emergency lights
for the safe movement of each employee. If natural sunlight provides
sufficient illumination, portable or emergency lights are not required.
    (d) Explosion-proof, self-contained lights. The employer shall
provide and ensure that each employee uses only explosion-proof, self-
contained temporary and portable lights, approved for hazardous
conditions by a nationally recognized testing laboratory (NRTL), in any
area that the atmosphere is determined to contain a concentration of
flammable vapors that are at or above 10 percent of the lower explosive
limit (LEL) as specified in 29 CFR part 1915, subparts B and C.


Sec.  1915.83  Utilities.

    (a) Steam supply system. (1) The employer shall ensure that the
vessel's steam piping system, including hoses, is designed to safely
handle the working pressure prior to supplying steam from an outside
source. The employer shall obtain a written or oral determination from
a responsible vessel's representative, a contractor, or any other
person who is qualified by training, knowledge, or experience to make
such determination that the working pressure of the vessel's steam
piping system is safe.
    (2) The employer shall ensure that each outside steam supply
connected to a vessel's steam piping system meets the following
requirements:
    (i) A pressure gauge and a relief valve are installed at the point
where the temporary steam hose joins the vessel's steam piping system;
    (ii) Each relief valve is set to relieve excess steam at, and is
capable of relieving steam at, a pressure that does not exceed the safe
working pressure of the system in its present condition;
    (iii) There are no means of inadvertently disconnecting any relief
valve from the system that it protects;
    (iv) Each pressure gauge and relief valve is legible and located so
it is visible and readily accessible; and
    (v) Each relief valve is positioned so it is not likely to cause
injury if steam is released.
    (b) Steam hoses. The employer shall ensure that each steam hose
meets the following requirements:
    (1) The steam hose and its fittings are used in accordance with
manufacturer's specifications;
    (2) Each steam hose is hung tightly with short bights that prevent
chafing and to reduce tension on the hose and its fittings;
    (3) Each steam hose is protected from damage; and
    (4) Each steam hose or temporary steam piping, including metal
fittings and couplings, that pass through a walking or working area is
shielded to protect employees from contact.
    (c) Electric shore power. When a vessel is supplied with electric
shore power, the employer shall take the following precautions prior to
energizing any of the vessel's circuits:
    (1) Ensure that the vessel is grounded;
    (2) Equip each circuit to be energized with over-current protection
that does not exceed the rated current-carrying capacity of the
conductors; and
    (3) Ensure that each circuit to be energized is in a safe
condition. The employer must obtain a determination of the safe
condition, either orally or in writing, from a responsible vessel's
representative, a contractor, or any other person who is qualified by
training, knowledge, or experience to make such determination.
    (d) Heat lamps. The employer shall ensure that each heat lamp,
including the face, is equipped with surround-type guards to prevent
contact with the lamp and bulb.


Sec.  1915.84  Working alone.

    (a) Except as provided in Sec.  1915.51(c)(3) of this part,
whenever an employee is working alone, such as in a confined space or
isolated location, the employer shall account for each employee:
    (1) Throughout each workshift at regular intervals appropriate to
the job assignment to ensure the employee's safety and health; and
    (2) At the end of the job assignment or at the end of the
workshift, whichever occurs first.
    (b) The employer shall account for each employee by sight or verbal
communication.


Sec.  1915.85  Vessel radar and communication systems.

    (a) The employer shall service each vessel's radar and
communication systems in accordance with 29 CFR 1915.89, Control of
Hazardous Energy.
    (b) The employer shall secure each vessel's radar and communication
system so it is incapable of energizing or emitting radiation before
any employee begins work:
    (1) On or in the vicinity of the system;
    (2) On or in the vicinity of a system equipped with a dummy load;
or
    (3) Aloft, such as on a mast or king post.
    (c) When a vessel's radar or communication system is operated,
serviced, repaired, or tested, the employer shall ensure that:
    (1) There is no other work in progress aloft; and
    (2) No employee is closer to the system's antenna or transmitter
than the manufacturer's specified safe minimum distance for the type,
model, and power of the equipment.
    (d) The employer shall ensure that no employee enters an area
designated as hazardous by manufacturers' specifications while a radar
or communication system is capable of emitting radiation.
    (e) The requirements of this section do not apply when a radar or
communication system is incapable of emitting radiation at levels that
could injure workers in the vicinity of the system, or if the radar or
communication system is incapable of energizing in a manner than could
injure workers working on or in the vicinity of the system.


Sec.  1915.86  Lifeboats.

    (a) Before any employee works in or on a stowed or suspended
lifeboat, the employer shall secure the lifeboat independently from the
releasing gear to prevent it from falling or capsizing.
    (b) The employer shall not permit any employee to be in a lifeboat
while it is being hoisted or lowered, except when the employer
demonstrates that it is necessary to conduct operational tests or
drills over water, or in the event of an emergency.
    (c) The employer shall not permit any employee to work on the
outboard side of a lifeboat that is stowed on chocks unless the
lifeboat is secured by gripes or another device that prevents it from
swinging.


Sec.  1915.87  Medical services and first aid.

    (a) General requirement. The employer shall ensure that emergency
medical services and first aid are readily accessible.
    (b) Advice and consultation. The employer shall ensure that
healthcare professionals are readily available for advice and
consultation on matters of workplace health.
    (c) First aid providers. (1) The employer shall ensure that there
is an adequate number of employees trained as first aid providers at
each worksite during each workshift unless:
    (i) There is an on-site clinic or infirmary with first aid
providers during each workshift; or
    (ii) The employer can demonstrate that outside first aid providers
(i.e., emergency medical services) can reach the worksite within five
(5) minutes of a report of injury or illness. The employer must take
appropriate steps to ascertain that emergency medical assistance will
be readily available promptly if an injury or illness occurs.
    (2) The employer shall ensure that a first aid provider is able to
reach an injured/ill employee within five (5) minutes of a report of a
serious injury, illness, or accident such as one involving cardiac
arrest, acute breathing problems, uncontrolled bleeding, suffocation,
electrocution, or amputation.
    (3) The employer shall use the following factors in determining the
number and location of employees who must have first aid training: size
and location of each worksite; the number of employees at each
worksite; the hazards present at each worksite; and the distance of
each worksite from hospitals, clinics, and rescue squads.
    (4) The employer shall ensure that first aid providers are trained
to render first aid, including cardiopulmonary resuscitation (CPR).
    (5) The employer shall ensure that each first aid provider
maintains current first aid and CPR certifications, such as issued by
the Red Cross, American Heart Association, or other equivalent
organization.
    (d) First aid supplies. (1) The employer shall provide and maintain
adequate first aid supplies that are readily accessible to each
worksite. An employer's on-site infirmary or clinic containing first
aid supplies that are readily accessible to each worksite complies with
this requirement.
    (2) The employer shall ensure that the placement, content, and
amount of first aid supplies are adequate for the size and location of
each worksite, the number of employees at each worksite, the hazards
present at each worksite, and the distance of each worksite from
hospitals, clinics, and rescue squads.
    (3) The employer shall ensure that first aid supplies are placed in
a weatherproof container.
    (4) The employer shall maintain first aid supplies in a dry,
sterile, and serviceable condition.
    (5) The employer shall replenish first aid supplies as necessary to
ensure that there is an adequate supply when needed.
    (6) The employer shall inspect first aid supplies at sufficient
intervals to ensure that they are adequate and in a serviceable
condition.
    (e) Quick-drenching and flushing facilities. Where the potential
exists for an employee to be splashed with a substance that may result
in an acute or serious injury, the employer shall provide facilities
for quick-drenching or flushing the eyes and body. The employer shall
ensure that such a facility is located for immediate emergency use
within close proximity to operations where such substances are being
used.
    (f) Basket stretchers. (1) The employer shall provide an adequate
number of basket stretchers, or the equivalent, readily accessible to
where work is being performed on a vessel or vessel section. The
employer is not required to provide basket stretchers or the equivalent
where emergency response services have basket stretchers or the equivalent
that meet the requirements of this paragraph.
    (2) The employer shall ensure each basket stretcher, or the
equivalent, is equipped with:
    (i) Permanent lifting bridles that enable the basket stretcher, or
the equivalent, to be attached to hoisting gear capable of lifting at
least 5,000 pounds (2,270 kg);
    (ii) Restraints that are capable of securely holding the injured/
ill employee while the basket stretcher, or the equivalent, is lifted
or moved; and
    (iii) A blanket or other suitable covering for the injured/ill
employee.
    (3) The employer shall store basket stretchers, or the equivalent,
and related equipment (i.e., restraints, blankets) in a clearly marked
location in a manner that prevents damage and protects the equipment
from environmental conditions.
    (4) The employer shall inspect stretchers, or the equivalent, and
related equipment at intervals that ensure the equipment remains in a
safe and serviceable condition, but at least once a year.

Appendix A to Sec.  1915.87--First Aid Kits and Automated External
Defibrillators (Non-Mandatory)

    1. First aid supplies are required to be adequate and readily
accessible under paragraphs Sec.  1915.87(a) and (d). An example of
the minimal contents of a generic first aid kit for workplace
settings is described in ANSI/ISEA Z308.1-2009, "Minimum
Requirements for Workplace First Aid Kits and Supplies"
(incorporated by reference as specified in Sec.  1915.5). The
contents of the kit listed in this ANSI standard should be adequate
for small worksites. When larger operations or multiple operations
are being conducted at the same worksite, employers should determine
the need for additional first aid kits, additional types of first
aid equipment and supplies, and additional quantities and types of
supplies and equipment in the first aid kits.
    2. In a similar fashion, employers that have unique or changing
first aid needs at their worksite may need to enhance their first
aid kits. The employer can use the OSHA 300 Log, OSHA 301 Incident
Report form, or other reports to identify these unique problems.
Consultation from the local fire or rescue department, appropriate
healthcare professional or local emergency room may be helpful to
employers in these circumstances. By assessing the specific needs of
their worksite, employers can ensure that reasonably anticipated
supplies are available. Employers should assess the specific needs
of their worksite periodically, and augment first aid kits
appropriately.
    3. If it is reasonably anticipated that employees will be
exposed to blood or other potentially infectious materials while
using first aid supplies, employers must provide appropriate
personal protective equipment (PPE) in compliance with the
provisions of the Occupational Exposure to Bloodborne Pathogens
standard, Sec.  1910.1030(d)(3). This standard lists appropriate PPE
for this type of exposure, such as gloves, gowns, face shields,
masks, and eye protection.
    4. Employers who provide automated external defibrillators
(AEDs) at their workplaces should designate who will use AEDs and
train those employees so they know how to correctly use the AEDs.
Although a growing number of AEDs are now designed to be used by any
person, even without training, training reinforces proper use and
promotes the usefulness of AEDs as part of an effective
cardiopulmonary resuscitation plan. For AEDs to be effective,
employers should:
    a. Ensure that AEDs are located so they can be utilized within
three to five minutes of a report of an accident or injury;
    b. Ensure that employees use AEDs in accordance with
manufacturers' specifications; and
    c. Inspect, test, and maintain AEDs in accordance with
manufacturers' specifications.


Sec.  1915.88  Sanitation.

    (a) General requirements. (1) The employer shall provide adequate
and readily accessible sanitation facilities.
    (2) The employer shall establish and implement a schedule for
servicing, cleaning, and supplying each facility to ensure it is
maintained in a clean, sanitary, and serviceable condition.
    (b) Potable water. (1) The employer shall provide potable water for
all employee health and personal needs and ensure that only potable
water is used for these purposes.
    (2) The employer shall provide potable drinking water in amounts
that are adequate to meet the health and personal needs of each
employee.
    (3) The employer shall dispense drinking water from a fountain, a
covered container with single-use drinking cups stored in a sanitary
receptacle, or single-use bottles. The employer shall prohibit the use
of shared drinking cups, dippers, and water bottles.
    (c) Non-potable water. (1) The employer may use non-potable water
for other purposes such as firefighting and cleaning outdoor premises
so long as it does not contain chemicals, fecal matter, coliform, or
other substances at levels that may create a hazard for employees.
    (2) The employer shall clearly mark non-potable water supplies and
outlets as "not safe for health or personal use."
    (d) Toilets. (1) General requirements. The employer shall ensure
that sewered and portable toilets:
    (i) Provide privacy at all times. When a toilet facility contains
more than one toilet, each toilet shall occupy a separate compartment
with a door and walls or partitions that are sufficiently high to
ensure privacy; and
    (ii) Are separate for each sex, except as provided in (d)(1)(ii)(B)
of this section;
    (A) The number of toilets provided for each sex shall be based on
the maximum number of employees of that sex present at the worksite at
any one time during a workshift. A single-occupancy toilet room shall
be counted as one toilet regardless of the number of toilets it
contains; and
    (B) The employer does not have to provide separate toilet
facilities for each sex when they will not be occupied by more than one
employee at a time, can be locked from the inside, and contain at least
one toilet.
    (iii) The employer shall establish and implement a schedule to
ensure that each sewered and portable toilet is maintained in a clean,
sanitary, and serviceable condition.
    (2) Minimum number of toilets. (i) The employer shall provide at
least the following number of toilets for each sex. Portable toilets
that meet the requirements of paragraph (d)(3) of this section may be
included in the minimum number of toilets.

                       Table F-2 to Sec.   1915.88
------------------------------------------------------------------------
                                              Minimum number of toilets
      Number of employees of each sex                  per sex
------------------------------------------------------------------------
1 to 15...................................  1
16 to 35..................................  2
36 to 55..................................  3
56 to 80..................................  4
81 to 110.................................  5
111 to 150................................  6
Over 150..................................  1 additional toilet for each
                                             additional 40 employees.
------------------------------------------------------------------------
Note to Table F-2 of Sec.   1915.88: When toilets will only be used by
  men, urinals may be provided instead of toilets, except that the
  number of toilets in such cases shall not be reduced to less than two-
  thirds of the minimum specified.

    (3) Portable toilets. (i) The employer shall provide portable
toilets, pursuant to paragraph (d)(2)(i) and Table to paragraph (d)(2)
of this section, only when the employer demonstrates that it is not
feasible to provide sewered toilets, or when there is a temporary
increase in the number of employees for a short duration of time.
    (ii) The employer shall ensure that each portable toilet is vented
and equipped, as necessary, with lighting.
    (4) Exception for normally unattended worksites and mobile work
crews. The requirement to provide toilets does not apply to normally
unattended worksites and mobile work crews, provided that the employer
ensures that employees have immediately available transportation to readily
accessible sanitation facilities that are maintained in a clean,
sanitary, and serviceable condition and meet the other requirements of
this section.
    (e) Handwashing facilities. (1) The employer shall provide
handwashing facilities at or adjacent to each toilet facility.
    (2) The employer shall ensure that each handwashing facility:
    (i) Is equipped with either hot and cold or lukewarm running water
and soap, or with waterless skin-cleansing agents that are capable of
disinfecting the skin or neutralizing the contaminants to which the
employee may be exposed; and
    (ii) If the facility uses soap and water, it is supplied with
clean, single-use hand towels stored in a sanitary container and a
sanitary means for disposing of them, clean individual sections of
continuous cloth toweling, or a hand-drying air blower.
    (3) The employer shall inform each employee engaged in the
application of paints or coatings or in other operations in which
hazardous or toxic substances can be ingested or absorbed about the
need for removing surface contaminants from their skins surface by
thoroughly washing their hands and face at the end of the workshift and
prior to eating, drinking, or smoking.
    (f) Showers. (1) When showers are required by an OSHA standard, the
employer shall provide one shower for each 10, or fraction of 10,
employees of each sex who are required to shower during the same
workshift.
    (2) The employer shall ensure that each shower is equipped with
soap, hot and cold water, and clean towels for each employee who uses
the shower.
    (g) Changing rooms. When an employer provides protective clothing
to prevent employee exposure to hazardous or toxic substances, the
employer shall provide the following:
    (1) Changing rooms that provide privacy for each sex; and
    (2) Storage facilities for street clothes, as well as separate
storage facilities for protective clothing.
    (h) Eating, drinking, and break areas. The employer shall ensure
that food, beverages, and tobacco products are not consumed or stored
in any area where employees may be exposed to hazardous or toxic
substances.
    (i) Waste disposal. (1) The employer shall provide waste
receptacles that meet the following requirements:
    (i) Each receptacle is constructed of materials that are corrosion
resistant, leak-proof, and easily cleaned or disposable;
    (ii) Each receptacle is equipped with a solid tight-fitting cover,
unless it can be kept in clean, sanitary, and serviceable condition
without the use of a cover;
    (iii) Receptacles are provided in numbers, sizes, and locations
that encourage their use; and
    (iv) Each receptacle is emptied as often as necessary to prevent it
from overfilling and in a manner that does not create a hazard for
employees. Waste receptacles for food shall be emptied at least every
day, unless unused.
    (2) The employer shall not permit employees to work in the
immediate vicinity of uncovered garbage that could endanger their
safety and health.
    (3) The employer shall ensure that employees working beneath or on
the outboard side of a vessel are not contaminated by drainage or waste
from overboard discharges.
    (j) Vermin control. (1) To the extent reasonably practicable, the
employer shall clean and maintain the workplace in a manner that
prevents vermin infestation.
    (2) Where vermin are detected, the employer shall implement and
maintain an effective vermin-control program.


Sec.  1915.89  Control of hazardous energy (lockout/tags-plus).

    (a) Scope, application, and effective dates . (1) Scope. This
section covers the servicing of machinery, equipment, and systems when
the energization or startup of machinery, equipment, or systems, or the
release of hazardous energy, could endanger an employee.
    (2) Application. (i) This section applies to the servicing of any
machinery, equipment, or system that employees use in the course of
shipyard employment work and that is conducted:
    (A) In any landside facility that performs shipyard employment
work; and
    (B) On any vessel or vessel section.
    (ii) This section applies to such servicing conducted on a vessel
by any employee including, but not limited to, the ship's officers and
crew unless such application is preempted by the regulations of another
federal agency.
    (3) When other standards in 29 CFR part 1915 and applicable
standards in 29 CFR part 1910 require the use of a lock or tag, the
employer shall use and supplement them with the procedural and training
requirements specified in this section.
    (4) Exceptions. This section does not apply to:
    (i) Work on cord-and-plug-connected machinery, equipment, or
system, provided the employer ensures that the machinery, equipment, or
system is unplugged and the plug is under the exclusive control of the
employee performing the servicing;
    (ii) Minor servicing activities performed during normal production
operations, including minor tool changes and adjustments, that are
routine, repetitive, and integral to the use of the machinery,
equipment, or system, provided the employer ensures that the work is
performed using measures that provide effective protection from
energization, startup, or the release of hazardous energy.
    (b) Lockout/tags-plus program. The employer shall establish and
implement a written program and procedures for lockout and tags-plus
systems to control hazardous energy during the servicing of any
machinery, equipment, or system in shipyard employment. The program
shall cover:
    (1) Procedures for lockout/tags-plus systems while servicing
machinery, equipment, or systems in accordance with paragraph (c) of
this section;
    (2) Procedures for protecting employees involved in servicing any
machinery, equipment, or system in accordance with paragraphs (d)
through (m) of this section;
    (3) Specifications for locks and tags-plus hardware in accordance
with paragraph (n) of this section;
    (4) Employee information and training in accordance with paragraph
(o) of this section;
    (5) Incident investigations in accordance with paragraph (p) of
this section; and
    (6) Program audits in accordance with paragraph (q) of this
section.
    (c) General requirements. (1) The employer shall ensure that,
before any authorized employee performs servicing when energization or
startup, or the release of hazardous energy, may occur, all energy
sources are identified and isolated, and the machinery, equipment, or
system is rendered inoperative.
    (2) If an energy-isolating device is capable of being locked, the
employer shall ensure the use of a lock to prevent energization or
startup, or the release of hazardous energy, before any servicing is
started, unless the employer can demonstrate that the utilization of a
tags-plus system will provide full employee protection as set forth in
paragraph (c)(6) of this section.
    (3) If an energy-isolating device is not capable of being locked,
the employer shall ensure the use of a tags-plus system to prevent
energization or startup, or the release of hazardous energy, before any
servicing is started.
    (4) Each tags-plus system shall consist of:
    (i) At least one energy-isolating device with a tag affixed to it;
and
    (ii) At least one additional safety measure that, along with the
energy-isolating device and tag required in (c)(4)(i) of this section,
will provide the equivalent safety available from the use of a lock.

    Note to paragraph (c)(4) of this section:  When the Navy ship's
force maintains control of the machinery, equipment, or systems on a
vessel and has implemented such additional measures it determines
are necessary, the provisions of paragraph (c)(4)(ii) of this
section shall not apply, provided that the employer complies with
the verification procedures in paragraph (g) of this section.

    (5) After October 31, 2011, the employer shall ensure that each
energy-isolating device for any machinery, equipment, or system is
designed to accept a lock whenever the machinery, equipment, or system
is extensively repaired, renovated, modified, or replaced, or whenever
new machinery, equipment, or systems are installed. This requirement
does not apply when a shipyard employer:
    (i) Does not own the machinery, equipment, or system; or
    (ii) Builds or services a vessel or vessel section according to
customer specifications.
    (6) Full employee protection. (i) When a tag is used on an energy-
isolating device that is capable of being locked out, the tag shall be
attached at the same location that the lock would have been attached,
and;
    (ii) The employer shall demonstrate that the use of a tags-plus
system will provide a level of safety equivalent to that obtained by
using a lock. In demonstrating that an equivalent level of safety is
achieved, the employer shall:
    (A) Demonstrate full compliance with all tags-plus-related
provisions of this standard; and
    (B) Implement such additional safety measures as are necessary to
provide the equivalent safety available from the use of a lock.

    Note to paragraph (c)(6) of this section:  When the Navy ship's
force maintains control of the machinery, equipment, or systems on a
vessel and has implemented such additional measures it determines
are necessary, the provisions of paragraph (c)(6)(ii)(B) of this
section do not apply, provided that the employer complies with the
verification procedures in paragraph (g) of this section.

    (7) Lockout/tags-plus coordination. (i) The employer shall
establish and implement lockout/tags-plus coordination when:
    (A) Employees on vessels and in vessel sections are servicing
multiple machinery, equipment, or systems at the same time; or
    (B) Employees on vessels, in vessel sections, and at landside
facilities are performing multiple servicing operations on the same
machinery, equipment, or system at the same time.
    (ii) The coordination process shall include a lockout/tags-plus
coordinator and a lockout/tags-plus log. Each log shall be specific to
each vessel, vessel section, and landside work area.
    (iii) The employer shall designate a lockout/tags-plus coordinator
who is responsible for overseeing and approving:
    (A) The application of each lockout and tags-plus system;
    (B) The verification of hazardous-energy isolation before the
servicing of any machinery, equipment, or system begins; and
    (C) The removal of each lockout and tags-plus system.
    (iv) The employer shall ensure that the lockout/tags-plus
coordinator maintains and administers a continuous log of each lockout
and tags-plus system. The log shall contain:
    (A) Location of machinery, equipment, or system to be serviced;
    (B) Type of machinery, equipment, or system to be serviced;
    (C) Name of the authorized employee applying the lockout/tags-plus
system;
    (D) Date that the lockout/tags-plus system is applied;
    (E) Name of authorized employee removing the lock or tags-plus
system; and
    (F) Date that lockout/tags-plus system is removed.

    Note to paragraph (c)(7) of this section:  When the Navy ship's
force serves as the lockout/tags-plus coordinator and maintains
control of the lockout/tags-plus log, the employer will be in
compliance with the requirements in paragraph (c)(7) of this section
when coordination between the ship's force and the employer occurs
to ensure that applicable lockout/tags-plus procedures are followed
and documented.

    (d) Lockout/tags-plus written procedures. (1) The employer shall
establish and implement written procedures to prevent energization or
startup, or the release of hazardous energy, during the servicing of
any machinery, equipment, or system. Each procedure shall include:
    (i) A clear and specific outline of the scope and purpose of the
lockout/tags-plus procedure;
    (ii) The means the employer will use to enforce compliance with the
lockout/tags-plus program and procedures; and
    (iii) The steps that must be followed for:
    (A) Preparing for shutting down and isolating of the machinery,
equipment, or system to be serviced, in accordance with paragraph (e)
of this section;
    (B) Applying the lockout/tags-plus system, in accordance with
paragraph (f) of this section;
    (C) Verifying isolation, in accordance with paragraph (g) of this
section;
    (D) Testing the machinery, equipment, or system, in accordance with
paragraph (h) of this section;
    (E) Removing lockout/tags-plus systems, in accordance with
paragraph (i) of this section;
    (F) Starting up the machinery, equipment, or system that is being
serviced, in accordance with paragraph (j) of this section;
    (G) Applying lockout/tags-plus systems in group servicing
operations, in accordance with paragraph (k) of this section;
    (H) Addressing multi-employer worksites involved in servicing any
machinery, equipment, or system, in accordance with paragraph (l) of
this section; and
    (I) Addressing shift or personnel changes during servicing
operations, in accordance with paragraph (m) of this section.

    Note to paragraph (d)(1) of this section: The employer need only
develop a single procedure for a group of similar machines,
equipment, or systems if the machines, equipment, or systems have
the same type and magnitude of energy and the same or similar types
of controls, and if a single procedure can satisfactorily address
the hazards and the steps to be taken to control these hazards.

    (2) The employer's lockout procedures do not have to be in writing
for servicing machinery, equipment, or systems, provided that all of
the following conditions are met:
    (i) There is no potential for hazardous energy to be released (or
to reaccumulate) after shutting down, or restoring energy to, the
machinery, equipment, or system;
    (ii) The machinery, equipment, or system has a single energy source
that can be readily identified and isolated;
    (iii) The isolation and lock out of that energy source will result
in complete de-energization and deactivation of the machinery,
equipment, or system, and there is no potential for reaccumulation of
energy;
    (iv) The energy source is isolated and secured from the machinery,
equipment, or system during servicing;
    (v) Only one lock is necessary for isolating the energy source;
    (vi) The lock is under the exclusive control of the authorized
employee performing the servicing;
    (vii) The servicing does not create a hazard for any other
employee; and
    (viii) The employer, in utilizing this exception, has not had any
accidents or incidents involving the activation or reenergization of
this type of machinery, equipment, or system during servicing.
    (e) Procedures for shutdown and isolation. (1) Before an authorized
employee shuts down any machinery, equipment, or system, the employer
shall:
    (i) Ensure that the authorized employee has knowledge of:
    (A) The source, type, and magnitude of the hazards associated with
energization or startup of the machine, equipment, or system;
    (B) The hazards associated with the release of hazardous energy;
and
    (C) The means to control these hazards; and
    (ii) Notify each affected employee that the machinery, equipment,
or system will be shut down and deenergized prior to servicing, and
that a lockout/tags-plus system will be implemented.
    (2) The employer shall ensure that the machinery, equipment, or
system is shut down according to the written procedures the employer
established.
    (3) The employer shall use an orderly shutdown to prevent exposing
any employee to risks associated with hazardous energy.
    (4) The employer shall ensure that the authorized employee
relieves, disconnects, restrains, or otherwise renders safe all
potentially hazardous energy that is connected to the machinery,
equipment, or system.

    Note to paragraph (e) of this section:  When the Navy ship's
force shuts down any machinery, equipment, or system, and relieves,
disconnects, restrains, or otherwise renders safe all potentially
hazardous energy that is connected to the machinery, equipment, or
system, the employer will be in compliance with the requirements in
paragraph (e) of this section when the employer's authorized
employee verifies that the machinery, equipment, or system being
serviced has been properly shut down, isolated, and deenergized.

    (f) Procedures for applying lockout/tags-plus systems. (1) The
employer shall ensure that only an authorized employee applies a
lockout/tags-plus system.
    (2) When using lockout systems, the employer shall ensure that the
authorized employee affixes each lock in a manner that will hold the
energy-isolating device in a safe or off position.
    (3) When using tags-plus systems, the employer shall ensure that
the authorized employee affixes a tag directly to the energy-isolating
device that clearly indicates that the removal of the device from a
safe or off position is prohibited.
    (4) When the tag cannot be affixed directly to the energy-isolating
device the employer shall ensure that the authorized employee locates
it as close as safely possible to the device, in a safe and immediately
obvious position.
    (5) The employer shall ensure that each energy-isolating device
that controls energy to the machinery, equipment, or system is
effective in isolating the machinery, equipment, or system from all
potentially hazardous energy source(s).

    Note to paragraph (f) of this section:  When the Navy ship's
force applies the lockout/tags-plus systems or devices, the employer
will be in compliance with the requirements in paragraph (f) of this
section when the employer's authorized employee verifies the
application of the lockout/tags-plus systems or devices.

    (g) Procedures for verification of deenergization and isolation.
(1) Before servicing machinery, equipment, or a system that has a
lockout/tags-plus system, the employer shall ensure that the authorized
employee, or the primary authorized employee in a group lockout/tags-
plus application, verifies that the machinery, equipment, or system is
deenergized and all energy sources isolated.
    (2) The employer shall ensure that the authorized employee, or the
primary authorized employee in a group lockout/tags-plus application,
continues verifying deenergization and isolation while servicing the
machinery, equipment, or system.
    (3) Each authorized employee in a group lockout/tags-plus
application who will be servicing the machinery, equipment, or system
must be given the option to verify that the machinery, equipment, or
system is deenergized and all energy sources isolated, even when
verification is performed by the primary authorized employee.
    (h) Procedures for testing. In each situation in which a lockout/
tags-plus system must be removed temporarily and the machinery,
equipment, or system restarted to test it or to position a component,
the employer shall ensure that the authorized employee does the
following in sequence:
    (1) Clears tools and materials from the work area;
    (2) Removes nonessential employees from the work area;
    (3) Removes each lockout/tags-plus system in accordance with
paragraph (i) of this section;
    (4) Restarts the machinery, equipment, or system and then proceeds
with testing or positioning; and
    (5) After completing testing or positioning, deenergizes and shuts
down the machinery, equipment, or system and reapplies all lockout/
tags-plus systems in accordance with paragraphs (e)-(g) of this section
to continue servicing.

    Note to paragraph (h) of this section:  When the Navy ship's
force serves as the lockout/tags-plus coordinator, performs the
testing, and maintains control of the lockout/tags-plus systems or
devices during testing, the employer is in compliance with paragraph
(h) when the employer's authorized employee acknowledges to the
lockout/tags-plus coordinator that the employer's personnel and
tools are clear and the machinery, equipment, or system being
serviced is ready for testing, and upon completion of the testing,
verifies the reapplication of the lockout/tags-plus systems.

    (i) Procedures for removal of lockout and tags-plus systems. (1)
Before removing any lockout/tags-plus system and restoring the
machinery, equipment, or system to use, the employer shall ensure that
the authorized employee does the following:
    (i) Notifies all other authorized and affected employees that the
lockout/tags-plus system will be removed;
    (ii) Ensures that all employees in the work area have been safely
positioned or removed; and
    (iii) Inspects the work area to ensure that nonessential items have
been removed and machinery, equipment, or system components are
operationally intact.
    (2) The employer shall ensure that each lock or tags-plus system is
removed by the authorized employee who applied it.
    (3) When the authorized employee who applied the lockout/tags-plus
system is not available to remove it, the employer may direct removal
by another authorized employee, provided the employer developed and
incorporated into the lockout/tags-plus program the specific procedures
and training that address such removal, and demonstrates that the
specific procedures used provide a level of employee safety that is at
least as effective in protecting employees as removal of the system by
the authorized employee who applied it. After meeting these
requirements, the employer shall do the following in sequence:
    (i) Verify that the authorized employee who applied the lockout/
tags-plus system is not in the facility;
    (ii) Make all reasonable efforts to contact the authorized employee
to inform him/her that the lockout/tags-plus system has been removed; and
    (iii) Ensure that the authorized employee who applied the lock or
tags-plus system has knowledge of the removal before resuming work on
the affected machinery, equipment, or system.

    Note to paragraph (i) of this section: When the Navy ship's
force serves as lockout/tags-plus coordinator and removes the
lockout/tags-plus systems or devices, the employer is in compliance
with the requirements in paragraph (i) of this section when the
employer's authorized employee informs the lockout/tags-plus
coordinator that the procedures in paragraph (i)(1) of this section
have been performed.

    (j) Procedures for startup. (1) Before an authorized employee turns
on any machinery, equipment, or system after servicing is completed,
the employer shall ensure that the authorized employee has knowledge of
the source, type, and magnitude of the hazards associated with
energization or startup, and the means to control these hazards.
    (2) The employer shall execute an orderly startup to prevent or
minimize any additional or increased hazard(s) to employees. The
employer shall perform the following tasks before starting up the
machinery, equipment, or system:
    (i) Clear tools and materials from the work area;
    (ii) Remove any non-essential employees from the work area; and
    (iii) Start up the machinery, equipment, or system according to the
detailed procedures the employer established for that machinery,
equipment, or system.

    Note to paragraph (j) of this section:  When the Navy ship's
force serves as lockout/tags-plus coordinator and maintains control
of the lockout/tags-plus systems or devices during startup, and the
employer is prohibited from starting up the machinery, equipment, or
system, the employer is in compliance with the requirements in
paragraph (j) of this section when the employer's authorized
employee informs the lockout/tags-plus coordinator the procedures in
paragraphs (j)(2)(i) and (j)(2)(ii) of this section have been
performed.

    (k) Procedures for group lockout/tags-plus. When more than one
authorized employee services the same machinery, equipment, or system
at the same time, the following procedures shall be implemented:
    (1) Primary authorized employee. The employer shall:
    (i) Assign responsibility to one primary authorized employee for
each group of authorized employees performing servicing on the same
machinery, equipment, or system;
    (ii) Ensure that the primary authorized employee determines the
safe exposure status of each authorized employee in the group with
regard to the lockout/tags-plus system;
    (iii) Ensure that the primary authorized employee obtains approval
from the lockout/tags-plus coordinator to apply and remove the lockout/
tags-plus system; and
    (iv) Ensure that the primary authorized employee coordinates the
servicing operation with the coordinator when required by paragraph
(c)(7)(i) of this section.
    (2) Authorized employees. The employer shall either:
    (i) Have each authorized employee apply a personal lockout/tags-
plus system; or
    (ii) Use a procedure that the employer can demonstrate affords each
authorized employee a level of protection equivalent to the protection
provided by having each authorized employee apply a personal lockout/
tags-plus system. Such procedures shall incorporate a means for each
authorized employee to have personal control of, and accountability
for, his or her protection such as, but not limited to, having each
authorized employee:
    (A) Sign a group tag (or a group tag equivalent), attach a personal
identification device to a group lockout device, or performs a
comparable action before servicing is started; and
    (B) Sign off the group tag (or the group tag equivalent), remove
the personal identification device, or perform a comparable action when
servicing is finished.

    Note to paragraph (k)(2) of this section:  When the Navy ship's
force maintains control of the machinery, equipment, or systems on a
vessel and prohibits the employer from applying or removing the
lockout/tags-plus system or starting up the machinery, equipment, or
systems being serviced, the employer is in compliance with the
requirements in paragraphs (k)(1)(iii) and (k)(2), provided that the
employer ensures that the primary authorized employee takes the
following steps in the following order: (1) Before servicing begins
and after deenergization, (a) verifies the safe exposure status of
each authorized employee, and (b) signs a group tag (or a group tag
equivalent) or performs a comparable action; and (2) after servicing
is complete and before reenergization, (a) verifies the safe
exposure status of each authorized employee, and (b) signs off the
group tag (or the group tag equivalent) or performs a comparable
action.

    (l) Procedures for multi-employer worksites. (1) The host employer
shall establish and implement procedures to protect employees from
hazardous energy in multi-employer worksites. The procedures shall
specify the responsibilities for host and contract employers.
    (2) Host employer responsibilities. The host employer shall carry
out the following responsibilities in multi-employer worksites:
    (i) Inform each contract employer about the content of the host
employer's lockout/tags-plus program and procedures;
    (ii) Instruct each contract employer to follow the host employer's
lockout/tags-plus program and procedures; and
    (iii) Ensure that the lockout/tags-plus coordinator knows about all
servicing operations and communicates with each contract employer who
performs servicing or works in an area where servicing is being
conducted.
    (3) Contract employer responsibilities. Each contract employer
shall perform the following duties when working in a multi-employer
worksite:
    (i) Follow the host employer's lockout/tags-plus program and
procedures;
    (ii) Ensure that the host employer knows about the lockout/tags-
plus hazards associated with the contract employer's work and what the
contract employer is doing to address these hazards; and
    (iii) Inform the host employer of any previously unidentified
lockout/tags-plus hazards that the contract employer identifies at the
multi-employer worksite.

    Note 1 to paragraph (l) of this section:  The host employer may
include provisions in its contract with the contract employer for
the contract employer to have more control over the lockout/tags-
plus program if such provisions will provide an equivalent level of
protection for the host employer's and contract employer's employees
as that provided by paragraph (l) of this section.


    Note 2 to paragraph (l) of this section:  When the U.S Navy
contracts directly with a contract employer and the Navy ship's
force maintains control of the lockout/tags-plus systems or devices,
that contract employer shall consider the Navy to be the host
employer for the purposes of Sec.  1915.89(l)(3).

    (m) Procedures for shift or personnel changes. (1) The employer
shall establish and implement specific procedures for shift or
personnel changes to ensure the continuity of lockout/tags-plus
protection.
    (2) The employer shall establish and implement provisions for the
orderly transfer of lockout/tags-plus systems between authorized
employees when they are starting and ending their workshifts, or when
personnel changes occur during a workshift, to prevent energization or
startup of the machinery, equipment, or system being serviced or the
release of hazardous energy.
    (n) Lockout/tags-plus materials and hardware. (1) The employer
shall provide locks and tags-plus system hardware used for isolating,
securing, or blocking machinery, equipment, or systems from all
hazardous-energy sources.
    (2) The employer shall ensure that each lock and tag is uniquely
identified for the purpose of controlling hazardous energy and is not
used for any other purpose.
    (3) The employer shall ensure that each lock and tag meets the
following requirements:
    (i) Durable. (A) Each lock and tag is capable of withstanding the
existing environmental conditions for the maximum period of time that
servicing is expected to last;
    (B) Each tag is made so that weather conditions, wet or damp
conditions, corrosive substances, or other conditions in the work area
where the tag is used or stored will not cause it to deteriorate or
become illegible;
    (ii) Standardized. (A) Each lock and tag is standardized in at
least one of the following areas: color, shape, or size; and
    (B) Each tag is standardized in print and format;
    (iii) Substantial. (A) Each lock is sturdy enough to prevent
removal without the use of extra force or unusual techniques, such as
bolt cutters or other metal-cutting tools;
    (B) Each tag and tag attachment is sturdy enough to prevent
inadvertent or accidental removal;
    (C) Each tag attachment has the general design and basic safety
characteristics of a one-piece, all-environment-tolerant nylon tie;
    (D) Each tag attachment is non-reusable, attachable by hand, self-
locking, and non-releasable, and has a minimum unlocking strength of 50
pounds;
    (iv) Identifiable. Each lock and tag indicates the identity of the
authorized employee applying it; and
    (v) Each tag warns of hazardous conditions that could arise if the
machinery, equipment, or system is energized and includes a legend such
as one of the following: "Do Not Start," "Do Not Open," "Do Not
Close," "Do Not Energize," or "Do Not Operate."
    (o) Information and training. (1) Initial training. The employer
shall train each employee in the applicable requirements of this
section no later than October 31, 2011.
    (2) General training content. The employer shall train each
employee who is, or may be, in an area where lockout/tags-plus systems
are being used so they know:
    (i) The purpose and function of the employer's lockout/tags-plus
program and procedures;
    (ii) The unique identity of the locks and tags to be used in the
lockout/tags-plus system, as well as the standardized color, shape or
size of these devices;
    (iii) The basic components of the tags-plus system: an energy-
isolating device with a tag affixed to it and an additional safety
measure;
    (iv) The prohibition against tampering with or removing any
lockout/tags-plus system; and
    (v) The prohibition against restarting or reenergizing any
machinery, equipment, or system being serviced under a lockout/tags-
plus system.
    (3) Additional training requirements for affected employees. In
addition to training affected employees in the requirements in
paragraph (o)(2) of this section, the employer also shall train each
affected employee so he/she knows:
    (i) The use of the employer's lockout/tags-plus program and
procedures;
    (ii) That affected employees are not to apply or remove any
lockout/tags-plus system; and
    (iii) That affected employees are not to bypass, ignore, or
otherwise defeat any lockout/tags-plus system.
    (4) Additional training requirements for authorized employees. In
addition to training authorized employees in the requirements in
paragraphs (o)(2) and (o)(3) of this section, the employer also shall
train each authorized employee so he/she knows:
    (i) The steps necessary for the safe application, use, and removal
of lockout/tags-plus systems to prevent energization or startup or the
release of hazardous energy during servicing of machinery, equipment,
or systems;
    (ii) The type of energy sources and the magnitude of the energy
available at the worksite;
    (iii) The means and methods necessary for effective isolation and
control of hazardous energy;
    (iv) The means for determining the safe exposure status of other
employees in a group when the authorized employee is working as a
group's primary authorized employee.
    (v) The requirement for tags to be written so they are legible and
understandable to all employees;
    (vi) The requirement that tags and their means of attachment be
made of materials that will withstand the environmental conditions
encountered in the workplace;
    (vii) The requirement that tags be securely attached to energy-
isolating devices so they cannot be accidentally removed while
servicing machinery, equipment, or systems;
    (viii) That tags are warning devices, and alone do not provide
physical barriers against energization or startup, or the release of
hazardous energy, provided by locks, and energy-isolating devices; and
    (ix) That tags must be used in conjunction with an energy-isolating
device to prevent energization or startup or the release of hazardous
energy.
    (5) Additional training for lockout/tags-plus coordinator. In
addition to training lockout/tags-plus coordinators in the requirements
in paragraphs (o)(2), (o)(3), and (o)(4) of this section, the employer
shall train each lockout/tags-plus coordinator so he/she knows:
    (i) How to identify and isolate any machinery, equipment, or system
that is being serviced; and
    (ii) How to accurately document lockout/tags-plus systems and
maintain the lockout/tags-plus log.
    (6) Employee retraining.
    (i) The employer shall retrain each employee, as applicable,
whenever:
    (A) There is a change in his/her job assignment that presents new
hazards or requires a greater degree of knowledge about the employer's
lockout/tags-plus program or procedures;
    (B) There is a change in machinery, equipment, or systems to be
serviced that presents a new energy-control hazard;
    (C) There is a change in the employer's lockout/tags-plus program
or procedures; or
    (D) It is necessary to maintain the employee's proficiency.
    (ii) The employer also shall retrain each employee, as applicable,
whenever an incident investigation or program audit indicates that
there are:
    (A) Deviations from, or deficiencies in, the employer's lockout/
tags-plus program or procedures; or
    (B) Inadequacies in an employee's knowledge or use of the lockout/
tags-plus program or procedures.
    (iii) The employer shall ensure that retraining establishes the
required employee knowledge and proficiency in the employer's lockout/
tags-plus program and procedures and in any new or revised energy-
control procedures.
    (7) Upon completion of employee training, the employer shall keep a
record that the employee accomplished the training, and that this
training is current. The training record shall contain at least the
employee's name, date of training, and the subject of the training.
    (p) Incident investigation. (1) The employer shall investigate each
incident that resulted in, or could reasonably have resulted in,
energization or startup, or the release of hazardous energy,
while servicing machinery, equipment, or systems.
    (2) Promptly but not later than 24 hours following the incident,
the employer shall initiate an incident investigation and notify each
employee who was, or could reasonably have been, affected by the
incident.
    (3) The employer shall ensure that the incident investigation is
conducted by at least one employee who has the knowledge of, and
experience in, the employer's lockout/tags-plus program and procedures,
and in investigating and analyzing incidents involving the release of
hazardous energy. The employer may also use additional individuals to
participate in investigating the incident.
    (4) The employer shall ensure that the individual(s) conducting the
investigation prepare(s) a written report of the investigation that
includes:
    (i) The date and time of the incident;
    (ii) The date and time the incident investigation began;
    (iii) Location of the incident;
    (iv) A description of the incident;
    (v) The factors that contributed to the incident;
    (vi) A copy of any lockout/tags-plus log that was current at the
time of the incident; and
    (vii) Any corrective actions that need to be taken as a result of
the incident.
    (5) The employer shall review the written incident report with each
employee whose job tasks are relevant to the incident investigation
findings, including contract employees when applicable.
    (6) The employer shall ensure that the incident investigation and
written report are completed, and all corrective actions implemented,
within 30 days following the incident.
    (7) If the employer demonstrates that it is infeasible to implement
all of the corrective actions within 30 days, the employer shall
prepare a written abatement plan that contains an explanation of the
circumstances causing the delay, a proposed timetable for the
abatement, and a summary of the steps the employer is taking in the
interim to protect employees from hazardous energy while servicing
machinery, equipment, or systems.
    (q) Program audits. (1) The employer shall conduct an audit of the
lockout/tags-plus program and procedures currently in use at least
annually to ensure that the procedures and the requirements of this
section are being followed and to correct any deficiencies.
    (2) The employer shall ensure that the audit is performed by:
    (i) An authorized employee other than the one(s) currently using
the energy-control procedure being reviewed; or
    (ii) Individuals other than an authorized employee who are
knowledgeable about the employer's lockout/tags-plus program and
procedures and the machinery, equipment, or systems being audited.
    (3) The employer shall ensure that the audit includes:
    (i) A review of the written lockout/tags-plus program and
procedures;
    (ii) A review of the current lockout/tags-plus log;
    (iii) Verification of the accuracy of the lockout/tags-plus log;
    (iv) A review of incident reports since the last audit;
    (v) A review conducted between the auditor and authorized employees
regarding the authorized employees' responsibilities under the lockout
systems being audited; and
    (vi) A review conducted between the auditor and affected and
authorized employees regarding their responsibilities under the tags-
plus systems being audited.
    (4) The employer shall ensure that, within 15 days after completion
of the audit, the individual(s) who conducted the audit prepare and
deliver to the employer a written audit report that includes at least:
    (i) The date of the audit;
    (ii) The identity of the individual(s) who performed the audit;
    (iii) The identity of the procedure and machinery, equipment, or
system that were audited;
    (iv) The findings of the program audit and recommendations for
correcting deviations or deficiencies identified during the audit;
    (v) Any incident investigation reports since the previous audit;
and
    (vi) Descriptions of corrective actions the employer has taken in
response to the findings and recommendations of any incident
investigation reports prepared since the previous audit.
    (5) The employer shall promptly communicate the findings and
recommendations in the written audit report to each employee having a
job task that may be affected by such findings and recommendations.
    (6) The employer shall correct the deviations or inadequacies in
the lockout/tags-plus program within 15 days after receiving the
written audit report.
    (r) Recordkeeping. (1) Table to paragraph (r)(1) of this section
specifies what records the employer must retain and how long the
employer must retain them:

Table to Paragraph (r)(1) of This Section--Retention of Records Required
                            by Sec.   1915.89
------------------------------------------------------------------------
  The employer must keep the following
             records . . .                      For at least . . .
------------------------------------------------------------------------
(i) Current lockout/tags-plus program    Until replaced by updated
 and procedures.                          program and procedures.
(ii) Training records..................  Until replaced by updated
                                          records for each type of
                                          training.
(iii) Incident investigation reports...  Until the next program audit is
                                          completed.
(iv) Program audit report..............  12 months after being replaced
                                          by the next audit report.
------------------------------------------------------------------------

    (2) The employer shall make all records required by this section
available to employees, their representatives, and the Assistant
Secretary in accordance with the procedures and time periods specified
in 29 CFR 1910.1020(e)(1) and (e)(3).
    (s) Appendices. Non-mandatory Appendix A to this section is a
guideline to assist employers and employees in complying with the
requirements of this section, and to provide them with other useful
information. The information in Appendix A does not add to, or in any
way revise, the requirements of this section.

Appendix A to Sec.  1915.89 (Non-Mandatory)--Typical Minimal Lockout/
Tags-Plus Procedures

General

Lockout/Tags-Plus Procedure

Lockout/Tags-Plus Procedure for
-----------------------------------------------------------------------

[Name of company for single procedure or identification of
machinery, equipment, or system if multiple procedures used.]
-----------------------------------------------------------------------

Purpose

    This procedure establishes the minimum requirements for the
lockout/tags-plus application of energy-isolating devices on vessels
and vessel sections, and for landside facilities whenever servicing
is done on machinery, equipment, or systems in shipyards. This
procedure shall be used to ensure that all potentially hazardous-energy
sources have been isolated and the machinery, equipment, or system to be
serviced has been rendered inoperative through the use of lockout or
tags-plus procedures before employees perform any servicing when the
energization or start-up of the machinery, equipment, or system, or
the release of hazardous energy could cause injury.

Compliance With This Program

    All employees are required to comply with the restrictions and
limitations imposed on them during the use of lockout or tags-plus
applications. Authorized employees are required to perform each
lockout or tags-plus application in accordance with this procedure.
No employee, upon observing that machinery, equipment, or systems
are secured using lockout or tags-plus applications, shall attempt
to start, open, close, energize, or operate that machinery,
equipment, or system.
-----------------------------------------------------------------------

Type of compliance enforcement to be taken for violation of the
above.

Procedures for Lockout/Tags-Plus Systems

    (1) Notify each affected employee that servicing is required on
the machinery, equipment, or system, and that it must be isolated
and rendered inoperative using a lockout or tags-plus system.
-----------------------------------------------------------------------

Method of notifying all affected employees.

    (2) The authorized employee shall refer to shipyard employer's
procedures to identify the type and magnitude of the energy
source(s) that the machinery, equipment, or system uses, shall
understand the hazards of the energy, and shall know the methods to
control the energy source(s).
-----------------------------------------------------------------------

Type(s) and magnitude(s) of energy, its hazards and the methods to
control the energy.

    (3) If the machinery, equipment, or system is operating, shut it
down in accordance with the written procedures (depress the stop
button, open switch, close valve, etc.) established by the employer.
-----------------------------------------------------------------------

Type(s) and location(s) of machinery, equipment, or system operating
controls.

    (4) Secure each energy-isolating device(s) through the use of a
lockout or tags-plus system (for instance, disconnecting, blanking,
and affixing tags) so that the energy source is isolated and the
machinery, equipment, or system is rendered inoperative.
-----------------------------------------------------------------------

Type(s) and location(s) of energy-isolating devices.

    (5) Lockout System. Affix a lock to each energy-isolating
device(s) with assigned individual lock(s) that will hold the
energy-isolating device(s) in a safe or off position. Potentially
hazardous energy (such as that found in capacitors, springs,
elevated machine members, rotating flywheels, hydraulic systems, and
air, gas, steam, or water pressure, etc.) must be controlled by
methods such as grounding, repositioning, blocking, bleeding down,
etc.
    (6) Tags-Plus System. Affix a tag to each energy-isolating
device and provide at least one additional safety measure that
clearly indicates that removal of the device from the safe or off
position is prohibited. Potentially hazardous energy (such as that
found in capacitors, springs, elevated machine members, rotating
flywheels, hydraulic systems and air, gas, steam, or water pressure,
etc.) must be controlled by methods such as grounding,
repositioning, blocking, bleeding down, etc.
-----------------------------------------------------------------------

Type(s) of hazardous energy--methods used to control them.

    (7) Ensure that the machinery, equipment, or system is relieved,
disconnected, restrained, or rendered safe from the release of all
potentially hazardous energy by checking that no personnel are
exposed, and then verifying the isolation of energy to the machine,
equipment, or system by operating the push button or other normal
operating control(s), or by testing to make certain it will not
operate.

CAUTION: Return operating control(s) to the safe or off position
after verifying the isolation of the machinery, equipment, or
system.

-----------------------------------------------------------------------

Method of verifying the isolation of the machinery, equipment, or
system.

    (8) The machinery, equipment, or system is now secured by a
lockout or tags-plus system, and servicing by the authorized person
may be performed.

Procedures for Removal of Lockout/Tags-Plus Systems

    When servicing is complete and the machinery, equipment, or
system is ready to return to normal operating condition, the
following steps shall be taken:
    (1) Notify each authorized and affected employee(s) that the
lockout/tags-plus system will be removed and the machinery,
equipment, or system reenergized.
    (2) Inspect the work area to ensure that all employees have been
safely positioned or removed.
    (3) Inspect the machinery, equipment, or system and the
immediate area around the machinery, equipment, or system to ensure
that nonessential items have been removed and that the machinery,
equipment or system components are operationally intact.
    (4) Reconnect the necessary components, remove the lockout/tags-
plus material and hardware, and reenergize the machinery, equipment,
or system through the established detailed procedures determined by
the employer.
    (5) Notify all affected employees that servicing is complete and
the machinery, equipment, or system is ready for testing or use.


Sec.  1915.90  Safety color code for marking physical hazards.

    The requirements applicable to shipyard employment under this
section are identical to the requirements set forth at 29 CFR 1910.144
of this chapter.


Sec.  1915.91  Accident prevention signs and tags.

    The requirements applicable to shipyard employment under this
section are identical to the requirements set forth at 29 CFR 1910.145
of this chapter.


Sec.  1915.92  Retention of DOT markings, placards, and labels.

    (a) Any employer who receives a package of hazardous material that
is required to be marked, labeled, or placarded in accordance with the
U.S. Department of Transportation Hazardous Materials Regulations (49
CFR parts 171 through 180) shall retain those markings, labels, and
placards on the package until the packaging is sufficiently cleaned of
residue and purged of vapors to remove any potential hazards.
    (b) Any employer who receives a freight container, rail freight
car, motor vehicle, or transport vehicle that is required to be marked
or placarded in accordance with the U.S. Department of Transportation
Hazardous Materials Regulations shall retain those markings and
placards on the freight container, rail freight car, motor vehicle, or
transport vehicle until the hazardous materials are sufficiently
removed to prevent any potential hazards.
    (c) The employer shall maintain markings, placards, and labels in a
manner that ensures that they are readily visible.
    (d) For non-bulk packages that will not be reshipped, the
requirements of this section are met if a label or other acceptable
marking is affixed in accordance with 29 CFR 1910.1200, Hazard
Communication.
    (e) For the purposes of this section, the term "hazardous
material" and any other terms not defined in this section have the
same definition as specified in the U.S. Department of Transportation
Hazardous Materials Regulations.


Sec.  1915.93  Motor vehicle safety equipment, operation and
maintenance.

    (a) Application. (1) This section applies to any motor vehicle used
to transport employees, materials, or property at worksites engaged in
shipyard employment. This section does not apply to motor vehicle
operation on public streets and highways.
    (2) The requirements of this section apply to employer-provided
motor vehicles. The requirements of paragraphs (b)(2), (b)(4), and
(c)(2) of this section also apply to employee-provided motor vehicles.
    (3) Only the requirements of paragraphs (b)(1) through (b)(3) apply
to powered industrial trucks, as defined in Sec.  1910.178. The maintenance,
inspection, operation, and training requirements in 29 CFR 1910.178 continue
to apply to powered industrial trucks used for shipyard employment.
    (b) Motor vehicle safety equipment. (1) The employer shall ensure
that each motor vehicle acquired or initially used after August 1, 2011
is equipped with a safety belt for each employee operating or riding in
the motor vehicle. This requirement does not apply to any motor vehicle
that was not equipped with safety belts at the time of manufacture.
    (2) The employer shall ensure that each employee uses a safety
belt, securely and tightly fastened, at all times while operating or
riding in a motor vehicle.
    (3) The employer shall ensure that vehicle safety equipment is not
removed from any employer-provided vehicle. The employer shall replace
safety equipment that is removed.
    (4) The employer shall ensure that each motor vehicle used to
transport an employee has firmly secured seats for each employee being
transported and that all employees being transported are using such
seats.
    (c) Motor vehicle maintenance and operation. (1) The employer shall
ensure that each motor vehicle is maintained in a serviceable and safe
operating condition, and removed from service if it is not in such
condition.
    (2) The employer shall ensure that, before a motor vehicle is
operated, any tools and materials being transported are secured if
their movements may create a hazard for employees.
    (3) The employer shall implement measures to ensure that motor
vehicle operators are able to see, and avoid harming, pedestrians and
bicyclists at shipyards. Measures that employers may implement to
comply with this requirement include:
    (i) Establishing dedicated travel lanes for motor vehicles,
bicyclists, and pedestrians;
    (ii) Installing crosswalks and traffic control devices such as stop
signs, mirrors at blind spots, or physical barriers to separate travel
lanes;
    (iii) Establishing appropriate speed limits for all motor vehicles;
    (iv) Establishing "no drive" times to allow for safe movement of
pedestrians;
    (v) Providing reflective vests or other gear so pedestrians and
bicyclists are clearly visible to motor vehicle operators;
    (vi) Ensuring that bicycles have reflectors, lights, or other
equipment to maximize visibility of the bicyclist; or
    (vii) Other measures that the employer can demonstrate are as
effective in protecting pedestrians and bicyclists as those measures
specified in paragraphs (c)(3)(i) through (c)(3)(vi) of this section.


Sec.  1915.94  Servicing multi-piece and single-piece rim wheels.

    The requirements applicable to shipyard employment under this
section are identical to the requirements set forth at 29 CFR 1910.177
of this chapter.

Subpart J--[Amended]

0
9. In Sec.  1915.162, paragraph (a)(1) is revised as follows:


Sec.  1915.162  Ship's boilers.

    (a) * * *
    (1) The isolation and shutoff valves connecting the dead boiler
with the live system or systems shall be secured, blanked, and then
locked or tagged, in accordance with Sec.  1915.89, indicating that
employees are working on the boiler. This lock or tag shall not be
removed nor the valves unblanked until it is determined that this may
be done without creating a hazard to the employees working on the
boiler, or until the work on the boiler is completed, in accordance
with Sec.  1915.89. When valves are welded instead of bolted, at least
two isolation and shutoff valves connecting the dead boiler with the
live system or systems shall be secured, and then locked or tagged, in
accordance with Sec.  1915.89.
* * * * *
0
10. In Sec.  1915.163, paragraph (a)(1) is revised to read as follows:


Sec.  1915.163  Ship's piping systems.

    (a) * * *
    (1) The isolation and shutoff valves connecting the dead system
with the live system or systems shall be secured, blanked, and then
locked or tagged, in accordance with Sec.  1915.89, indicating that
employees are working on the systems. The lock or tag shall not be
removed or the valves unblanked until it is determined that this may be
done without creating a hazard to the employees working on the system,
or until the work on the system is completed, in accordance with Sec.
1915.89. When valves are welded instead of bolted, at least two
isolation and shutoff valves connecting the dead system with the live
system or systems shall be secured, and then locked or tagged, in
accordance with Sec.  1915.89.
* * * * *

0
11. In Sec.  1915.164, paragraphs (a)(2) and (a)(3) are revised to read
as follows:


Sec.  1915.164  Ship's propulsion machinery.

    (a) * * *
    (2) If the jacking gear is steam driven, the employer shall ensure
that the stop valves to the jacking gear are secured, and then locked
or tagged, in accordance with Sec.  1915.89.
    (3) If the jacking gear is electrically driven, the circuit
controlling the jacking gear shall be de-energized by tripping the
circuit breaker, opening the switch, or removing the fuse, whichever is
appropriate, and then locked or tagged in accordance with Sec.
1915.89.
* * * * *

0
12. In Sec.  1915.181, paragraph (c) is revised to read as follows:


Sec.  1915.181  Electric circuits and distribution boards.

* * * * *
    (c) De-energizing the circuit shall be accomplished by opening the
circuit breaker, opening the switch, or removing the fuse, whichever
method is appropriate. The circuit breaker, switch, or fuse location
shall then be locked out or tagged in accordance with Sec.  1915.89.
[FR Doc. 2011-9567 Filed 4-29-11; 8:45 am]
BILLING CODE 4510-26-P
________________________________________________________________________________
Accessibility Assistance: Contact the OSHA Directorate of Standards and Guidance
at (202) 693-1713 for assistance accessing PDF materials.